CUET PG Exam  >  CUET PG Tests  >  CUET PG Computer Science Mock Test - 2 - CUET PG MCQ

CUET PG Computer Science Mock Test - 2 - CUET PG MCQ


Test Description

30 Questions MCQ Test - CUET PG Computer Science Mock Test - 2

CUET PG Computer Science Mock Test - 2 for CUET PG 2025 is part of CUET PG preparation. The CUET PG Computer Science Mock Test - 2 questions and answers have been prepared according to the CUET PG exam syllabus.The CUET PG Computer Science Mock Test - 2 MCQs are made for CUET PG 2025 Exam. Find important definitions, questions, notes, meanings, examples, exercises, MCQs and online tests for CUET PG Computer Science Mock Test - 2 below.
Solutions of CUET PG Computer Science Mock Test - 2 questions in English are available as part of our course for CUET PG & CUET PG Computer Science Mock Test - 2 solutions in Hindi for CUET PG course. Download more important topics, notes, lectures and mock test series for CUET PG Exam by signing up for free. Attempt CUET PG Computer Science Mock Test - 2 | 75 questions in 90 minutes | Mock test for CUET PG preparation | Free important questions MCQ to study for CUET PG Exam | Download free PDF with solutions
CUET PG Computer Science Mock Test - 2 - Question 1

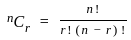
If nC10 = nC15, then 27Cn equals

Detailed Solution for CUET PG Computer Science Mock Test - 2 - Question 1

Given:

nC10 = nC15 -------(1)

Concept:
nCr =

Calculation:

We can write,
nC10 = ------(2)
nC15 = ------(3)

By equation (1) comparing equations (2) and (3), we get

------(4)

Comparing both sides of equation (4), we get

10 = n - 15, and

⇒ 15 = n - 10

⇒ n = 25

Now, 27Cn for n = 25, will be

27C25 = =

27Cn = = = 351

27Cn or 27C25 equals to 351.

CUET PG Computer Science Mock Test - 2 - Question 2

In how many ways can the letters of the word 'HEALING' be arranged so that the vowels always come together?

Detailed Solution for CUET PG Computer Science Mock Test - 2 - Question 2

The word "HEALING" contains 7 letters, of which there are 3 vowels (E, A, I) and 4 consonants (H, L, N, G). When the vowels AEI are always together, they can be supposed to form one letter. Then, we have to arrange the letters HLNAG(AEI).
The number of ways to arrange the HLNAG(AEI) is 5! = 120.
The vowels (AEI) can be arranged among themselves in 3! = 6 different ways.
Therefore, the total number of ways to arrange the letters of 'HEALING' so that the vowels always come together is 120 × 6 = 720.
So, the correct option is 2) 720.

CUET PG Computer Science Mock Test - 2 - Question 3

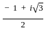
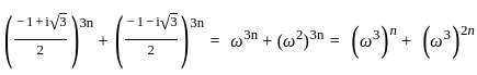
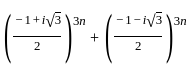
What is the value of ?

Where

Detailed Solution for CUET PG Computer Science Mock Test - 2 - Question 3

Concept:

Cube Roots of unity are 1, ω and ω2

Here, ω = and ω2 =

Property of cube roots of unity

1. ω3 = 1

2. 1 + ω + ω2 = 0

3. ω = 1 / ω 2 and ω2 = 1 / ω

4. ω3n = 1

Calculation:

We know that ω = and ω2 =

= 1 + 1 = 2

CUET PG Computer Science Mock Test - 2 - Question 4

What is the maximum value of sin x ⋅ cos x ?

Detailed Solution for CUET PG Computer Science Mock Test - 2 - Question 4

Concept:
Maximum value of sin x is 1
Maximum value of cos x is 1
sin 2x = 2 sin x cos x
Calculation:
To Find: maximum value of sin x ⋅ cos x
Let f(x) = sin x ⋅ cos x

As we know, the maximum value of sin x is 1
Therefore the maximum value of sin 2x is 1
Hence maximum value of f(x) is

CUET PG Computer Science Mock Test - 2 - Question 5

Select the option that is related to the third word in the same way as the second word is related to the first word.
(The words must be considered as meaningful English words and must not be related to each other based on the number of letters/number of consonants/vowels in the word)
Botany : Plants : : Conchology : ?

Detailed Solution for CUET PG Computer Science Mock Test - 2 - Question 5

The logic followed here is:
Logic: Study of specific natural objects.
Here,
Botany : Plants → Botany is the study of Plants.
Similarly,
Conchology : ShellsConchology is the study of Shells.
Hence, the correct answer is "Option 2".

CUET PG Computer Science Mock Test - 2 - Question 6
What is the value of the determinant
Detailed Solution for CUET PG Computer Science Mock Test - 2 - Question 6

Concept:

If then determinant of A is given by:

  • |A| = a11 × {(a22 × a33) – (a23 × a32)} - a12 × {(a21 × a33) – (a23 × a31)} + a13 × {(a21 × a32) – (a22 × a31)}
  • Elementary row or column transformations do not change the value of the determinant of a matrix.

Calculation:

Given:

Apply R2 → R2 – R1 and R3 → R3 – R1, we get

Expanding along R1, we get

Δ = 1 (x2y2z2 – 0) – 0 + 0

∴ Δ = x2y2z2

CUET PG Computer Science Mock Test - 2 - Question 7
20 percent of the pens produced in a factory are of red colour and 4 percent are red and defective. If one pen is picked up at random, then what is the probability of its being defective if it is red?
Detailed Solution for CUET PG Computer Science Mock Test - 2 - Question 7

Given:

20% of the pens are red,4% pens are red and defective.

Formula used:

Bayes Theorem:- Let E1, E2,... En be n mutually exclusive and exhaustive events associated with a random experiment and let S be the sample space. Let A be any event which occurs together with any one of E1 or E2 or... or En such that P(A) ≠ 0. Then
Bayes Formula:

P(Ei | A) = , i = 1, 2, ... n
Calculation:

Let A be the event that the pens are red

B be the event that the pens are defective

P(A) = =

Probability that the pen is red and defective is:

P(A ∩ B) = =

Probability that the pen is defective, given that it is red,

P() = =

⇒ 0.2

The Correct Answer is 0.2

CUET PG Computer Science Mock Test - 2 - Question 8

Consider the following in respect of matrices A and B of same order:
1) A2 – B2 = (A + B) (A – B)
2) (A – I) (I + A) = O ⇔ A2 = I
Where I is the identity matrix and O is the null matrix.
Which of the above is/are correct?

Detailed Solution for CUET PG Computer Science Mock Test - 2 - Question 8

Concept:

  • Matrix product is commutative if both are diagonal matrices of same order.
    If A and B are diagonal matrices of same order then;
  • The product of any square matrix and the appropriate identity matrix is always the original matrix.
    AI = IA = A
  • I2 = I, Here I is identity matrix.

Calculation:
1. Statement 1 is wrong because A and B are not diagonal matrices of same order.
2. (A – I) (I + A) = O
⇒ AI – I2 + A2 – IA = 0
⇒ - I2 + A2 = 0
⇒ A2 = I2 =I
So, statement 2 is correct.
∴ Option 2 is correct.

CUET PG Computer Science Mock Test - 2 - Question 9

In a certain code language, 'VOCAL' is coded as '90327', 'WAVES' is coded as '31758', 'VOTED' is coded as '42631'. What is the code for 'E' in that code language?

Detailed Solution for CUET PG Computer Science Mock Test - 2 - Question 9

The logic followed here is:​
'VOCAL' is coded as '90327'
'WAVES' is coded as '31758'
'VOTED' is coded as '42631'

Thus, E is coded as 1.
Hence, "Option 1" is the correct answer.

CUET PG Computer Science Mock Test - 2 - Question 10

Which of the following alphanumeric clusters will replace the question mark (?) in the series to make it logically complete?
ACE 9, BDF 12, GIK 27, HJL 30, ?, NPR 48, SUW 63

Detailed Solution for CUET PG Computer Science Mock Test - 2 - Question 10

The position of letters according to the English alphabet series:

The logic follows here is:

Hence, the correct answer is 'Option (2)'.

CUET PG Computer Science Mock Test - 2 - Question 11

If a line is perpendicular to the line 5x – y = 0 and forms a triangle of area 5 square units with co-ordinate axes, then its equation is

Detailed Solution for CUET PG Computer Science Mock Test - 2 - Question 11

 Concept:

  • Equation of a line perpendicular to a given line ax + by + c = 0 is bx - ay + λ = 0, where λ is a constant.
  • The intercept form of the line , Where a is the x- intercept and b is the y- intercept.

Calculation:
Given: Area of triangle is 5 square units
Given equation of line is 5x – y = 0
Equation of a line perpendicular to a given line is
⇒ x + 5y = λ …. (1)

Area of triangle = 5

⇒ λ2 = 50
∴ λ = ± 5√2
Put the value of λ in equation 1st
So, x + 5y = ± 5√2
⇒ x + 5y ± 5√2 = 1 

CUET PG Computer Science Mock Test - 2 - Question 12

Let A and B be subsets of X and C = (A ∩ B’) ∪ (A’ ∩ B), where A’ and B’ are complements of A and B respectively in X. what is C equal to?

Detailed Solution for CUET PG Computer Science Mock Test - 2 - Question 12

Concept:

Let A and B be the subsets of X, then then Venn Diagram to represent that is:

Union of sets (A ∪ B):

Intersection of subsets (A ∩ B):

Complement of subset (A’):

Difference of subsets (A – B):

Calculation:

Let figure given below denotes A and B as subsets of X.

Now, (A ∩ B’) is A intersection not B i.e., (A ∩ B’) = A – (A ∩ B) as shown below.

Similarly, (A’ ∩ B) is B intersection not A i.e., (A’ ∩ B) = B – (A ∩ B) as shown below.

Now, C = (A ∩ B’) ∪ (A’ ∩ B) means (A ∪ B) – (A ∩ B) as shown below.

CUET PG Computer Science Mock Test - 2 - Question 13

For the next two (2) items that follow:
The integral  is of the form
What is r equal to?

Detailed Solution for CUET PG Computer Science Mock Test - 2 - Question 13

Concept:
Sin (A + B) = sin (A) cos (B) + cos (A) sin (B)

Calculation:

Let, a = r sin α and b = r cos α





We have, a = r sin α and b = r cos α
Squaring and adding,


Hence, option (b) is correct.

CUET PG Computer Science Mock Test - 2 - Question 14

Box A contains 2 white and 3 red balls and box B contains 4 white and 5 red balls. One ball is drawn at random from one of the boxes and is found to be red. Then, the probability that it was from box B, is

Detailed Solution for CUET PG Computer Science Mock Test - 2 - Question 14

Concept:
According to Bayes’ theorem, if multiple events Ai form an exhaustive set with another event B.

Where,
Calculation:
Let P(A) be the probability of choosing a ball from box A
P(A) = 1/2
Let P(B) be the probability of choosing a ball from box B
P(B) = 1/2
P(R) be the probability of getting a red ball.
P(R/A) be the probability of getting red given that we are drawing a ball from box A
P(R/A) = 3/5
P(R/B) be the probability of getting red given that we are drawing a ball from box B
P(R/B) = 5/9
From the total probability
P(R) = P(R/A) P(A) + P(R/B) P(B)

Let P(B/R) be the probability of chosen red ball given that it was from box B,

CUET PG Computer Science Mock Test - 2 - Question 15
What is the focus of the parabola x2 = 16y ?
Detailed Solution for CUET PG Computer Science Mock Test - 2 - Question 15

Concept:

Parabola: The locus of a point which moves such that its distance from a fixed point is equal to its distance from a fixed straight line. (Eccentricity = e =1)

Calculation:

Given: x2 = 16y

⇒ x2 = 4 × 4 × y

Compare with standard equation of parabola x2 = 4ay

So, a = 4

Therefore, Focus = (0, a) = (0, 4)

CUET PG Computer Science Mock Test - 2 - Question 16
Out of 15 points in plane, n points are in the same straight line, 445 triangles can be formed by joining these points. What is the value of n?
Detailed Solution for CUET PG Computer Science Mock Test - 2 - Question 16

Concept:

Number of ways to select 3 points out of the n collinear points =

Calculation:

Number of triangles that can be formed is equal to the number of ways to select 3 non-collinear points.

⇒ Number of ways to select 3 points from 15 points = 15c3

Let n points be collinear.

⇒ Number of ways to select 3 points out of the n collinear points = nc3

So, Number of ways to select 3 non-collinear points = (Number of ways to select 3 points using all the points - Number of ways to select 3 points using the collinear points)

⇒ Number of ways to select 3 non-collinear points = 15c3 - nc3

⇒ Number of triangles that can be formed = 15c3 - nc3

⇒ 445 = 15c3 - nc3

nc3 = 15c3 – 445 = 455 – 445 = 10

⇒ n (n – 1) (n – 2) = 60

∴ n = 5

CUET PG Computer Science Mock Test - 2 - Question 17

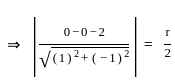
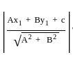
A straight line x = y + 2 touches the circle 4(x2 + y2) = r2. The value of r is

Detailed Solution for CUET PG Computer Science Mock Test - 2 - Question 17

Concept:
Perpendicular Distance of a Point from a Line:

Let us consider a plane given by the Cartesian equation, Ax + By + C = 0
And a point whose coordinate is, (x1, y1)
Now, distance =
Calculation:
Given a straight line x = y + 2 touches the circle 4(x2 + y2) = r2
x = y + 2 ⇒ x – y – 2 = 0
⇒ x2 + y2 = r2/4
Centre = (0, 0)
Radius = r/2

From above figure,
CP = Radius

⇒ r/2 = √2
∴ r = 2√2  

CUET PG Computer Science Mock Test - 2 - Question 18

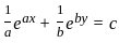
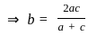
If a, b, c are in AP or GP or HP, then is equal to

Detailed Solution for CUET PG Computer Science Mock Test - 2 - Question 18

Case: 1
If a, b, c are in AP,
Then b – a = c – b
⇒ a – b = b – c

Case: 2
If a, b, c are in GP,
Then
Subtracting 1 from both sides,




Case: 3
If a, b, c are in HP

⇒ ba + bc = 2ac
⇒ ba + bc = ac + ac
⇒ ba – ac = ac – bc
⇒ a (b – c) = c (a – b)

CUET PG Computer Science Mock Test - 2 - Question 19
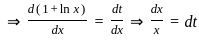
What is equal to (n ≠ 1) ?
Detailed Solution for CUET PG Computer Science Mock Test - 2 - Question 19

Concept:

Calculation:

Let us consider 1 + ln (x) = t.

Now by differentiating both the sides with respect to x, we get

-----(1)

Now by using the equation (1), we get

As we know that,

Now by substituting 1 + ln (x) = t in the above equation we get,

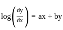
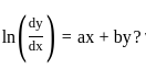
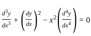
CUET PG Computer Science Mock Test - 2 - Question 20
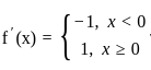
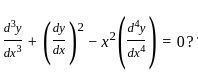
What is the degree of the differential equation
Detailed Solution for CUET PG Computer Science Mock Test - 2 - Question 20

Concept:

The degree of a differential equation is represented by the power of the highest order derivative in the given differential equation.

Calculation:

Given:

For the given differential equation the highest order derivative is 4.

Now, the power of the highest order derivative is 1.

∴ The degree of the given differential equation is 1.

CUET PG Computer Science Mock Test - 2 - Question 21

Three statements are given, followed by three conclusions numbered I, II and III. Assuming the statements to be true, even if they seem to be at variance with commonly known facts, decide which of the conclusions logically follow(s) from the statements.

Statements:

Some fathers are females.

All fathers are males.

Some fathers are mothers.

Conclusions:

I. Some males are not females.

II. Some mothers are females.

III. Some males are mothers.

Detailed Solution for CUET PG Computer Science Mock Test - 2 - Question 21

The least possible Venn diagram for the given statements is as shown below :

Conclusions:

I. Some males are not females → Does not follow (As some fathers are females and all fathers are males. As no direct relation is given between males and females, therefore it is false.)

II. Some mothers are females → Does not follow (As some fathers are females and some fathers are mothers. So it is possible but not definite.)

III. Some males are mothersFollow (As all fathers are males and some fathers are mothers. As whole fathers comes in males and has some part common with mothers, therefore it is true.)

∴ Here, Only conclusion III follows.

Hence, the correct answer is "Option 3".

CUET PG Computer Science Mock Test - 2 - Question 22

Every element in the central column of the matrix has a simple arithmetic relationship with the pairs on the left and right in the corresponding row.

What would be the value of X?

Detailed Solution for CUET PG Computer Science Mock Test - 2 - Question 22

The correct answer is 0
Given:

Every element in the central column of the matrix has a simple arithmetic relationship with the pairs on the left and right in the corresponding row.
The matrix is

Calculation:
We observe that the element in the central column (1, X, 3, 2) is the difference between the sums of the pairs on the left and right in the corresponding row.
For the first row:
(17 - 12) - (23 - 19) = 5 - 4 = 1
For the third row:
(24 - 17) - (36 - 32) = 7 - 4 = 3
For the fourth row:
(35 - 28) - (24 - 19) = 7 - 5 = 2
Now, for the second row:
(23 - 21) - (20 - 18) = 2 - 2 = 0
Therefore, the value of X should be 0

CUET PG Computer Science Mock Test - 2 - Question 23

Given below is a question followed by two statements. Analyze and decide whether the question can be answered from the given statements.
Question: How far is Teddy from his home?
Statement I: Teddy started walking towards the north direction from his home till 11 meters and returned back in the same direction and stopped at the stop after walking for 4 meters.
Statement II: Teddy took a left turn from his school and walked for 5 meters.

Detailed Solution for CUET PG Computer Science Mock Test - 2 - Question 23

Statement I: Teddy started walking towards the north direction from his home till 11 meters and returned back in the same direction and stopped at the stop after walking for 4 meters.

So, this statement is enough for us to understand that Teddy 7 m away from his home.
11 m – 4 m = 7 m
Statement II: Teddy’s school is 5 meters to the south of Teddy’s home.

This statement is not enough for us to predict how far is Teddy from his home.
Hence, “Statement I alone is sufficient” is the correct answer.

CUET PG Computer Science Mock Test - 2 - Question 24

Let X be a non-empty set and let A, B, C be subsets of X, consider the following statements:

1) A ⊂ C ⇒ (A ∩ B) ⊂ (C ∩ B), (A ∪ B) ⊂ (C ∪ B)

2) (A ∩ B) ⊂ (C ∩ B) for all sets B ⇒ A ⊂ C

3) (A ∪ B) ⊂ (C ∪ B) for all sets B ⇒ A ⊂ C

Which of the above statements is/are correct?
Detailed Solution for CUET PG Computer Science Mock Test - 2 - Question 24

Concept:

  1. A ∆ B is the symmetric difference that represents the objects that belong to A or B but not to their intersection.
    • A Δ B = (A ∪ B) - (A ∩ B)
  2. A ⊆ B subset A is a subset of B. set A is included in set B.
  3. A ⋃ B, ⋃ is a union, that represents the objects that belong to set A or set B
  4. A ⋂ B, ⋂ is an intersection, that represents the objects that belong to set A and set B
  5. a ∈ A means x is an element of A, i.e. belongs to set membership

Calculation:

Given: A, B, C be subsets of X

Statement 1: A ⊂ C ⇒ (A ∩ B) ⊂ (C ∩ B), (A ∪ B) ⊂ (C ∪ B)

We know that,

If A ∪ B = A ∪ C and A ∩ B=A ∩ C, then B = C which gives

⇒ A ⊂ C

⇒ A ⊂ C ⇒ (A ∩ B) ⊂ (C ∩ B), (A ∪ B) ⊂ (C ∪ B)

Hence statement 1 is true.

Statement 2: (A ∩ B) ⊂ (C ∩ B) for all sets B ⇒ A ⊂ C

Let A = {1, 2, 3}, B = {3, 4, 5} and C = {1, 3, 6, 7, 8}

⇒ A ∩ B = {3} ⊂ (C ∩ B) but A ⊂ C is not true.

Hence, statement 2 is false.

Statement 3: (A ∪ B) ⊂ (C ∪ B) for all sets B ⇒ A ⊂ C

This is true as (A ∪ B) ⊂ (C ∪ B) for all sets B ⇒ A ⊂ C
CUET PG Computer Science Mock Test - 2 - Question 25

Consider the following statements:

1. f(x) = [x], where [.] is the greatest integer function, is discontinuous at x = n, where n ϵ Z.

2. f(x) = cot x is discontinuous at x = nπ, where n ϵ Z.

Which of the above statements is/are correct?
Detailed Solution for CUET PG Computer Science Mock Test - 2 - Question 25

Concept:

  • The greatest integer function is discontinuous at all the integers.
  • For function to be continuous it should be first defined


Calculation:

Statement (1) is correct as the greatest integer function is discontinuous at all the integers.

2. f(x) = cot x

⇒ f(x) = cos x /sin x

At x = nπ, sin x = 0

∴ cot x is not defined at x = nπ

Hence, cot x is discontinuous at x = nπ

So this statement (2) is correct.

Hence, option (3) is correct.

CUET PG Computer Science Mock Test - 2 - Question 26
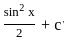
What is the solution of the differential equation
Detailed Solution for CUET PG Computer Science Mock Test - 2 - Question 26

Concept:


Calculation:

Given differential equation is

Integrating both sides, we get

(∵ -c = c)

Hence option 4 is correct.

CUET PG Computer Science Mock Test - 2 - Question 27

Consider the following statements:

1. Derivative of f(x) may not exist at some point.

2. Derivative of f(x) may exist finitely at some point.

3. Derivative of f(x) may be infinite (geometrically) at some point.

Which of the above statements are correct?
Detailed Solution for CUET PG Computer Science Mock Test - 2 - Question 27

Calculation:

Let’s analyze each statement

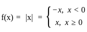
1. Let, f(x) = |x|,

Left hand derivative ≠ Right hand derivative

At x = 0, f’(x) doesn’t exist, so statement 1 is true.

2. Let, f(x) = tan-1(x)

Now, f’(x) = 1/ (1 + x2) = finite value (At some points)

So Derivative of f(x) may exist finitely at some point.

Hence statement 2 is also true

3. We know that derivative of function is undefined at some points it means derivative of f(x) may be infinite (geometrically) at some point.

So, statement 3 is also true

Hence, option (4) is correct.

CUET PG Computer Science Mock Test - 2 - Question 28

From the following figures choose that figure which is different from the other:

Detailed Solution for CUET PG Computer Science Mock Test - 2 - Question 28

Logic:

Here, in all the options except option 4 proper quadrilateral is present inside and outside.

1.  → Here, a quadrilateral is present inside and outside.

2. → Here, a quadrilateral is present inside and outside.

3.→ Here, a quadrilateral is present inside and outside.

4. → Here, a quadrilateral is not present inside and outside.

Hence, option 4 is a different one.

CUET PG Computer Science Mock Test - 2 - Question 29

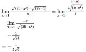
If then what is equal to?

Detailed Solution for CUET PG Computer Science Mock Test - 2 - Question 29

Concept:
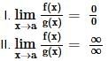
L-Hospital Rule:
Let f(x) and g(x) be two functions
Suppose that we have one of the following cases,

Then we can apply L-Hospital Rule 
Calculation:

Here, we have 0/0 form, so applying L-Hospital Rule,


Hence, option (a) is correct.

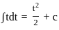
CUET PG Computer Science Mock Test - 2 - Question 30
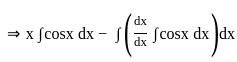
What is ∫ (elog x + sin x) cos x dx equal to?
Detailed Solution for CUET PG Computer Science Mock Test - 2 - Question 30

Concept:

1. Integration by parts:

Integration by parts is a method to find integrals of products

The formula for integrating by parts is given by;

Where u is the function u(x) and v is the function v(x)

2. ILATE Rule:

Usually, the preference order of this rule is based on some functions such as Inverse, Logarithm, Algebraic, Trigonometric and Exponent.

Calculation:

Let I = ∫ (elog x + sin x) cos x dx

(∵ elog x = x)

⇒ I = I1 + I2 .... (1)

Now, I1 =

Applying by parts, we get

⇒ x sin x - + c

⇒ x sin x + cos x + c

Now, I2 =

Let sin x = t

Differentiating with respect to x, we get

⇒ cos x dx = dt

⇒ I2 =

Put the value of I1 and I2 in equation (1), we get

∴ The required integral (I) is .

View more questions
Information about CUET PG Computer Science Mock Test - 2 Page
In this test you can find the Exam questions for CUET PG Computer Science Mock Test - 2 solved & explained in the simplest way possible. Besides giving Questions and answers for CUET PG Computer Science Mock Test - 2, EduRev gives you an ample number of Online tests for practice
Download as PDF