CUET PG Exam  >  CUET PG Tests  >  CUET PG Computer Science Mock Test - 1 - CUET PG MCQ

CUET PG Computer Science Mock Test - 1 - CUET PG MCQ


Test Description

30 Questions MCQ Test - CUET PG Computer Science Mock Test - 1

CUET PG Computer Science Mock Test - 1 for CUET PG 2025 is part of CUET PG preparation. The CUET PG Computer Science Mock Test - 1 questions and answers have been prepared according to the CUET PG exam syllabus.The CUET PG Computer Science Mock Test - 1 MCQs are made for CUET PG 2025 Exam. Find important definitions, questions, notes, meanings, examples, exercises, MCQs and online tests for CUET PG Computer Science Mock Test - 1 below.
Solutions of CUET PG Computer Science Mock Test - 1 questions in English are available as part of our course for CUET PG & CUET PG Computer Science Mock Test - 1 solutions in Hindi for CUET PG course. Download more important topics, notes, lectures and mock test series for CUET PG Exam by signing up for free. Attempt CUET PG Computer Science Mock Test - 1 | 75 questions in 90 minutes | Mock test for CUET PG preparation | Free important questions MCQ to study for CUET PG Exam | Download free PDF with solutions
CUET PG Computer Science Mock Test - 1 - Question 1

The minimized equation for the following logic function using K-map is ___________.

F(A, B, C, D) = ∑m(0, 1, 2, 3, 5, 7, 8, 9, 11, 14)

Detailed Solution for CUET PG Computer Science Mock Test - 1 - Question 1

The correct answer is
Given:
F(A, B, C, D) = ∑m(0, 1, 2, 3, 5, 7, 8, 9, 11, 14)


The minimized equation for the following logic function using K-map is
Important Points

  • Karnaugh Maps (K-maps) are a graphical method used to simplify Boolean algebra expressions.
    • When minimizing a Boolean function using K-maps, there are several key points to keep in mind:
  • Representation: Each cell in the K-map represents a unique combination of input values for the variables in the Boolean expression.
  • Adjacency: Cells that are adjacent in the K-map differ by only one variable assignment (binary digit).
  • Grouping: The main technique for simplifying a Boolean expression in a K-map involves identifying groups of adjacent 1s (or 0s)
    • that can be combined to form larger groups.
  • Group Size: The goal is to form the largest groups possible without violating adjacency rules.
  • Minimal Cover: The simplified expression should cover all the 1s (or 0s) in the original function using the fewest possible terms.
  • Prime Implicants: A prime implicant is a group of cells in the K-map that cannot be combined
    • with any other adjacent group to form a larger group. Prime implicants are essential for finding the minimal cover.
  • Essential Prime Implicants: These are prime implicants that cover at least one minterm
    • that no other prime implicant covers. Essential prime implicants must be included in the final simplified expression .
CUET PG Computer Science Mock Test - 1 - Question 2

Match the following.

Detailed Solution for CUET PG Computer Science Mock Test - 1 - Question 2

Stack algorithmA page replacement algorithm is said to satisfy the inclusion property, or it is called as stack algorithm if the set of pages in a k frame memory is always a subset of the pages in a k+1 frame memory.
Elevator algorithmIt is a disk scheduling algorithm, also known as scan algorithm in which head, starts from one end of disk and moves towards other end by servicing each request in between and reach other end.
Priority scheduling algorithm: It is a CPU scheduling algorithm in which each process is assigned a priority and processes according to their priority.
Havender’s Algorithm: It is related with deadlock. In this, all the resources required by process will be requested at once.

CUET PG Computer Science Mock Test - 1 - Question 3

Which of the following options best describes the accuracy of the given statements?

i) URL stands for Uniform Resource Locator.
ii) The meaning of XML is Extensible Markup Language.
iii) ROM stands for Read-Only Memory.

Detailed Solution for CUET PG Computer Science Mock Test - 1 - Question 3

The correct answer is i - True, ii - True, iii - True

Key Points

  • i) True. URL stands for Uniform Resource Locator, which is used to specify addresses on the internet.
  • ii) True. XML stands for Extensible Markup Language, which is used to define rules for encoding documents in a format that is both human-readable and machine-readable.
  • iii) True. ROM stands for Read-Only Memory, a type of non-volatile memory used in computers and other electronic devices.
CUET PG Computer Science Mock Test - 1 - Question 4
A flip-flop circuit can be used for:
Detailed Solution for CUET PG Computer Science Mock Test - 1 - Question 4

The correct answer is both (1) and (2).

Key Points

  • Counting: A flip-flop is a basic digital memory circuit that can be used to count events. It can store a single bit of data, and its state can be toggled or changed based on input signals. Counting applications often use multiple flip-flops connected in series to form binary counters.
  • Scaling: In digital circuits, flip-flops can be used to divide the frequency of input signals, which is essentially a form of scaling. For example, a flip-flop can be used as a frequency divider to reduce the frequency of a clock signal by half.

Additional Information

  • Option 3: Demodulation - Demodulation is the process of extracting the original information-bearing signal from a modulated carrier wave. While flip-flops are fundamental in digital circuits, they are not typically used for demodulation purposes. Demodulation usually involves analog circuits or specialized digital signal processing techniques.
CUET PG Computer Science Mock Test - 1 - Question 5
If n elements in a set A then the elements presents in power set are ?
Detailed Solution for CUET PG Computer Science Mock Test - 1 - Question 5

Concept:

Power set: A power set is set of all subsets, empty set and the original set itself.

If there are n elements in a set A, then the elements of power set are equal to 2n

Calculation:

Given: n elements in a set A

n (A) = n

To Find: Elements presents in power set

∴ n [P (A)] = 2n

CUET PG Computer Science Mock Test - 1 - Question 6
Which of the following hazards occurs when the pipeline makes the wrong decision on a branch prediction and therefore brings instructions into the pipeline that must subsequently be discarded?
Detailed Solution for CUET PG Computer Science Mock Test - 1 - Question 6

The correct answer is option 4.

Concept:

Branch hazards occur when the pipeline makes wrong decisions on branch prediction and therefore brings instructions into the pipeline that must subsequently be discarded.

  • The term branch hazard also refers to a control hazard or instruction hazard.
  • Branch hazard form of dependence happens when control instructions such as BRANCH, CALL, JMP, and others are transferred. When the processor wants to introduce a new instruction into the pipeline, it will not know the target address of these instructions on many instruction architectures.

Hence the correct answer is Branch hazard.

Additional Information

  • True data dependence or (RAW - Read After Write) is dependence when the output of one instruction is required as an input of one of the following instructions, a dependency exists.
  • Output dependency or (WAW - Write After Write) is dependence. This type of dependence occurs when two instructions use the same output location and write to the same register/memory address.
  • Anti-dependency or (WAR - Write After Read) is dependence. When an instruction takes a value from a memory location or a register as an input operand, and one of the succeeding instructions writes to that location/register, this form of dependence occurs.
CUET PG Computer Science Mock Test - 1 - Question 7

At what point the line y = x + 1 is a tangent to the curve y2 = 4x?

Detailed Solution for CUET PG Computer Science Mock Test - 1 - Question 7

Concept:
Equation of tangent to the parabola y2 = 4ax at the point (x1, y1) is given by: y ⋅ y1 = 2a ⋅ (x + x1)
Calculation:
Given: The line y = x + 1 is a tangent to the curve y2 = 4x
As we know that, the equation of tangent to the parabola y2 = 4ax at the point (x1, y1) is given by: y ⋅ y1 = 2a ⋅ (x + x1)
Let (1, -2) be the point of contact
⇒ -2y = 2(x + 1)
⇒ y = -(x + 1)
So, when (1, -2) is the point of contact the equation of tangent to the given curve is y = -x - 1
But as we know that, equation of the tangent to the given curve is y = x + 1
So, (1,- 2) is not the point at which the line y = x + 1 is a tangent to the curve y2 = 4x.
Similarly, let us suppose (1, 2) be the point of contact
⇒ 2y = 2(x + 1)
⇒ y = x + 1
So, when (1, 2) is the point of contact the equation of tangent to the given curve is y = x + 1
So, (1, 2) is the point at which the line y = x + 1 is a tangent to the curve y2 = 4x.
Hence, option C is the correct answer.

CUET PG Computer Science Mock Test - 1 - Question 8
Which type of parameter is passed in a function for faster execution?
Detailed Solution for CUET PG Computer Science Mock Test - 1 - Question 8

The correct answer is option 1.

Concept:

For quicker execution, a function accepts parameters of the call by value type.

When supplying arguments to a function, the call by value technique duplicates the real value of each argument into the formal parameter of the function. Here, modifying the parameter inside the function has no impact on the argument. C programming by default passes parameters via call by value.

Example:

#include
void swap(int x, int y){
int temp = x;
x = y;
y = temp;
}
int main(){
int x = 10;
int y = 11;
printf("Values before swap: x = %d, y = %d\n", x,y);
swap(x,y);
printf("Values after swap: x = %d, y = %d", x,y);
}

Hence the correct answer is call by value.

CUET PG Computer Science Mock Test - 1 - Question 9

Match the following with respect to algorithm paradigms:

Detailed Solution for CUET PG Computer Science Mock Test - 1 - Question 9

8 - queen’s problem:

  • In this, 8 queens are placed on a 8 × 8 chessboard such that none of them can take same place.
  • It is the backtracking approach. In backtracking approach, all the possible configurations are checked and check whether result is obtained or not.
  • A queen can only be attacked if it is in the same row or column or diagonal of another queen.

Single source shortest path:

  • It is used to find the shortest path starting from a source to the all other vertices.
  • It is based on greedy approach.
  • Example of single source shortest path algorithm is Dijkstra’s algorithm which initially consider all the distance to infinity and distance to source is 0.

Strassen’s matrix multiplication:

  • It is a method used for matrix multiplication. It uses divide and conquer approach to multiply the matrices.
  • Time consumption is improved by using Strassen’s method as compared to standard multiplication method.
  • It is faster than standard method. Strassen’s multiplication can be performed only on square matrices.

Optimal binary search tree:

  • It is also known as weight balanced binary tree. In optimal binary search tree, dummy key is added in the tree by first constructing a binary search tree.
  • It is based on dynamic programming approach. Total cost must be as small as possible.
CUET PG Computer Science Mock Test - 1 - Question 10

Consider the following program

main()

{

int x = 0, i, j;

for (i = 0, j = 10; i < 5,j>0; i+=2, j--)

++x;

printf("%d",x);

}

The output of the above program will be

Detailed Solution for CUET PG Computer Science Mock Test - 1 - Question 10

The correct answer is option 1.

Concept:

The given c snippet is,

main()

{

int x = 0, i, j;

for (i = 0, j = 10; i < 5,j>0; i+=2, j--)

++x;

printf("%d",x);

}

Normally c program executes in an iterative manner from top to down.

Syntax:

for( initialization; condition; increment or decrement ){

// next statements}

The normal flow of for loop is first executed initialization, then executes the for loop condition. If the condition is true it executes the next statements followed by increment and decrement of the statements.

Comma operator:

The comma operator is a binary operator that evaluates its first operand and discards the result, it then evaluates the second operand and returns this value.

The iteration of the above program like,

Explanation:

Step1:

Initially, the x value is assigned zero and I, j are garbage values.

x=0, i= Garbage, j= Garbage

Step 2:

For-Loop initialization is initialized i=0 and j=10.

Step 3:

Control goes to condition i.e i < 5,j>0 it becomes true after that executes the next statements. And increments the a value 0 to 1.

Step 4:

Increment statement executes next i.e i+=2, j--. Here i value to increment by 2 and j value decrement by 1 i.e i = 3 and j= 9.

Again follow steps 3 and step 4 until the condition become false the both. The variable j that more decrement the double the j value incremented. J=0 and I become 20 then the conditions fails in both statements. i= 20, J=0 then x becomes 10 because the more decrementing the more incrementing.

i=20, j=0 and, x=10

Hence the loop breaks and prints the value of x. Then x print the 10 as output.

Hence the correct answer is 10.

CUET PG Computer Science Mock Test - 1 - Question 11

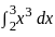
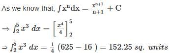
Find the area of the region bounded by the curves y = x3, the line x = 2, x = 5 and the x - axis?

Detailed Solution for CUET PG Computer Science Mock Test - 1 - Question 11

CONCEPT:

CALCULATION:
Here, we have to find the area of the region bounded by the curves y = x3, the line x = 2, x = 5 and the x - axis
So, the area enclosed by the given curves is given by

Hence, option D is the correct answer.

CUET PG Computer Science Mock Test - 1 - Question 12
What is the primary difference between ROM and RAM?
Detailed Solution for CUET PG Computer Science Mock Test - 1 - Question 12

The correct answer is ROM stores permanent data that cannot be changed, while RAM stores temporary data that can be read and written

Key Points

  • ROM (Read-Only Memory) is a type of non-volatile memory that stores permanent data, such as firmware and essential system instructions.
  • The data in ROM is written during the manufacturing process, and it is typically not modified or changed during normal operation.
  • In contrast, RAM (Random Access Memory) is a type of volatile memory that is used for temporary storage of data that can be both read and written.
  • RAM is used for actively running programs and storing temporary data that is needed by the computer while it is powered on.
  • Unlike ROM, the data in RAM is lost when the power is turned off.
CUET PG Computer Science Mock Test - 1 - Question 13
"Vacant" is related to "Empty" in the same way as "Crowd" is related to ______.
Detailed Solution for CUET PG Computer Science Mock Test - 1 - Question 13

The logic followed here is:

Vacant is synonym of Empty.

Similarly,

Crowd is synonym of Throng.

Hence, "Option 3" is the correct answer.

Additional InformationThroes → It refers to intense or violent struggle or pain.

Loner → It refers to a person who prefers solitude, which is the opposite of "Crowd."

Disband → It refers to the act of breaking up or dispersing a group.

CUET PG Computer Science Mock Test - 1 - Question 14

Which of the following operation easily performed by using a single stack?

Operation 1: Job Scheduling

Operation 2: Reversing the elements

Detailed Solution for CUET PG Computer Science Mock Test - 1 - Question 14

The correct answer is option 2.

Concept:

Stack:

A stack is a linear data structure that operates on the Last In First Out principle (LIFO). This signifies that the last thing added to the stack gets deleted first.

Operation 1: ​Job Scheduling

Job scheduling is can not be performed by using a single stack. In Job scheduling, all process follows the first come first served so this operation have to follow by the queue data structure.

Hence it can not be performed by the stack.

Operation 2: reversing the elements

A stack is last in first out, it has two main operations push and pop. Push inserts data into it and pop retrieves data from it. To reverse an element using stack initially push all elements into the stack using the push() method then, retrieve them back using the pop() all the elements. It prints in reverse the elements.

Hence it can be performed by the stack.

Hence the correct answer is only operation 2.

CUET PG Computer Science Mock Test - 1 - Question 15
Consider a system with a THRASHING situation most of the time with 25% of time for CPU utilisation and 75% for servicing page faults. Which of the below can improve CPU utilisation and reduce the thrashing?
Detailed Solution for CUET PG Computer Science Mock Test - 1 - Question 15

Thrashing: It is a situation where processes are spending a major portion of their time servicing page faults rather than actual processing.

  • The process is allocated too less frames leading to either too many or too less page faults.
  • Lond term scheduler loads more processes into the main memory which will increase the degree of multiprogramming but further increase in processes will decrease the CPU utilization again.

Install a faster processor.

False. Installing a faster processor will not affect CPU utilization as problem is related to main memory and not the processing speed.

Instruct the mid term scheduler to suspend some of the processes.

True. When the system is already in thrashing, we can instruct the mid term scheduler to suspend some processes for a while to recover from thrashing. Since no new processes are brought in, the existing processes will be the priority and thrashing will reduce.

Increase degree of multiprogramming.

False. Increasing the degree of multiprogramming at the time of thrashing will help in no way, instead, it will decrease the CPU utilization even further and exponentially increase the number of page faults.

Install bigger memory.

False. In the question above, there is no mention whether the memory it is talking about it primary or secondary. If it is instlaling bigger secondary memory, then it will have no affect as this is the problem in main memory not secondary memory. If it is saying about main memory, then we it will improve the CPU utilization as more frames will be allocated to each process. But again, it is not clear about the memory it is talking about, hence, it is false.

CUET PG Computer Science Mock Test - 1 - Question 16

What is the sequence of nodes when applying in-order traversal on the binary tree given below?

Detailed Solution for CUET PG Computer Science Mock Test - 1 - Question 16

Concept:

  • In-order Traversal: Left -> Root -> Right
  • Pre-order Traversal: Root -> Left -> Right
  • Post-order Traversal : Left -> Right -> Root

Binary tree:

Inorder Traversal: A, B, C, D, E, F, G, H, I

CUET PG Computer Science Mock Test - 1 - Question 17

While inserting the elements 71, 65, 84, 69, 67, 83 in an empty binary search tree (BST) in the sequence shown, the element in the lowest level is

Detailed Solution for CUET PG Computer Science Mock Test - 1 - Question 17

In a BST, inorder traversal is always sorted.

Hence 67 is at lowest level.

CUET PG Computer Science Mock Test - 1 - Question 18

If f(x) is continuous at x = a then

Detailed Solution for CUET PG Computer Science Mock Test - 1 - Question 18


If f(x) is Continuous at x = a

If f(x) is a continuous function at a point, then it's not necessary that it's inverse will also continuous at the same point.

CUET PG Computer Science Mock Test - 1 - Question 19

Match List - I with List - II.

Choose the correct answer from the options given below :

Detailed Solution for CUET PG Computer Science Mock Test - 1 - Question 19

The correct answer is A - III, B - I, C - IV, D - II
A. Complement

  • Complement is often used in the representation of negative numbers, particularly in binary systems.
  • Correct match: III. Negative number representation

B. Ex-OR

  • Ex-OR (Exclusive OR) gate is commonly used in adder circuits for binary addition.
  • Correct match: I. Adder

C. Accumulator

  • An accumulator is a register in a CPU that stores intermediate arithmetic and logic results.
  • Correct match: IV. Arithmetic and Logic operations

D. Control Unit

  • The control unit is responsible for decoding instructions in a CPU and coordinating the execution of these instructions.
  • Correct match: II. Instruction decoding

Therefore, the correct answer is: A - III, B - I, C - IV, D - II

CUET PG Computer Science Mock Test - 1 - Question 20

Match List-I with List-II

Choose the correct option from those given below:

Detailed Solution for CUET PG Computer Science Mock Test - 1 - Question 20

Concept:

  • File system is the part of the operating system which is responsible for file management. It provides a mechanism to store the data and access to the file contents including data and programs. The File system takes care of the following issues: File Structure, Recovering Free space, Disk space assignment to the files and Tracking data location.
  • Threads refer to the highest level of code executed by a processor, so with many threads, your CPU can handle several tasks at the same time. All CPUs have active threads, and every process performed on your computer has at least a single thread.
  • A virtual address space (VAS) or address space is the set of ranges of virtual addresses that an operating system makes available to a process.
  • an interrupt is an input signal to the processor indicating an event that needs immediate attention. An interrupt signal alerts the processor and serves as a request for the processor to interrupt the currently executing code, so that the event can be processed in a timely manner.

Conclusion:
Disk → File system, CPU → Thread, memory → Virtual address space and Interrupt → Signal
Therefore option 2 is correct

CUET PG Computer Science Mock Test - 1 - Question 21

The boolean expression
Z = A̅B̅C̅D + A̅BCD̅ + AB̅C̅D + ABC̅D̅
can be minimized to?

Detailed Solution for CUET PG Computer Science Mock Test - 1 - Question 21

The correct answer is Z = A̅BCD̅ + B̅C̅D + ABC̅D̅
To minimize the boolean expression Z = A̅B̅C̅D + A̅BCD̅ + AB̅C̅D + ABC̅D̅, let's use the Karnaugh map (K-map) method.

=> ABC̅D̅ + A̅B̅C̅D + AB̅C̅D + A̅BCD̅
=> ABC̅D̅ +
B̅C̅D(A̅ + A) + A̅BCD̅ : (A̅ + A) = 1
=> ABC̅D̅ + B̅C̅D(1) + A̅BCD̅
=> ABC̅D̅ +
B̅C̅D + A̅BCD̅

CUET PG Computer Science Mock Test - 1 - Question 22
Multiprogramming was made possible by:
Detailed Solution for CUET PG Computer Science Mock Test - 1 - Question 22

The correct answer is both (1) and (2).

Key Points

  • Multiprogramming is a method where multiple programs run on a single processor by sharing the CPU time efficiently.
  • It was made possible primarily due to two factors:
    • Input/output units that operate independently of the CPU: This allows the CPU to perform other tasks while waiting for the I/O operations to complete, thereby increasing efficiency.
    • Operating systems: Modern operating systems manage the execution of multiple programs by allocating resources and scheduling tasks efficiently.
  • Both of these advancements work together to enable the concept of multiprogramming.
CUET PG Computer Science Mock Test - 1 - Question 23

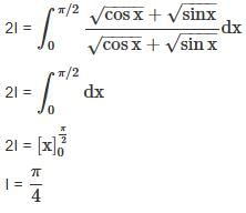
The value of the integral is

Detailed Solution for CUET PG Computer Science Mock Test - 1 - Question 23

Concept:

Calculations:


Adding (1) and (2), we have

CUET PG Computer Science Mock Test - 1 - Question 24

The basic building block of sequential logic circuit is-

Detailed Solution for CUET PG Computer Science Mock Test - 1 - Question 24

Flip Flop:

  • Flip-flops are the basic elements for storing information. They are made of logic gates.
  1. Flip-flops are the basic building block of sequential circuits.
  • Flip-flops can store a 1-bit of information.
  • For flip-flop, its input can affect the output only when the enable signal changes (falling edge or rising edge).

Important Points
In a sequential circuit, the output depends on both the present and the past values. The circuit diagram is as shown:

CUET PG Computer Science Mock Test - 1 - Question 25
A ___________ maintains a database of authorizations based on the security policy of the organisation.
Detailed Solution for CUET PG Computer Science Mock Test - 1 - Question 25

The correct answer is Security administrator.

Key Points

  • A Security administrator is responsible for managing and maintaining the security of an organization's information systems.
  • They maintain a database of authorizations based on the security policy of the organization, ensuring that only authorized users have access to certain resources.
  • The role of a security administrator is critical in preventing unauthorized access and protecting sensitive data.

Additional Information

  • Auditor: An auditor is responsible for examining and evaluating the financial records and operations of an organization to ensure accuracy and compliance with regulations and policies. They do not manage security authorizations.
  • Programmer: A programmer writes and tests the code that makes up software applications. They are not typically responsible for maintaining security authorizations.
  • Reference Monitor: A reference monitor is a concept or theoretical component in the security architecture of a computing system that enforces access control policies. It is not a role but rather a mechanism that a security administrator might use.
CUET PG Computer Science Mock Test - 1 - Question 26

What is number of page faults by least recently used page replacement for a memory with 4 frames for the page reference string 2, 0, 1, 2, 4, 0, 5, 1, 4, 6, 4, 2, 1, 3, 0 ?

Detailed Solution for CUET PG Computer Science Mock Test - 1 - Question 26

Concept:
Least Recently Used (LRU) is a page replacement technique that replaces the least recently used page first from the frame in case of a page miss.
Hit/Miss Table:

M → Miss
H → Hit
Since the number of miss is 10. Therefore, number of page fault is 10.

CUET PG Computer Science Mock Test - 1 - Question 27

Suppose a system has 12 magnetic tape drives and at time t0, three processes are allotted tape drives out of their as given below:

At time t0, the system is in safe state. Which of the following is safe sequence so that deadlock is avoided?
NOTE: Current Need is currently allocated resource to a process

Detailed Solution for CUET PG Computer Science Mock Test - 1 - Question 27

Data:
Remaining Need = Maximum need – Current need

Total resources = 12
Total resources allocated = 5 + 2 + 2 = 9
Available resources = 12 – 9 = 3
Calculation:
Available resource ≥ remaining need of p1
Using 3 resources, p1 gets executed first. It frees 2 resources.
Available resources = 3 + 2 = 5
Available resource ≥ remaining need of p0
Using 5 resources, p0 gets executed first. It frees 5 resources.
Available resources = 5 + 5 = 10
Available resource ≥ remaining need of p2
Now, p2 can be executed easily. Hence, (p1, p0, p2) is a safe sequence.

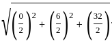
CUET PG Computer Science Mock Test - 1 - Question 28
What is the radius and the center of the circle 2y2 + 2x2 + 12y = 32
Detailed Solution for CUET PG Computer Science Mock Test - 1 - Question 28

Concept:

The general equation of a second-degree curve is

Where a, b, c, f, g, h are constant

If a = b ≠ 0 and h = 0, then it represents a circle.

The general equation for the circle

The radius of that circle = and center

Calculation:

Given equation 2y2 + 2x2 + 12y = 32

⇒ 2y2 + 2x2 + 12y - 32 = 0

Comparing to the general equation of a circle

a = 2, g = 0, f = 6, c = - 32

∴ Center = = (0, -3)

and Radius =

⇒ R =

⇒ R =

⇒ R = = 5

CUET PG Computer Science Mock Test - 1 - Question 29
With reference to computer memory, which of the following Register is also known as Memory Buffer Register?
Detailed Solution for CUET PG Computer Science Mock Test - 1 - Question 29

The correct answer is Memory Data Register

Key Points

  • Register memory is the smallest and fastest memory in a computer and is not a part of the main memory.
    • It is located in the CPU in the form of registers, which are the smallest data-holding elements.
  • A register temporarily holds frequently used data, instructions, and memory addresses that are to be used by the CPU.
  • A memory Data Register (MDR) is a register used for holding the information that is in the process of being transferred from the memory to the central processor.
    • It is also called Memory Buffer Register. Hence option 2 is correct.
  • Memory Data Register contains a copy of the value in the memory location specified by the Memory Address Register (MAR).

Additional Information

  • Memory Address Register or MAR is a temporary storage in CPU or a parallel loading register that contains the next memory address to be read or written.
  • Contents of the MAR are directly connected to the address bus and are used to handle the address transferred to the memory unit.
  • When reading from memory, data addressed by MAR is stored in the Memory Data Register (MDR) and is used by the CPU.
  • When writing to memory, the CPU writes data from MDR to the memory location whose address is stored in MAR.
CUET PG Computer Science Mock Test - 1 - Question 30

In a certain code,
'for profit order now' is written as 'ho ja ye ga'
'right now for him' is written as 'ga ve ja se'
'place order for profit' is written as 'ga bi ho ye'
'only in right order' is written as 've du ye zo'
What does 'bi' stand for?

Detailed Solution for CUET PG Computer Science Mock Test - 1 - Question 30

The code for each word is shown below:

Clearly, here 'bi' stand for 'place'
Hence, the correct answer is "Place".

View more questions
Information about CUET PG Computer Science Mock Test - 1 Page
In this test you can find the Exam questions for CUET PG Computer Science Mock Test - 1 solved & explained in the simplest way possible. Besides giving Questions and answers for CUET PG Computer Science Mock Test - 1, EduRev gives you an ample number of Online tests for practice
Download as PDF