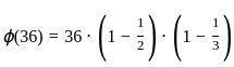
The number of generators of the additive group Z36 is
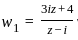
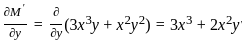
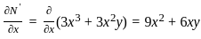
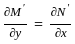
If w = u(x, y) + iv(x, y) is an analytic function of z = x + iy, then dw/dz, equals
If {xn} is a convergent sequence in ℝ and {yn} is a bounded sequence in ℝ, then we can conclude that
For the subset S = {(1, 0, 0), (0, 1, 0), (0, 0, ), (1, 1, 1), (1, 1, 0)} in ℝ3 which of the following is (/are) correct:.
(A) S is a linearly dependent set.
(B) Any three vectors of S are linearly independent.
(C) Any four vectors of S are linearly dependent.
Choose the correct answer from the options given below:
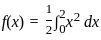
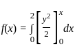
The area of the region bounded by the curves y = ex and x = 1 in the first quadrant is:
If the vector v = (4, 9, 19) as a linear combination of u1 = (1, -2, 3), u2 = (3, -7, 10), u3 = (2, 1, 9), then which one of the following is correct
If C is a skew-symmetric matrix of order n and X is n × 1 column matrix, then XT CX is a
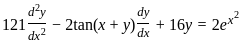
The complete solution of the partial differential equation ∂z/∂y = ln(∂z/∂x) will be
Which one of the following is a Dirichlet condition?
An element α of a ring is said to be nilpotent if ______________.
The series 1/2³ - 1/3³(1+2) + 1/4³(1+2+3) - 1/5³(1+2+3+4) + ... ∞ is
For an analytic function f(z) on domain D which of the following is(/ are) correct:
(A) if Real part of f(z) is constant then f(z) is constant function.
(B) If |f(z)| is a non zero constant in D, then f(z) is constant function in D.
(C) If f'(z) = 0 everywhere in D then f(z) is constant function in D
(D) if |f(z)| is a non zero constant in D, then f(z) is constant only some z in D.
Choose the correct answer from the options given below:
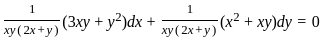
Which among the following are the integrating factors of the differential equation 3xy + y2 + (x2 + xy) = 0
(A) x
(B) x2
(C) 3x
(D)
Choose the correct answer from the options given below:
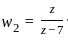
Determine the nature of the transformation of the expressions
(A) w2 is hyperbolic
(B) w1 is parabolic
(C) w2 is loxodromic
(D) w1 is loxodromic
Choose the correct answer from the options given below:
Which of the following statements is necessarily true for a commutative ring R with unity?
Consider the following statements where X and Y are nxn matrices with real entries then which of the following is(/ are) correct::
(A) If P-1XP is diagonal matrix for some real invertible matrix P, then there exists a basis for Rn consisting of eigenvectors of X.
(B) If X is diagonal matrix with distinct diagonal entries and XY = YX, then Y is also diagonal matrix.
(C) If X2 is diagonal matrix, then X is diagonal matrix.
(D) If X is diagonal matrix and XY = YX for all Y, then X = λ| for some λ ∈ R
Choose the correct answer from the options given below
Match List - I with List - II
Choose the correct answer from the options given below:
Which of the following is/are) correct:
A. If U = x2 - y2 is real part of an analytic function f(z) then analytic function f(z) = z + c
B. Zeros of cosz is , where n = 1, 2, 3,
C. If f is entire and bounded for all values of z in the complex plane, then f(z) is constant throughout the plane.
D. = πi, where |z| =
Choose the correct answer from the options given below:
Which of the following statements is/are correct?
(A) A closed set either contains an interval or else is nowhere dense.
(B) The derived set of a set is closed.
(C) The union of a arbitrary family of closed sets is closed.
(D) The set R of real numbers is open as well as closed.
Choose the correct answer from the options given below:
If A is a 3 × 3 non-singular matrix such that, AAT = AT A and B = A-1 AT, then BBT = ?
Which of the following are true?
(A) Let G = <a> be a cyclic group of order n, then G = <ak> if and only if gcd(k, n) = 1
(B) Let G be a group and let a be an element of order n in G. If ak = e, then n divides k.
(C) The centre of a group G may not be a subgroup of the group G.
(D) For each 'a' in a group G, the centralizer of 'a' is a subgroup of group G
Choose the correct answer from the options given below:
Let A be an n × n matrix with rank r(0 < r < n). Then Ax = 0 has p independent solutions, where p is