CAT Exam  >  CAT Tests  >  Test Level 2: Mensuration - 1 - CAT MCQ

Test Level 2: Mensuration - 1 - CAT MCQ


Test Description

10 Questions MCQ Test - Test Level 2: Mensuration - 1

Test Level 2: Mensuration - 1 for CAT 2025 is part of CAT preparation. The Test Level 2: Mensuration - 1 questions and answers have been prepared according to the CAT exam syllabus.The Test Level 2: Mensuration - 1 MCQs are made for CAT 2025 Exam. Find important definitions, questions, notes, meanings, examples, exercises, MCQs and online tests for Test Level 2: Mensuration - 1 below.
Solutions of Test Level 2: Mensuration - 1 questions in English are available as part of our course for CAT & Test Level 2: Mensuration - 1 solutions in Hindi for CAT course. Download more important topics, notes, lectures and mock test series for CAT Exam by signing up for free. Attempt Test Level 2: Mensuration - 1 | 10 questions in 20 minutes | Mock test for CAT preparation | Free important questions MCQ to study for CAT Exam | Download free PDF with solutions
Test Level 2: Mensuration - 1 - Question 1

The diameter of a right circular cone is 14 m and its slant height is 12 m. Find the cost of colouring its total surface at the rate of 14 paise per sq. m.

Detailed Solution for Test Level 2: Mensuration - 1 - Question 1

Total surface area of the cone = πr(l + r) = 22/7 × 7(12 + 7) m2 = 22 × 19 m2 = 418 m2
Total cost incurred = Rs. 418 × 14/1000
= Rs. 58.52

Test Level 2: Mensuration - 1 - Question 2

The dimensions of a field are 20 m by 9 m. A pit 10 m long, 4.5 m wide and 3 m deep is dug in one corner of the field and the earth removed is evenly spread over the remaining area of the field. What will be the rise in the height of the field as a result of this operation?

Detailed Solution for Test Level 2: Mensuration - 1 - Question 2

Volume of the earth removed = Area of remaining field × Rise in Height
⇒10 × 4.5 × 3 = (180 – 45) × h
135/135 = h
⇒ h = 1

Test Level 2: Mensuration - 1 - Question 3

A cubic metre of gold piece is hammered so that its area extends to cover an area of 6 hectares. Find thickness of the gold piece.

Detailed Solution for Test Level 2: Mensuration - 1 - Question 3

1 hectare = 10,000 m2
= 10,000 × 10,000 cm2
6 hectare = 6 × 108 cm2
1 m3 = 6 × 108 × thickness (cm3)
10,00,000 cm3 = 6 × 108 × thickness (cm3)
Thickness =  = 0.001666 = 0.0017 cm

Test Level 2: Mensuration - 1 - Question 4

A cylindrical cistern of radius 42 cm is partly filled with water. If a rectangular block measuring 24 cm × 21 cm × 11 cm is wholly immersed in the water, by how much will the water level rise?

Detailed Solution for Test Level 2: Mensuration - 1 - Question 4

Volume of the cylindrical column of increased height = Volume of the rectangular block
⇒ 22/7 × 42 cm × 42 cm × h = 24 cm × 21 cm × 11 cm
h = 1 cm

Test Level 2: Mensuration - 1 - Question 5

A reservoir in the shape of a rectangular parallelepiped is 20 m long. If 18 kl of water is removed from the reservoir, the water level goes down by 15 cm. Find the width of the reservoir.

Detailed Solution for Test Level 2: Mensuration - 1 - Question 5

Let the width of the reservoir be 'w' m.
Volume of water removed = 20 × w ×
0.15 m3
= 3w m3
18 kl = 18 m3
3w = 18
w = 6
Width of the reservoir = 6 m

Test Level 2: Mensuration - 1 - Question 6

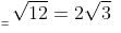
A cube with edge 2 cm has spheres, each of radius 1 cm, at each vertex with vertices as the centres of the spheres. What will be the radius (in cm) of the largest sphere that can be centred within the cube and which touches each of the remaining spheres externally in at most one point?

Detailed Solution for Test Level 2: Mensuration - 1 - Question 6


Diagonal of the cube =

Diameter of the sphere 

Radius of the sphere 

Test Level 2: Mensuration - 1 - Question 7

A hollow sphere has the outer radius of 10 cm. If the volume of the hollow sphere is 76π/3, find its approximate inner radius.

Detailed Solution for Test Level 2: Mensuration - 1 - Question 7

Volume of the hollow sphere = Volume of the hollow sphere of outer radius 10 - Volume of the inner sphere 76π/3 = 4π/3 [R3 - r3]
19 = 103 - r3
r3 = 1000 - 19
r3 = 981
r = 9.93 ∽ 9.9 cm

Test Level 2: Mensuration - 1 - Question 8

A covered wooden box has the inner measures as 115 cm, 75 cm and 35 cm, and the thickness of wood is 2.5 cm. Find the volume of wood.

Detailed Solution for Test Level 2: Mensuration - 1 - Question 8

Thickness of wood = 2.5 cm
Now, external dimensions of the wooden box are:
Length = 115 + (2 × 2.5) = 120 cm,
Width = 75 + (2 × 2.5) = 80 cm, Height = 35 + (2 × 2.5) = 40 cm
Volume of wood = 120 cm × 80 cm × 40 cm - 115 cm × 75 cm × 35 cm = 82,125 cm3

Test Level 2: Mensuration - 1 - Question 9

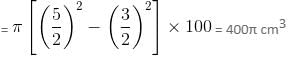
If one cubic centimetre of cast iron weighs 21 gm, find the weight of a cast iron pipe of length 1 metre with a bore of 3 cm and thickness 1 cm.

Detailed Solution for Test Level 2: Mensuration - 1 - Question 9

Bore = Internal diameter of the metallic pipe = 3 cm
Thickness = 1 cm
External diameter = 3 + (1 × 2) = 5 cm
Volume of the metallic pipe

Now, weight of 1 cm3 = 21 gm
Weight of 400π cm3 = 21 × 400 × 22/7 = 26.4 kg

Test Level 2: Mensuration - 1 - Question 10

The volume (in cm3) of the greatest sphere that can be cut-off from a cylindrical log of wood of base radius 1 cm and height 5 cm is

Detailed Solution for Test Level 2: Mensuration - 1 - Question 10

The greatest volume of sphere

Information about Test Level 2: Mensuration - 1 Page
In this test you can find the Exam questions for Test Level 2: Mensuration - 1 solved & explained in the simplest way possible. Besides giving Questions and answers for Test Level 2: Mensuration - 1, EduRev gives you an ample number of Online tests for practice
Download as PDF