JEE Exam  >  JEE Tests  >  UGEE REAP Mock Test- 3 - JEE MCQ

UGEE REAP Mock Test- 3 - JEE MCQ


Test Description

30 Questions MCQ Test - UGEE REAP Mock Test- 3

UGEE REAP Mock Test- 3 for JEE 2025 is part of JEE preparation. The UGEE REAP Mock Test- 3 questions and answers have been prepared according to the JEE exam syllabus.The UGEE REAP Mock Test- 3 MCQs are made for JEE 2025 Exam. Find important definitions, questions, notes, meanings, examples, exercises, MCQs and online tests for UGEE REAP Mock Test- 3 below.
Solutions of UGEE REAP Mock Test- 3 questions in English are available as part of our course for JEE & UGEE REAP Mock Test- 3 solutions in Hindi for JEE course. Download more important topics, notes, lectures and mock test series for JEE Exam by signing up for free. Attempt UGEE REAP Mock Test- 3 | 50 questions in 120 minutes | Mock test for JEE preparation | Free important questions MCQ to study for JEE Exam | Download free PDF with solutions
UGEE REAP Mock Test- 3 - Question 1

What is the profession of A?

Detailed Solution for UGEE REAP Mock Test- 3 - Question 1

The solution is that A is the Manager:

  • The Manager is the grandfather of F, the Engineer.
  • C, the Salesman, is married to the lady Teacher.
  • B is the mother of F and E.
  • The Doctor, D, is married to the Manager.

This confirms that A must be the Manager.

UGEE REAP Mock Test- 3 - Question 2

What is F's position from the top when they arearranged in descending order of their height?

Detailed Solution for UGEE REAP Mock Test- 3 - Question 2

Let’s assign positions based on height, using the clues to build the order from tallest (1) to shortest (8).

  • Position 4 (H): H is explicitly stated to be “fourth from the top.”
    • Height order so far: [ ?, ?, ?, H, ?, ?, ?, ? ].
  • Position 2 (E): E is second to the tallest.
    • Height order: [ ?, E, ?, H, ?, ?, ?, ? ].
  • E is taller than B: Since E is in position 2, B must be in position 3 or lower (i.e., positions 3, 5, 6, 7, or 8, as 4 is taken by H).
  • F’s Height Constraints:
    • F is shorter than H and B: Since H is in position 4, F must be in positions 5, 6, 7, or 8. B must be taller than F, and since B > F and H > F, B cannot be in positions 5–8 (as that would contradict B > F if F is also there). Thus, B must be in position 3 (since position 1 is still open, but we’ll check).
    • F is taller than A and D: F > A, D, so A and D are in positions below F.
  • Tentative B Placement: Let’s place B in position 3, as it’s the only position above H that E (position 2) is taller than:
    • Height order: [ ?, E, B, H, ?, ?, ?, ? ].
  • F Placement: F is shorter than H (position 4) and B (position 3), so F is in positions 5, 6, 7, or 8. We’ll determine the exact position later.
  • G’s Height: G is shorter than D but taller than A (D > G > A).
  • Remaining Friends: A, C, D, F, G remain for positions 1, 5, 6, 7, 8.
  • Position 1 (Tallest): The tallest does not play football. Possible candidates for position 1 are A, C, D, F, G (since E, B, H are placed). We’ll determine this later.
  • A, D, F, G Relations:
    • F > A, D.
    • D > G > A.
    • Combining: F > D > G > A.
    • Thus, in descending order, the sequence among these four is F, D, G, A, occupying four of the positions 5, 6, 7, 8 (since F is below H).
  • Height Order for 5–8: Since F > D > G > A, assign:
    • Position 5: F,
    • Position 6: D,
    • Position 7: G,
    • Position 8: A.
    • Tentative height order: [ ?, E, B, H, F, D, G, A ].
  • Position 1: The only remaining friend is C. Thus:
    • Position 1: C.
  • Complete Height Order:
    • 1: C
    • 2: E
    • 3: B
    • 4: H
    • 5: F
    • 6: D
    • 7: G
    • 8: A
UGEE REAP Mock Test- 3 - Question 3

What is the maximum possible difference between the runs scored by Sourav and Yuvi in any match?

Detailed Solution for UGEE REAP Mock Test- 3 - Question 3

To find the maximum possible difference between the runs scored by Sourav and Yuvi in any match, consider the following:

  • The total runs scored by India in any match is between 250 and 300.
  • The graph shows the percentage share of runs scored by each batsman.
  • For the maximum difference, we need to calculate the runs when both the total runs and the percentage share of the batsmen are at opposite extremes.
  • Assume Sourav has the highest percentage and Yuvi the lowest for one match, and vice versa for another.

In conclusion, the maximum difference cannot be determined precisely without exact percentages, leading to option D: None of these.

UGEE REAP Mock Test- 3 - Question 4

Who is the lowest scorer in all the four matches taken together?

Detailed Solution for UGEE REAP Mock Test- 3 - Question 4

It is given that team score lies in between 250 and 300.
We can thus see that the total score is more or less same in all the matches. So percentage share in total runsb scored by the team is enough to answer who scored the
minimum runs.
Yuvi has the lower percentage share.

UGEE REAP Mock Test- 3 - Question 5

Find the maximum possible difference in total runs by the four batsmen in any two matches?

Detailed Solution for UGEE REAP Mock Test- 3 - Question 5

The task is to find the maximum possible difference in the total runs scored by four Indian batsmen across two matches.

  • The total runs scored by India in any match is between 250 and 300.
  • Assume the batsmen’s percentage share of total runs is the same in each match.
  • Calculate the possible runs for maximum total (300) and minimum total (250) for each batsman.
  • The difference in the total runs by the batsmen between these two scenarios gives the maximum possible difference.

Therefore, the answer is 100.

UGEE REAP Mock Test- 3 - Question 6

A group of workers can complete a certain job in 9 days. But it so happens that every alternate day starting from the second day, 2 workers are withdrawn from the job and every alternate day starting from the third day, one worker is added to the group. In such away, the job is finished by the time, there is no worker left. If it takes the double time to finish the job now, find the number of workers who started the job?

Detailed Solution for UGEE REAP Mock Test- 3 - Question 6

Total work = N × 9 worker-days.
Workers adjusted at the start:

  • Day 1: N,
  • Day 2: N - 2 (2 withdrawn),
  • Day 3: N - 1 (1 added),
  • Day 4: N - 3,
  • Day 5: N - 2, ... ,
  • Day 18: N - 10.

N − 10 = 0 ⇒ N = 10.
Work over 17 days (sum of workers from day 1 to 17) = 10 + 8 + 9 + 7 + 8 + 6 + 7 + 5 + 6 + 4 + 5 + 3 + 4 + 2 + 3 + 1 + 2 = 90, equals 10 × 9.
Job completes by day 17, and on day 18, workers = 0, aligning with "double time" (18 days) approximately.
Answer: N = 10 (B).

UGEE REAP Mock Test- 3 - Question 7

A target may be either at point I with probability 8/9 or at point II with probability 1/9. We have 21 shells, each of which can be fired either at point I or at point II. Each shell may hit the target, independently of the other shells, with probability 1/2. How many shells must be fired at point I to hit the target with maximum probability?

Detailed Solution for UGEE REAP Mock Test- 3 - Question 7

To find the number of shells n n n that should be fired at point I to maximize the probability of hitting the target:

  1. Define Probabilities:
    • Probability that the target is at point I: 8/9​
    • Probability that the target is at point II: 1/9 
    • Probability that a shell hits the target: 1/2 
  2. Total Number of Shells:
    • Total shells: 21
  3. Maximize Probability:
    • Calculate the total probability P(total) for each possible number of shells n fired at point I.
    • The total probability is given by:
  4. Optimal Number of Shells:
    • The answer is found by maximizing P(total). It turns out the maximum is at n = 12.

Therefore, the number of shells to be fired at point I for maximum probability is 12.

UGEE REAP Mock Test- 3 - Question 8

Arrange the words given below in a meaningful sequence.
1. Family
2. Community
3. Member
4. Locality
5. Country

Detailed Solution for UGEE REAP Mock Test- 3 - Question 8

The correct order is:

UGEE REAP Mock Test- 3 - Question 9

A student studying the weather for d days observed that
(i) it rained on 7 days, morning or afternoon;
(ii) when it rained in the afternoon, it was clear in the morning;
(iii) there were five clear afternoons and
(iv) there were six clear mornings.
Then the d equals

Detailed Solution for UGEE REAP Mock Test- 3 - Question 9

Let x = Number of days it rained in the morning and had clear afternoons.
y = Number of days it rained in the afternoon and had clear mornings.
z = Number of days it rained in the morning or afternoon.
So according to question,
x + y = 7 
x + z = 5 
y + z = 6 
Adding all three equations, x + y + z = 9
So, d = 9 days

UGEE REAP Mock Test- 3 - Question 10

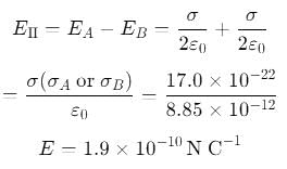
E between the plates is

Detailed Solution for UGEE REAP Mock Test- 3 - Question 10

In region II or between the plates, the electric field

UGEE REAP Mock Test- 3 - Question 11

The ratio of E' on right side of B at distances 2 cm and 4 cm, respectively is

Detailed Solution for UGEE REAP Mock Test- 3 - Question 11

Since, electric field due to an infinite-plane sheet of charge does not depend on the distance of observation point from the plane sheet of charge. So, for the given distances, the ratio of E will be 1 : 1.

UGEE REAP Mock Test- 3 - Question 12

In order to estimate the electric field due to a thin finite plane metal plate, the Gaussian surface considered is

Detailed Solution for UGEE REAP Mock Test- 3 - Question 12

In order to estimate the electric field due to a thin finite plane metal plate, we take a cylindrical cross-sectional area A and length 2r as the gaussian surface.

UGEE REAP Mock Test- 3 - Question 13

0, 5, 22, 57, 116, _____

Detailed Solution for UGEE REAP Mock Test- 3 - Question 13

The 1st to 5th terms are 0, 5, 22, 57, 116. These terms are 1–1, 8–3, 27–5, 64–7, 125–9. So, these are 13–1, 23–3, 33–5, 43–7, 53–9. So, nth term of series is n3 – (2 × n – 1). So, 6th term is 63 – (2 × 6 – 1) = 216 – 11 = 205

UGEE REAP Mock Test- 3 - Question 14

Let S = {(x, y) : |x| + |y| = 2}. Then, the diameter (or diagonal length) of S is

Detailed Solution for UGEE REAP Mock Test- 3 - Question 14

The set S = {(x, y) : |x| + |y| = 2} forms a diamond with vertices at (2, 0), (-2, 0), (0, 2), and (0, -2).

The diameter is the maximum distance between any two points, which is between opposite vertices:

  • Distance between (2, 0) and (-2, 0) = 

UGEE REAP Mock Test- 3 - Question 15

The man who is now Municipal Commissioner worked as _________.

Detailed Solution for UGEE REAP Mock Test- 3 - Question 15

The man who is now Municipal Commissioner worked as a security guard at the university

UGEE REAP Mock Test- 3 - Question 16

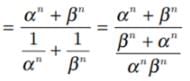
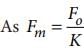
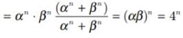
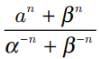
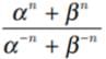
In a quadratic function, the value of the product of the roots (α, β) is 4. Find the value of 

Detailed Solution for UGEE REAP Mock Test- 3 - Question 16

αβ = 4
Now,


UGEE REAP Mock Test- 3 - Question 17

Only one bomb is needed to destroy a bridge and there are three bombers engaged in an attempt to destroy the bridge. The probabilities of the bombers hitting the bridge are respectively 0.3, 0.4 and 0.7. What is the probability of the bridge being destroyed?

Detailed Solution for UGEE REAP Mock Test- 3 - Question 17

To determine the probability that the bridge will be destroyed, we need to find the probability that at least one of the three bombers hits the bridge.
The given probabilities of the bombers hitting the bridge are 0.3, 0.4, and 0.7, respectively.
First, calculate the probability that each bomber misses the bridge:

  • Probability that the first bomber misses: 1 − 0.3 = 0.7

  • Probability that the second bomber misses: 1 − 0.4 = 0.6

  • Probability that the third bomber misses: 1 − 0.7 = 0.3

The probability that all three bombers miss the bridge is:
P(all miss) = 0.7 × 0.6 × 0.3 
Calculate this:
P(all miss) = 0.7 × 0.6 × 0.3 = 0.126

Now, the probability that at least one bomber hits the bridge is:
P(at least one hits) = 1 − P(all miss)

Thus:
P(at least one hits) = 1 − 0.126 = 0.874

Therefore, the probability that the bridge will be destroyed is:
0.874

UGEE REAP Mock Test- 3 - Question 18

The streets of a city are arranged like the lines of a chessboard. There are m streets running north-south and n streets running in east-west direction. What is the number of ways in which a man can travel on these streets from the north-west to the south-east corner, going by the shortest possible distance?

Detailed Solution for UGEE REAP Mock Test- 3 - Question 18

To find the number of shortest paths in an m×n grid, calculate the combinations of moves. You need to make:

  • (m-1) down moves
  • (n-1) right moves

This totals to (m+n-2) steps. The number of ways to arrange these moves is given by:

C(m+n-2, m-1) = (m+n-2)! / [(m−1)! (n−1)!]

This corresponds to option D.

UGEE REAP Mock Test- 3 - Question 19

25$391@4

Detailed Solution for UGEE REAP Mock Test- 3 - Question 19

The given group of elements is 25$391@4.
This group follows condition (ii).
Hence, the code is ECXWONTE.

UGEE REAP Mock Test- 3 - Question 20

1$Ω4925

Detailed Solution for UGEE REAP Mock Test- 3 - Question 20

Step-by-Step Solution:

  • The group is "1$24925".
  • Break it into individual elements: 1 (first), $, 2, 4, 9, 2, 5 (last).
  • Identify the first and last elements:
    • First element = 1 (odd digit).
    • Last element = 5 (odd digit).
  • Apply Condition (i): Since both the first (1) and last (5) elements are odd digits, code both as 'A'.
    • Replace 1 with A and 5 with A.
    • New group becomes "A$2492A".
  • Code each element using the table:
    • A (replaced 1) → Remains A (per condition i).
    • $ → X
    • 2 → G
    • 4 → B
    • 9 → O
    • 2 → G
    • A (replaced 5) → Remains A (per condition i).
  • Resulting code: A X G B O G A
  • Combine into a single string: AXGBOGA

Compare with Options:

  • a) AXKPMGA
  • b) BPKXMGB
  • c) BXKPMBA
  • d) None of these

The derived code "AXGBOGA" does not match any of the provided options. Let’s re-examine the process to ensure no mistakes:

  • The application of condition (i) is correct because 1 and 5 are odd digits.
  • The coding of each element (X for $, G for 2, B for 4, O for 9, G for 2) follows the table accurately.
  • No other condition applies: (ii) doesn’t apply (not both even), (iii) doesn’t apply (first is odd, last is digit), (iv) doesn’t apply (not both symbols).
     
  • Original group: "1$24925"
  • First element 1 (odd), last element 5 (odd) → Condition (i) applies, so 1 and 5 become A.
  • Middle elements ($2492) are coded as X G B O G.
  • This confirms "AXGBOGA".
UGEE REAP Mock Test- 3 - Question 21

The in-radius and circumradius of a right-angled triangle is 3 cm and 12.5 cm, respectively. The area of the triangle is:

Detailed Solution for UGEE REAP Mock Test- 3 - Question 21

Given:
The in-radius and circumradius of a right-angle triangle is 3 cm and 12.5 cm.

Concept used:
Inradius of right-angle triangle = (P + B - H)/2
Circumradius of a right angle triangle = H/2
Area of a right angle triangle = (1/2 x P x B)

Where,
P = Perpendicular
B = Base
H = Hypotenuse

Calculation:
According to the question
Inradius of right-angle triangle = (P + B - H)/2
=> (P + B - H)/2 = 3
=> P + B - H = 6 ...(1)

Circumradius of a right angle triangle = H/2
=> H/2 = 12.5
=> H = 25

Putting the value of H in equation (1)
=> P + B - 25 = 6
=> P + B = 31

Now,
=> (P² + B²) = (25)²
=> P² + B² = 625

P + B = 31
=> (P - B)² = (31)²
=> P² + B² - 2PB = 961
=> 2PB = 961 - 625
=> 2PB = 336
=> PB = 168

So, area of triangle = 1/2 x PB
=> (1/2 x 168) = 84 cm²

∴ The area of the triangle is 84 cm²

UGEE REAP Mock Test- 3 - Question 22

Identify the correct spelling out of the given options:

Detailed Solution for UGEE REAP Mock Test- 3 - Question 22

The correct spelling is 'Manageable.' This word is spelled with an 'e' after 'g,' making it distinct from the other options, which contain misspellings such as:

  • Missing letters
  • Incorrect letter combinations
UGEE REAP Mock Test- 3 - Question 23

When air is replaced by a dielectric medium of constant K, the maximum force of attraction between two charges separated by a distance

Detailed Solution for UGEE REAP Mock Test- 3 - Question 23


∴ The maximum force decreases by K times.

UGEE REAP Mock Test- 3 - Question 24

Which of the following is a dielectric?

Detailed Solution for UGEE REAP Mock Test- 3 - Question 24

A dielectric is an insulating material that can be polarized by an electric field. This means it does not conduct electricity but can support electrostatic fields.

Among the given options, glass is a known dielectric as it is non-conductive and is used in applications like capacitors. Here’s a breakdown of the materials:

  • Copper (A): This is a conductor.
  • Antimony (C): Although it is a metalloid, it isn't typically classified as a dielectric.
  • Glass (B): This is the correct answer as it is a dielectric material.

Therefore, the correct answer is B.

UGEE REAP Mock Test- 3 - Question 25

Which of the following statements is true for a polar molecule?

Detailed Solution for UGEE REAP Mock Test- 3 - Question 25

A polar molecule is one in which the centre of gravity for positive and negative charges are separated.

UGEE REAP Mock Test- 3 - Question 26

When a comb rubbed with dry hair attracts pieces of paper. This is because the

Detailed Solution for UGEE REAP Mock Test- 3 - Question 26

The correct explanation is that the comb polarizes the paper, which leads to induced charges on the paper's surface, creating an attractive force between the comb and the paper.

UGEE REAP Mock Test- 3 - Question 27

If in a certain code language, INDIA is written as WEZJE, How is JAIHIND written in that code language?

Detailed Solution for UGEE REAP Mock Test- 3 - Question 27

The pattern for the code is as follows:

Hence, JAIHIND will be written as ZJEDEWF.

UGEE REAP Mock Test- 3 - Question 28

In the summer, water consumption is known to decrease overall by 25%. A Water Board official states that in the summer household consumption decreases by 20%, while other consumption increases by 70%.
Which of the following statements is correct?

Detailed Solution for UGEE REAP Mock Test- 3 - Question 28

Let the ratio of household consumption to other consumption be x:y.
Therefore,
-20x + 70y = -25(x + y)
⇒ -20x + 70y = -25x - 25y
⇒ 5x = -95y
which is not possible.
Therefore, option (d) is correct.

UGEE REAP Mock Test- 3 - Question 29

Direction: Find what should come in place of question mark (?) in the following number series:

444 467 513 582 674 789 ?

Detailed Solution for UGEE REAP Mock Test- 3 - Question 29

The given number series is based on the following pattern:
467 - 444 = 23 = 23 × 1
513 - 467 = 46 = 23 × 2
582 - 513 = 69 = 23 × 3
674 - 582 = 92 = 23 × 4
789 - 674 = 115 = 23 × 5
Thus, ? = 789 + 23 × 6 = 789 + 138 = 927
Hence, 927 will replace the question mark.

UGEE REAP Mock Test- 3 - Question 30

Solve the following?
If RAT = 9
GAME = 12
LIVER = 15
Then
POLYSTER = ?

Detailed Solution for UGEE REAP Mock Test- 3 - Question 30

Here logic is:
The total number of letters in a word × 3
RAT (3 × 3) = 9
GAME (4 × 3) = 12
LIVER (5 × 3) = 15
Thus,
POLYSTER (8 × 3) = 24
Hence, the correct answer is 24.

View more questions
Information about UGEE REAP Mock Test- 3 Page
In this test you can find the Exam questions for UGEE REAP Mock Test- 3 solved & explained in the simplest way possible. Besides giving Questions and answers for UGEE REAP Mock Test- 3, EduRev gives you an ample number of Online tests for practice
Download as PDF