CAT Exam  >  CAT Tests  >  Test Level 3: Trigonometry - CAT MCQ

Test Level 3: Trigonometry - CAT MCQ


Test Description

15 Questions MCQ Test - Test Level 3: Trigonometry

Test Level 3: Trigonometry for CAT 2025 is part of CAT preparation. The Test Level 3: Trigonometry questions and answers have been prepared according to the CAT exam syllabus.The Test Level 3: Trigonometry MCQs are made for CAT 2025 Exam. Find important definitions, questions, notes, meanings, examples, exercises, MCQs and online tests for Test Level 3: Trigonometry below.
Solutions of Test Level 3: Trigonometry questions in English are available as part of our course for CAT & Test Level 3: Trigonometry solutions in Hindi for CAT course. Download more important topics, notes, lectures and mock test series for CAT Exam by signing up for free. Attempt Test Level 3: Trigonometry | 15 questions in 30 minutes | Mock test for CAT preparation | Free important questions MCQ to study for CAT Exam | Download free PDF with solutions
Test Level 3: Trigonometry - Question 1

If the angle of elevation of a cloud from a height h above the level of water in a lake is α and the angle of depression of its image is β, then which of the following cannot be the height of the cloud above the level of water in the lake?

Detailed Solution for Test Level 3: Trigonometry - Question 1

Let BC = BD = x
∠CPM = α and ∠MPD = β

 

Also, BM = AP = h
∴ MC = x - h
and DM = x + h
Now, in CPM;
PM = MC cot α = (x - h)cot α …(i)
In ΔDPM;
PM = DM cot β = (x + h) cot β …(ii)
From eq. (i) and (ii), we get:
(x - h) cot α = (x + h) cot β

Test Level 3: Trigonometry - Question 2

An aeroplane flying horizontally 1 km above the ground is observed at an elevation of 60°. If after 10 seconds, the elevation is observed to be 30°, then the uniform speed of the aeroplane is  

Detailed Solution for Test Level 3: Trigonometry - Question 2


Distance travelled in 10 sec = AB = PQ = OQ - OP

Test Level 3: Trigonometry - Question 3

If in a triangle ABC, sin A, sin B and sin C are in AP, then

Detailed Solution for Test Level 3: Trigonometry - Question 3


If h1, h2, h3, are altitudes, then h1 = c sin B; h2 = a sin C; h3 = b sin A


Given sin A, sin B sin C..... are in A.P

Test Level 3: Trigonometry - Question 4

The complete solution of the equation 7 cos2 x + sin x cos x - 3 = 0 is

Detailed Solution for Test Level 3: Trigonometry - Question 4

7 cos2x + sin x cos x - 3 = 0
⇒ 7 + tan x - 3 sec2x = 0 (dividing both sides by cos2x)
⇒ 7 + tan x - 3(1 + tan2x) = 0
⇒ 3 tan2x - tan x - 4 = 0

n, K ∈ I

Test Level 3: Trigonometry - Question 5

If xcotθ - ycosecθ = a and xcosecθ - ycotθ = b, then (y2 - x2)2 is equal to

Detailed Solution for Test Level 3: Trigonometry - Question 5

xcotθ – ycosecθ = a
Squaring both sides, we get
x2cot2θ + y2cosec2θ – 2.xy.cotθ.cosecθ = a2 --- (1)
xcosecθ – ycotθ = b
Squaring both sides, we get
x2cosec2θ + y2cot2θ – 2.xy.cosecθ.cotθ = b2 --- (2)
Subtracting (2) from (1), we get
x2cot2θ + y2cosec2θ – 2.xy.cotθ.cosecθ - (x2cosec2θ + y2cot2θ – 2.xy.cosecθ.cotθ) = a2 - b2
x2cot2θ + y2cosec2θ - x2cosec2θ - y2cot2θ = a2 - b2
cosec2θ(y2 – x2) – cot2θ(y2 – x2) = a2 – b2
(y2 – x2)(cosec2θ – cot2θ) = a2 – b2
(y2 – x2) = a2 – b2
Squaring both sides,
(y2 – x2)2 = (a2 - b2)2

Test Level 3: Trigonometry - Question 6

What is the value of q if cot(p + q – r + s) = 0, sin(p – q) = 1/2 , cosec(q + s) = √2 and sec(q + r) = 1?

Detailed Solution for Test Level 3: Trigonometry - Question 6

cot(p + q – r + s) = 0
cot(p + q – r + s) = cot 90°
Therefore, (p + q – r + s) = 90° --- (1)
Now, sin(p – q) = 1/2
sin(p – q) = sin 30°
So,(p – q) = 30° --- (2)
Also, cosec(q + s) = √2
cosec(q + s) = cosec 45°
(q + s) = 45° --- (3)
And sec(q + r) = 1
sec(q + r) = sec 0°
(q + r) = 0° --- (4)
Now, adding equations (2) and (4),
p + r = 30° --- (5)
Now, putting (3) in (1),
So, p – r = 90° - 45° = 45° --- (6)
Now, subtracting equation (6) from equation (5),
2r = -15°
r = -7.5°
Now, putting r = -7.5° in equation (4), we get
q = 7.5°

Test Level 3: Trigonometry - Question 7

What is the value of x2 - 4 - y2 + 4/(cosθ sinθ) if x = secθ – cosecθ and y = tanθ – cotθ?

Detailed Solution for Test Level 3: Trigonometry - Question 7


After putting the values of x and y, the expression becomes:
(secθ – cosecθ)2 – 4 – (tanθ – cotθ)2 + 4/(cosθ sinθ)
= (sec2θ + cosec2θ - 2secθ cosecθ) - 4 - (tan2θ + cot2θ - 2tanθ cot θ) + 4/(cosθ sinθ)
= sec2θ + cosec2θ - 2secθ cosecθ – 4 - tan2θ - cot2θ + 2tanθ cot θ + 4/(cosθ sinθ)

[As sec2θ - tan2θ = 1 and cosec2θ - cot2θ = 1]

Test Level 3: Trigonometry - Question 8

Fill in the blanks:
(i) If sec4θ + sec2θ = 1, then the value of 3 tan2θ + tan4θ is ____________.
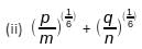
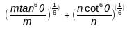
(ii) The value of +, if (p/m)(1/6) + (q/n)(1/6), if p = m tan6θ and q = n cot6θ, is ___________.
(iii) If o = g cosecθ, m = gcotθ and n = Isecθ, then the value of o2 – m2 – n2 + I2tan2θ is ________.

Detailed Solution for Test Level 3: Trigonometry - Question 8

(i) sec4θ + sec2θ = 1 [Given]
sec2θ = 1 - sec4θ
1 + tan2θ = 1 – (1 + tan2θ)2 [As sec2θ = 1 + tan2θ]
1 + tan2θ = 1 – [1 + tan4θ + 2tan2θ]
1 + tan2θ = 1 – 1 - tan4θ – 2tan2θ
1 + 3tan2θ + tan4θ = 0
3tan2θ + tan4θ = -1

Putting the values of p and q in this expression,

= tanθ + cotθ

(iii) o2 – m2 – n2 + I2tan2θ
Putting the values of o, m and n in this expression,
= g2cosec2θ - g2cot2θ - I2sec2θ + I2tan2θ
= g2(cosec2θ - cot2θ) - I2(sec2θ - tan2θ)
= g2 - I2 [As cosec2θ - cot2θ = 1 and sec2θ - tan2θ = 1]

Test Level 3: Trigonometry - Question 9

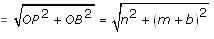
A pole of length 'L', leaning against a wall makes an angle x. When the foot of the pole was moved by a distance of 'b' towards the wall, the top of the pole moves by a distance 'a' upwards and the pole makes an angle y. What is the value of L?

Detailed Solution for Test Level 3: Trigonometry - Question 9


In the figure, let OP = n and OA = m
Then, length of the ladder 

In triangle OPB, 

n = (m + b) tan x
In triangle OAQ,

 n = m tan y - a
Equating the values of n, we get

Test Level 3: Trigonometry - Question 10

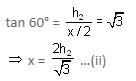
If two towers of heights h1 and h2 subtend angles 30° and 60°, respectively at the mid-point of the line joining their feet, then h1 : h2 is

Detailed Solution for Test Level 3: Trigonometry - Question 10


In Δ ABE,


and in Δ BCD, 

From Eqs. (i) and (ii),

Test Level 3: Trigonometry - Question 11

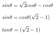
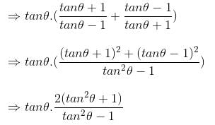
If sinθ + cosθ = √2cosθ, then find the value of 

Detailed Solution for Test Level 3: Trigonometry - Question 11




Put the value of tanθ, we get

Test Level 3: Trigonometry - Question 12

A rocket fired vertically moves according to the relation s = at + b, where s is in kilometres and t in seconds. When it was observed from a point on the ground, which is at a distance of 3 km from the point of projection, it was found that at t = 1 second, the angle of elevation was 30° and at t = 2 seconds, the angle of elevation was 45°. Find the time at which the angle of elevation is 60°.

Detailed Solution for Test Level 3: Trigonometry - Question 12


In figure, the vertical line gives the position of rocket at different times. At B, the time is 1 second.
In triangle OBA,
OB = a + b and OA = 3

At t = 2 seconds, the position of the rocket is at C.
OC = 2a + b
In triangle OCA,

Solving for b and a,
a = 3 - √3 and b = 2√3 - 3
Hence, the expression for the distance becomes
s = (3 - √3) t + 2√3 - 3
In triangle ODA,

Test Level 3: Trigonometry - Question 13

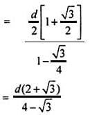
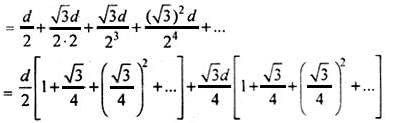
Two rays are drawn from a point making an angle of 30° with each other. A point B is taken on one of them at a distance d from point A. A perpendicular is drawn from point B to the other ray and another perpendicular is drawn from its foot to meet AB at another point from where the similar process is repeated indefinitely. The length of the resulting infinite polygonal line is equal to

Detailed Solution for Test Level 3: Trigonometry - Question 13


Total length = d sin30° + d sin 30° sin 60° + d sin 30° sin 60° sin 30° + ...

Test Level 3: Trigonometry - Question 14

A person sitting in an aeroplane, which is flying at a certain height, observes the angles of depression of two consecutive milestones lying at a distance of 1 km on the road to be x and y. Determine the height of the aeroplane above the ground.

Detailed Solution for Test Level 3: Trigonometry - Question 14


In figure, BC = 1 km 
In triangle APB,

In triangle PAC,

Equating the expressions, we get

Test Level 3: Trigonometry - Question 15

A 50 m high pole stands on a 250 m high building. To an observer at a height of 300 m, the building and the pole subtend equal angles. The distance of the observer from the top of the pole is

Detailed Solution for Test Level 3: Trigonometry - Question 15


From the figure, we find that
tan θ = 50/x (From triangle OMP) ... (1)
Also, tan 2θ = 300/x (From triangle OBM) ... (2)

⇒ 3(x2 - 2500) = x2
⇒ x2 = 3x2 - 7500
⇒ 2x2 = 7500
⇒ x2 = 3750 = 625 × 6
⇒ x = 25√6
Hence, distance of the observer from the top of the pole is 25√6m.

Information about Test Level 3: Trigonometry Page
In this test you can find the Exam questions for Test Level 3: Trigonometry solved & explained in the simplest way possible. Besides giving Questions and answers for Test Level 3: Trigonometry, EduRev gives you an ample number of Online tests for practice
Download as PDF