CAT Exam  >  CAT Tests  >  Test Level 3: Functions - CAT MCQ

Test Level 3: Functions - CAT MCQ


Test Description

10 Questions MCQ Test - Test Level 3: Functions

Test Level 3: Functions for CAT 2025 is part of CAT preparation. The Test Level 3: Functions questions and answers have been prepared according to the CAT exam syllabus.The Test Level 3: Functions MCQs are made for CAT 2025 Exam. Find important definitions, questions, notes, meanings, examples, exercises, MCQs and online tests for Test Level 3: Functions below.
Solutions of Test Level 3: Functions questions in English are available as part of our course for CAT & Test Level 3: Functions solutions in Hindi for CAT course. Download more important topics, notes, lectures and mock test series for CAT Exam by signing up for free. Attempt Test Level 3: Functions | 10 questions in 20 minutes | Mock test for CAT preparation | Free important questions MCQ to study for CAT Exam | Download free PDF with solutions
Test Level 3: Functions - Question 1

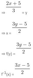
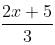
If f : A → B is defined such that f(x) = then f -1(x) = ?

Detailed Solution for Test Level 3: Functions - Question 1

f(x) = 
Let f(x) be y.

Test Level 3: Functions - Question 2

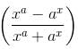
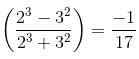
If f(x) = xa + ax and g(x) = xa - ax , then find, when x = 2 and a = 3.

Detailed Solution for Test Level 3: Functions - Question 2


For x = 2 and a = 3
We have,

Test Level 3: Functions - Question 3

When f(x) - f(-x) = 0, the function f(x) is called an even function. Which of the following functions is an even function?

Detailed Solution for Test Level 3: Functions - Question 3

Going with the options, the second option comes out to be the answer.
f(t) = … (1)
f(-t) = 
Subtracting (2) from (1), we get
f(t) - f(-t) = (1 - et) + t = -t + t = 0

Test Level 3: Functions - Question 4

A function satisfies f(0, n) = n + 1 and f(m + 1, n) = f(m, f(m, n)). What is the value of f(4, 100)?

Detailed Solution for Test Level 3: Functions - Question 4

f(4, 100) = f[3, f(3, 100)] …………(1)
f(3, 100) = f[2, f(2, 100)] ……….. (2)
f(2, 100) = f[1, f(1, 100)] …………(3)
f(1, 100) = f[0, f(0, 100)] ……….. (4)
f(0, 100) = 100 + 1 = 101.
f(1, 100) = f(0, 101) = 102
f(2, 100) = f(1, 102) …………. (5)
f(1, 102) = f[0, f(0, 102)] = f(0, 103) = 104
Put in (5) = f(2, 100) = 104
Put this value in (2),
f(3, 100) = f(2, 104) …………… (6)
Now, f(2, 104) = f[1, f(1, 104)] …………… (7)
f(1, 104) = f[0, f(0, 104)] = f(0, 105) = 106
Put in (7)... and so on
f(4, 100) = 116

Test Level 3: Functions - Question 5

If f(x) satisfies 2f(x) + f(1 – x) = x2 for all x, then f(x) is equal to

Detailed Solution for Test Level 3: Functions - Question 5

The given equation 2f(x) + f(1 – x) = x2 holds for all x.
2f(x) + f(1 – x) = x2.......(i)
In particular, the equation holds, if we replace x with 1 – x.
Thus, we deduce that 2f(1 – x) + f(x) = (1 – x)2.
2f(1 – x) + f(x) = (1 – x)2..............(ii)
Multiply equation (i) by 2 and then subtract equation (ii) from equation (i).
Thus, we get:
3f(x) = 2x2 – (1 – x)2 = x2 + 2x – 1
f(x) = (x2 + 2x – 1)/3

Test Level 3: Functions - Question 6

Let f(x) be a polynomial with integer coefficients, for which 3 and 13 are the roots. Which of the following could possibly be the value of f(10)?

Detailed Solution for Test Level 3: Functions - Question 6

The given information implies that f(x) = (x – 3) (x – 13) g(x), where g(x) is a polynomial with integer coefficients. Hence, f(10) = – 21g(10), so that 21 must be a divisor of f(10). The only choice divisible by 21 is 42, so the correct answer is 42. To check if f(x) exists, consider f(x) = – 2(x – 3) (x – 13). 

Test Level 3: Functions - Question 7

A function f(x) is called even if f(-x) = f(x) for all x and it is called odd if f(-x) = -f(x) for all x. Which of the following statements is/are true?
(i) The product of an even function and an odd function is even.
(ii) The sum of two even functions is even.
(iii) The product of two odd functions is even.

Detailed Solution for Test Level 3: Functions - Question 7

Statement (i): Let F(x) be an even function and G(x) be odd.
H(x) = Product of an even function and an odd function
H(x) = F(x) G(x)
Now, H(-x) = F(-x) G(-x) = F(x) (-G(x)) = -F(x) G(x) = -H(x)
Hence, H(x) is an odd function. Statement (i) is not true.
Statement (ii): Let F(x) and G(x) be even functions.
H(x) = F(x) + G(x)
H(-x) = F(-x) + G(-x) = F(x) + G(x) = H(x)
It is an even function; hence, statement (ii) is true.
Statement (iii): Let F(x) and G(x) be odd functions.
H(x) = F(x) G(x)
H(-x) = F(-x) G(-x) = (-F(x))(-G(x)) = F(x) G(x) = H(x)
It is an even function. Hence, statement (iii) is true.
So, statements (ii) and (iii) are true.

Test Level 3: Functions - Question 8

For all real numbers x, a function f(x) satisfies 2f(x) + f(1 - x) = x2. Find the value of f(5).

Detailed Solution for Test Level 3: Functions - Question 8

Given: 2f(x) + f(1 - x) = x2 ... (A)
Put x = 5 in (i).
2f(5) + f(-4) = 25
Multiply by 2
4f(5) + 2f(-4) = 50 ... (1)
Put x = -4 in (A).
2f(-4) + f(5) = 16 ... (2)Subtract (2) from (1):
4f(5) - f(5) = 50 - 16
3f(5) = 34
f(5) = 34/3

Test Level 3: Functions - Question 9

Which of the following is the graph of f(x) = ?

Detailed Solution for Test Level 3: Functions - Question 9

 f(x) = 1/(x - 2)
When x = 1, f(x) = -1
When x = 2, f(x) = ∞
When x = 3, f(x) = 1, and so on
Therefore, option d is correct.

Test Level 3: Functions - Question 10

Refer to the following data to answer the question that follows.
F(x) = Modulus of x
G(x) = The largest integer less than or equal to x
H(x) = The smallest integer greater than or equal to x
I(x) = x, a real number
Find the value of H

Detailed Solution for Test Level 3: Functions - Question 10

 I  = I (-1) = -1

Information about Test Level 3: Functions Page
In this test you can find the Exam questions for Test Level 3: Functions solved & explained in the simplest way possible. Besides giving Questions and answers for Test Level 3: Functions, EduRev gives you an ample number of Online tests for practice
Download as PDF