CUET PG Exam  >  CUET PG Tests  >  CUET PG Mathematics Mock Test - 2 - CUET PG MCQ

CUET PG Mathematics Mock Test - 2 - CUET PG MCQ


Test Description

30 Questions MCQ Test - CUET PG Mathematics Mock Test - 2

CUET PG Mathematics Mock Test - 2 for CUET PG 2025 is part of CUET PG preparation. The CUET PG Mathematics Mock Test - 2 questions and answers have been prepared according to the CUET PG exam syllabus.The CUET PG Mathematics Mock Test - 2 MCQs are made for CUET PG 2025 Exam. Find important definitions, questions, notes, meanings, examples, exercises, MCQs and online tests for CUET PG Mathematics Mock Test - 2 below.
Solutions of CUET PG Mathematics Mock Test - 2 questions in English are available as part of our course for CUET PG & CUET PG Mathematics Mock Test - 2 solutions in Hindi for CUET PG course. Download more important topics, notes, lectures and mock test series for CUET PG Exam by signing up for free. Attempt CUET PG Mathematics Mock Test - 2 | 75 questions in 90 minutes | Mock test for CUET PG preparation | Free important questions MCQ to study for CUET PG Exam | Download free PDF with solutions
CUET PG Mathematics Mock Test - 2 - Question 1

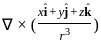
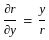
If a vector ​ is solenoidal then values of 'a' is

Detailed Solution for CUET PG Mathematics Mock Test - 2 - Question 1

Concept:

A vector field is solenoidal if its divergence is zero

∇ • A = 0

where: ∇ is the del operator (gradient operator) and A is the vector field

Explanation:

Given

where ∇ = ∂/∂x î + ∂/∂y ĵ + ∂/∂z k̂

⇒ -4 + 1 + a = 0

⇒ a = 3

Hence Option(3) is the correct answer.

CUET PG Mathematics Mock Test - 2 - Question 2

If R is the radius of convergence, then what's the condition of absolutely convergence of the power series?

Detailed Solution for CUET PG Mathematics Mock Test - 2 - Question 2

If R is the radius of convergence of ∑ aₙxⁿ then the series converges when |x| < R.
(1) is correct.

CUET PG Mathematics Mock Test - 2 - Question 3

[a, b) is

Detailed Solution for CUET PG Mathematics Mock Test - 2 - Question 3

Explanation:

Open Interval: An open interval does not include its endpoints and is indicated with parentheses.

For example, the interval (a, b) includes all real numbers between a and b but does not include a and b themselves.

Closed Interval: A closed interval includes both endpoints, and is indicated with square brackets.

For instance, the interval [a, b] includes all real numbers between a and b and the numbers a and b themselves.

Semi-Open or Semi-Closed Interval: These are intervals that include one endpoint but not the other.

For semi-open, the interval (a, b] includes all real numbers between a and b and includes b but not a.

For semi-closed, the interval [a, b) includes all real numbers between a and b and includes a but not b.

Hence, [a, b) is Semi closed set.

CUET PG Mathematics Mock Test - 2 - Question 4

If f(z) = u + iv is an analytic function, in domain D, then the curves u = constant, v = constant form two _______ families?

Detailed Solution for CUET PG Mathematics Mock Test - 2 - Question 4

Given, f(z) = u + iv is an analytic function in domain D, then the curves u = constant, v = constant.
We know that two curves are orthogonal when the product of their slopes is -1, m₁.m₂ = -1, so we need to prove that the slope of these two curves is -1.
Say u = c₁, v = c₂ and du = 0, dv = 0.
We know that,
du = (∂u / ∂x) dx + (∂u / ∂y) dy ------- (1)
and
dv = (∂v / ∂x) dx + (∂v / ∂y) dy ------- (2)
We have du = 0 and dv = 0.
Put these values in equation 1 and 2.
So, by 1) we get dy / dx = -(∂u / ∂x) / (∂u / ∂y) say m₁.
So, by 2) we get dy / dx = -(∂v / ∂x) / (∂v / ∂y) say m₂.
By using Cauchy-Riemann equation uₓ = vᵧ, uᵧ = -vₓ, we get m₁ . m₂ = -1.
Therefore, Correct Option is Option 2.

CUET PG Mathematics Mock Test - 2 - Question 5

Maclaurin's series expansion for the function f(x) = x e-x is:

Detailed Solution for CUET PG Mathematics Mock Test - 2 - Question 5

Concept:
Maclaurin's series expansion for a function f(x) is given by
f(x) = f(0) + x f'(0) + x² f''(0) / 2! + x³ f'''(0) / 3! + ...
which is nothing but Taylor series expansion about x = 0.Now,
f(x) = x e-x ⇒ f(0) = 0
f'(x) = ex + x(-1)e-x = e-x(1 - x)) ⇒ f'(0) = 1
f''(x) = e-x(-1) + (1 - x)(-1)e-x = ex - 2 ⇒ f''(0) = -2
f'''(x) = ex(1) + (x - 2)(-1)e-x = ex - 3 ⇒ f'''(0) = 3
⇒ f(x) = x e-x = 0 + x(1) + x²/2!(-2) + x³/3!(3)
x e-x = x - x² + x³/2! + ...

CUET PG Mathematics Mock Test - 2 - Question 6

Which of the following is a subspace of the real vector space ℝ3 ?

Detailed Solution for CUET PG Mathematics Mock Test - 2 - Question 6

Concept:
Two Step test for subspace
Let V be a vector space over a field ℝ
Let U be a non-empty subset of V such that
(i) zero vector belongs to U
(ii) ∀ u ∈ U, λ ∈ ℝ then, λu ∈ U
(iii) ∀ u, v ∈ U, u + v ∈ U
Explanation-
Option (1): Let U = {(x, y, z) ∈ R³ : (y + z)² + (2x - 3y)² = 0}
(i) (0, 0, 0) ∈ R³, (0 + 0)² + (0 - 0)² = 0
So, zero vector belongs to vector space.
(ii) Let a ∈ R, a(x, y, z) = (ax, ay, az) ∈ R³
(ay + az)² + (2ax - 3ay)² = a²((y + z)² + (2x - 3y)²) = a².0 = 0
So a(x, y, z) ∈ U
(iii) Let u = (x₁, y₁, z₁) and v = (x₂, y₂, z₂)
u + v = (x₁ + x₂, y₁ + y₂, z₁ + z₂)
Now, Check if u + v belongs to vector space
(y₁ + y₂ + z₁ + z₂)² + (2(x₁ + x₂) − 3(y₁ + y₂))² = 0
(y₁ + y₂)² + (z₁ + z₂)² + (x₁ + y₁)(x₁ + y₂)(x₁ + x₂) + 4(x₁ + x₂)² + 9(y₁ + y₂)² −12(x₁ + x₂)(y₁ + y₂) = 0
Therefore, u + v ∈ U
Hence it is a vector space.
(1) is correct
Option (2): Let U = {(x, y, z) ∈ R³ : y ∈ Q}
Scalar multiplication does not hold
√2(x, y, z) ∈ R³ but √2y ∉ Q
Hence it is not a vector space
(2) is false
Option (3): U = {(x, y, z) ∈ R³ : yz = 0}
Let u = (0, 1, 0) then y.z = 0
v = (0, 0, 1) then y.z = 0
So u, v ∈ U
but u + v = (0, 1, 1) ∉ U as y.z = 1.1 = 1 ≠ 0
Hence, it is not a vector space.
(3) is false
Option (4): U = {(x, y, z) ∈ R³ : x + 2y − 3z + 1 = 0}
0 + 0 + 0 + 1 ≠ 0
So zero vector does not belong to U
Hence, it is not a vector space.
(4) is false

CUET PG Mathematics Mock Test - 2 - Question 7
Which of the following statement is not correct?
Detailed Solution for CUET PG Mathematics Mock Test - 2 - Question 7

Given:

1. Every convergent sequence is bounded.
2. Every infinite bounded sequence has a limit point.
3. In the field of real numbers, a sequence is convergent if and only if it is a Cauchy sequence.
4. A bounded sequence which does not converge has a unique limit point.

Explanation:

Statement 1:

In a metric space like

every convergent sequence is bounded.

Statement 1 is correct.

Statement 2:

By the Bolzano-Weierstrass theorem,

every bounded infinite sequence in has a limit point.

Statement 2 is correct.

Statement 3:

In , a sequence is convergent if and only if it is Cauchy.

Statement 3 is also correct.

Statement 4:

A bounded sequence that does not converge can have more than one limit point

(consider, for example, a sequence that oscillates between two points).

The sequence ⟨⟩=⟨−1,1,−1,1,−1,1,…⟩ is an example of a bounded sequence that oscillates finitely.

It has two limit point -1 and 1.

Hence Statement 4 is not correct.

Answer: The incorrect statement is Option 4.

CUET PG Mathematics Mock Test - 2 - Question 8
Consider the function f(x) = |x| in the interval -1 ≤ x ≤ 1. At the point x = 0, f(x) is
Detailed Solution for CUET PG Mathematics Mock Test - 2 - Question 8

Concept:

A function f(x) is continuous at x = a if,

Left limit = Right limit = Function value = Real and finite

A function is said to be differentiable at x =a if,

Left derivative = Right derivative = Well defined

Calculation:

Given:

f(x) = |x|

|x| = x for x ≥ 0

|x|= -x for x < 0

At x = 0

Left limit = 0, Right limit = 0, f(0) = 0

As

Left limit = Right limit = Function value = 0

|X| is continuous at x = 0.

Now

Left derivative (at x = 0) = -1

Right derivative (at x = 0) = 1

Left derivative ≠ Right derivative

∴ |x| is not differentiable at x = 0

CUET PG Mathematics Mock Test - 2 - Question 9

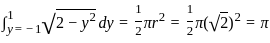
The parabolic arc y = √x, 1 ≤ x ≤ 2 is revolved around the x-axis. The volume of the solid of revolution is

Detailed Solution for CUET PG Mathematics Mock Test - 2 - Question 9

Concept:
Revolution about x-axis: The volume of the solid generated by the revolution about the x-axis, of the area bounded by the curve y = f(x), the x-axis, and the ordinates x = a and x = b is
V = ∫ₐᵇ πy² dx
Similarly for revolution about y-axis:
V = ∫ πx² dy
Calculation:
Given:

V = ∫₂¹ πy² dx
V = 3π/2
Hence the required volume will be 3π/2.

CUET PG Mathematics Mock Test - 2 - Question 10
Let S be any set then Derived set of S is
Detailed Solution for CUET PG Mathematics Mock Test - 2 - Question 10

Explanation:

We know that Derived set of any set S is always closed set.

(3) is correct

CUET PG Mathematics Mock Test - 2 - Question 11

If A = and A + A' = I, then the value of α is

Detailed Solution for CUET PG Mathematics Mock Test - 2 - Question 11

Solution:
A' = where, A' is the transpose of the matrix
A =

A + A' = =
By comparing 2cosα = 1
⇒ cosα = 1/2
⇒ α = cos-1(1/2)
⇒ α = π/3

CUET PG Mathematics Mock Test - 2 - Question 12

If f(x) = x|x| and g(x) = x | cos x | Then at x = 0

Detailed Solution for CUET PG Mathematics Mock Test - 2 - Question 12

f(x) = |x|
Using definition of differentiability, f'(0) = limₓ→₀ (f(x) - f(0)) / (x - 0) = limₓ→₀ |x| / |x| = 0.
f is differentiable.
g(x) = |x| cos x
|cos x| = { cos x, x < 0; cos x, x ≥ 0}
Now |x| cos x = { cos x, x < 0; x cos x, x ≥ 0}
So, LHD = limₓ→₀ (x cos x) / (x - 0) = limₓ→₀ (cos x) = 1
RHD = limₓ→₀ (x cos x) / (x - 0) = limₓ→₀ (cos x) = 1
As LHD = RHD at x = 0, so g(x) is differentiable at x = 0.
(3) correct.

CUET PG Mathematics Mock Test - 2 - Question 13

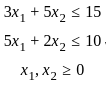
The LPP maxz = 2.5x1 + x2 subjected to contraints has

Detailed Solution for CUET PG Mathematics Mock Test - 2 - Question 13

1) Identify the Feasible Region

The feasible region is given by the intersection of all these half-planes (plus nonnegativity constraints). We typically look at corner points to find the maximum or minimum in a linear program.


2) Find Corner Points

a) Intersection with x₁ = 0

  • From (1): 3(0) + 5x₂ ≤ 15 ⟹ x₂ ≤ 3.
  • From (2): 5(0) + 2x₂ ≤ 10 ⟹ x₂ ≤ 5.
    The tighter bound is x₂ ≤ 3.
    So one corner is (0, 3).

b) Intersection with x₂ = 0

  • From (1): 3x₁ + 5(0) ≤ 15 ⟹ x₁ ≤ 5.
  • From (2): 5x₁ + 2(0) ≤ 10 ⟹ x₁ ≤ 2.
    The tighter bound is x₁ ≤ 2.
    So another corner is (2, 0).

c) Intersection of the two lines

{3x1+5x2=155x1+2x2=10{3x1​+5x2​=155x1​+2x2​=10​

Solve systematically:

  1. From the first equation:
    3x₁ = 15 − 5x₂ ⟹ x₁ = (15 − 5x₂)/3.

  2. Substitute into the second equation:
    5\bigl(\tfrac{15 − 5x₂}{3}\bigr) + 2x₂ = 10
    ⇒ (75 − 25x₂)/3 + 2x₂ = 10
    ⇒ 75 − 25x₂ + 6x₂ = 30 (after multiplying both sides by 3)
    ⇒ 75 − 19x₂ = 30
    ⇒ −19x₂ = −45
    ⇒ x₂ = 45/19.

  3. Then x₁ = (15 − 5·(45/19))/3 = (15 − 225/19)/3 = (285/19 − 225/19)/3 = (60/19)/3 = 20/19.

Hence the intersection point is (20/19, 45/19).

d) Also check (0,0)

  • That obviously satisfies 3(0) + 5(0) ≤ 15 and 5(0) + 2(0) ≤ 10, so (0,0) is in the feasible region.

So the corner points are (0,0), (0,3), (2,0), and (20/19, 45/19).


3) Evaluate the Objective Function at Each Corner

The objective function is
z = 2.5x₁ + x₂.

  1. At (0,0):
    z = 2.5(0) + 0 = 0.

  2. At (0,3):
    z = 2.5(0) + 3 = 3.

  3. At (2,0):
    z = 2.5(2) + 0 = 5.

  4. At (20/19, 45/19):
    z = 2.5 × (20/19) + (45/19).

    • 2.5 × (20/19) = 50/19,
    • so total = (50/19) + (45/19) = 95/19 = 5.

Thus, the maximum objective value is 5, attained at both (2,0) and (20/19, 45/19).


4) Check for Multiple Optimal Solutions

Since the same maximum value z = 5 occurs at two distinct corner points, it typically indicates that every point on the line segment between those two points will also yield z = 5. Indeed, if you pick any point on the line segment connecting (2,0) and (20/19, 45/19), you get the same objective value 5.

Therefore, the maximum value of z is unique (that is, 5), but there are infinitely many solutions (an entire line segment in the feasible region) that achieve this maximum.


Conclusion

The correct characterization is:

Unique value of Maxz with infinite number of feasible solutions.

Hence, among the provided choices, that corresponds to:

(a) Unique value of Maxz with infinite number of feasible solution.

CUET PG Mathematics Mock Test - 2 - Question 14
Ler F be a field of order 16384 then the number of proper subfields of F is:
Detailed Solution for CUET PG Mathematics Mock Test - 2 - Question 14

Concept:

For a finite field of order pn (where p is a prime and n is a positive integer), the proper subfields correspond to the divisors of n .

Given:

Let F be a field of order 16384.

To find : The number of proper subfields of F

Explanation:

The order of F , which is 16384 , is a power of 2 (since 16384 = 214 ).

For a finite field of order pn (where p is a prime and n is a positive integer), the proper subfields correspond to the divisors of n .

Here, n = 14 ,

so we find the divisors of 14 = 1, 2, 7 .

Each divisor represents a subfield with order 2d where d is a divisor of 14 ,

except for d = 14 itself (which would give the field F itself, not a proper subfield).

Thus, the number of proper subfields is the number of divisors of 14 excluding 14 itself, which gives 3 proper subfields.

Answer: The number of proper subfields of F is 3.

Hence Option(2) is the correct answer.

CUET PG Mathematics Mock Test - 2 - Question 15

Consider the shaded triangular region P shown in the figure. What is ∫∫ P xy dx dy ?

Detailed Solution for CUET PG Mathematics Mock Test - 2 - Question 15


The equation of line in intercept form is given by
(x / 2) + (y / 1) = 1
⇒ y = 1 - x / 2 ⇒ x = 2 - 2y
∫₀¹ ∫₀²⁻²y (xy dx) dy = ∫₀¹ ∫₀(y² / 2) (y² - 2y) dy
= ∫₀¹ y / 2 (2 - 2y)² dy
= ∫₀¹ 2y(1 - y)² dy = ∫₀¹ (2y - 4y² + 2y³) dy
= [y² - 4/3 y³ + y⁴ / 2]₀¹ = 1 / 6

CUET PG Mathematics Mock Test - 2 - Question 16

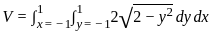
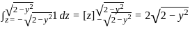
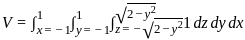
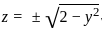
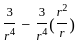
If the volume of the solid in R3 bounded by the surfaces x = -1, x = 1, y = -1, y = 1, z = 2, y2 + z2 = 2 is a - π, then a is equal to

Detailed Solution for CUET PG Mathematics Mock Test - 2 - Question 16

The solid is bounded by:
1. x = -1, x = 1,
2. y = -1, y = 1,
3. z2 = 2 - y2, which implies
The volume of the solid is determined by integrating z (from the lower surface to the upper surface) over the region in the x - y -plane
The volume can be expressed as:

Integral with respect to z :

Substituting this into the integral:

Since the integrand is independent of x , the x -integral simplifies:

Thus:
The integral represents the area of a semicircle with radius
Using the formula for the area of a semicircle:

V = 4 • π = 4π
Given V = a - π 
Equating:
4π = a - π ⇒​​​​​​​ a = 4π​​​​​​​ + π​​​​​​​ = 5π
The value of a is 5
Hence Option (1) is the correct answer.
In Official Answer key of CUET, this question was Drop. We changed option according to our convenience.

CUET PG Mathematics Mock Test - 2 - Question 17

The term "shadow price" in linear programming is:

Detailed Solution for CUET PG Mathematics Mock Test - 2 - Question 17

Concept:
Shadow Price:

In linear programming, the shadow price of a constraint is the amount the objective function value changes when the right-hand side of the constraint changes by one unit. It's the marginal value or opportunity cost of relaxing or tightening the constraint.
Hence Option (3) is the Correct Answer .

Other Facts:

  1. The shadow price represents the maximum premium a firm should pay for an extra unit of a constraint.
  2. Non-critical constraints have zero shadow prices because slack already exists.
  3. The shadow price is the value of the Lagrange multiplier at the optimal solution.
  4. The shadow prices of the constraints of a primal LP problem are equal to the optimal values of the dual variables.
  5. Companies can use shadow pricing and cost-benefit analysis to make decisions.

For example, a company might assign a shadow price to estimate the monetary benefit of changing its shipping policy.
The company would then compare the shadow price to the extra shipping cost to determine if the change would be beneficial.

CUET PG Mathematics Mock Test - 2 - Question 18

The function f(z) = |Z|2 ​is

Detailed Solution for CUET PG Mathematics Mock Test - 2 - Question 18

Concept:
Continuity: The function f(z) = |z|2 = x2 + y2 is a polynomial in x and y,
which are continuous functions.
Therefore, f(z) is continuous everywhere in the complex plane.
Differentiability: To check differentiability, we can use the Cauchy-Riemann equations:
∂u/∂x = ∂v/∂y
∂u/∂y = -∂v/∂x
Explanation:
Here, u(x, y) = x2 + y2 and v(x, y) = 0 (since f(z) is real-valued).
Calculating the partial derivatives:
∂u/∂x = 2x
∂u/∂y = 2y
∂v/∂x = 0
∂v/∂y = 0
The C-R equations are satisfied only at the origin (0,0).
Therefore, f(z) is differentiable only at the origin.
Option 2: Continuous everywhere but differentiable only at the origin (Z = 0):
This option is correct based on the analysis above.
Option 3: Discontinuous at the origin and differentiable everywhere except at the origin (Z = 0):
This is incorrect because f(z) is continuous everywhere, as explained earlier.
Option 4: Nowhere differentiable and nowhere continuous:
This is also incorrect because f(z) is continuous everywhere.
Therefore, the correct answer is Option 2.
Continuous everywhere but differentiable only at the origin (Z = 0).

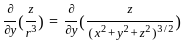
CUET PG Mathematics Mock Test - 2 - Question 19

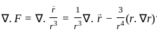
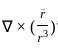
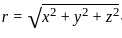
Divergence of the vector field x²z î + x y ĵ - yz² k̂ at (1, -1, 1) is

Detailed Solution for CUET PG Mathematics Mock Test - 2 - Question 19

Concept:
The divergence of the given vector field,
div F = ∇ · F . . . (1)
Calculation:
Given:
F = x²z î + x y ĵ - yz² k̂Using equation (1),
⇒ ∇ · F = (î ∂/∂x + ĵ ∂/∂y + k̂ ∂/∂z) · F
⇒ ∇ · F = 2xz + x - 2xyz
∴ div F at (1, -1, 1) = 2 + 1 + 2 = 5

CUET PG Mathematics Mock Test - 2 - Question 20

The specific integral of the equation (D2 - D'2 + D - D') Z = e2x+3y will be _______.

Detailed Solution for CUET PG Mathematics Mock Test - 2 - Question 20

Concept:
If Pde is of the form ϕ(D, D') z = e^(ax + by).
Then PI = 1 / ϕ(D, D') (e^(ax + by)) = 1 / ϕ(a, b)
Explanation:
(D² - D² + D - D') Z = e^(2x + 3y)
PI = 1 / (D² - D² + D - D') e^(2x + 3y)
PI = 1 / (4 - 9 + 2 - 3) e^(2x + 3y)
PI = -1 / 6 e^(2x + 3y)
Hence, (1) option is true

CUET PG Mathematics Mock Test - 2 - Question 21
Let A be a 3 × 3 real matrix whose characteristic polynomial p(T) is divisible by T2. Which of the following statements is true?
Detailed Solution for CUET PG Mathematics Mock Test - 2 - Question 21

Explanation:

Characteristic polynomial p(T) is divisible by T2.

p(x)/x2

So p(x) = x2(x + a) where a can be zero also

Option (1): Let A = Here 0 and a are the eigenvalues and eigenspace of A for 0 is 1

So option (1) is false

Here A is 3 × 3 matrix and two eigenvalues are 0, 0. Since complex eigenvalue are always complex conjugate and they are in pairwise. So here third eigenvalue must be real.

Option (2) is correct

For A = , A3 ≠ 0

Option (3) is false

also AM of eigenvalue 0 is 2 and GM of eigenvalue 0 is 1

Since AM ≠ GM so not diagonalizable.

Option (4) is false

CUET PG Mathematics Mock Test - 2 - Question 22

What is cofactor of 7 for the determinant given below:

Detailed Solution for CUET PG Mathematics Mock Test - 2 - Question 22

Concept:
Let us assume a determinate A , whose elements are given below:
A =  ,
then co-factor of the element a31 of determinate A is given by:
 C₃₁ = (−1)³ + 1 = 

Solution:
Given, determinate A =

Cofactor of 7 for the determinate A is given by;
C₃₁ = (−1)³ + 1 | −2 4
1 0
⇒ (−1)⁴ × (−2 × 0 − 1 × 4) = −4

CUET PG Mathematics Mock Test - 2 - Question 23

The solution of the differential equation (x + y)² (dy/dx) = a² is ________

Detailed Solution for CUET PG Mathematics Mock Test - 2 - Question 23

Concept:
Variable Separable Method:
Consider the first-order differential equation,
P(y) (dy/dx) = Q(x), where Q(x) and P(y) are functions involving x and y only, respectively.
We can solve this by separating variables:
P(y) (dy/dx) = Q(x) ⇒ ∫ P(y) dy = ∫ Q(x) dx
Calculation:
Given, (x + y)² (dy/dx) = a²
Let, x + y = t
⇒ 1 + (dy/dx) = (dt/dx)
⇒ (dy/dx) = (dt/dx) - 1
∴ The differential equation becomes, t² (dt/dx - 1) = a²
⇒ (dt/dx) - 1 = a²/t²
⇒ (dt/dx) = a²/t² + 1 = (a² + t²)/t²
⇒ (dt/dx) = (t² + t²)/(a² + t²)
⇒ (1 - (a² + t²))
∫ (1 - a² / a² + t²) dt = ∫ dx
⇒ ∫ 1 dt - a² ∫ 1 / (a² + t²) dt = ∫ dx
⇒ t - a² × (1/a) tan⁻¹(t/a) = x + c
⇒ x + y - a tan⁻¹((x + y) / a) = x + c
⇒ y - a tan⁻¹((x + y) / a) = c
⇒ tan⁻¹((x + y) / a) = (y - c) / a
⇒ (x + y) / a = tan((y - c) / a)
⇒ y + x = a tan((y - c) / a), where c is the constant of integration.
∴ The solution of the given differential equation is (y + x) = a tan((y - c) / a).
The correct answer is Option 1.

CUET PG Mathematics Mock Test - 2 - Question 24
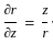
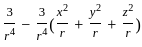
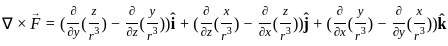
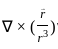
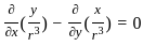
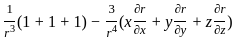
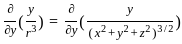
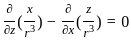
Vector where and will be
Detailed Solution for CUET PG Mathematics Mock Test - 2 - Question 24

Concept:

(i) Irrotational if

(ii) is solenoidal

(iii)

Explanation:

=

As,

Similarly, ,

=

=

=

Now, = =

=

Now,

=

Similarly, =

Similarly, &

=0

CUET PG Mathematics Mock Test - 2 - Question 25

Find
lim (x → 0) (sin(ax) / bx)

Detailed Solution for CUET PG Mathematics Mock Test - 2 - Question 25

Concept:
L’ hospital’s Rule: For (0/0), (∞ /∞) form of limits
If suppose,
lim (x → a) f(x) / g(x) = 0 / 0 OR lim (x → a) f(x) / g(x) = ±∞
Then we apply L'Hospital's Rule,
lim (x → a) f(x) / g(x) = lim (x → a) f'(x) / g'(x)
Calculation:
To avoid indeterminate form we can re-write the given limit as:
lim (x → 0) sin(ax) / bx = lim (x → 0) log(sin(ax) / ax) / log(ax / bx)
= log(sin(ax) / ax) / log(ax / bx)
= 1 / a / b = a / b
Alternate Solution:
lim (x → 0) sin(ax) / bx = 0 / 0
As we know that, if lim (x → a) f(x) / g(x) = 0 / 0 OR lim (x → a) f(x) / g(x) = ±∞,
then by applying L'Hospital's Rule we get,
lim (x → 0) sin(ax) / bx = lim (x → 0) a x cos(ax) / b = a / b * 1 = a / b

CUET PG Mathematics Mock Test - 2 - Question 26

The vector that is normal to the surface 2xz2 – 3xy – 4x = 7 at the point (1, -1, 2) is

Detailed Solution for CUET PG Mathematics Mock Test - 2 - Question 26

Concept:
A vector normal to the surface f is grad f or ∇f
grad f or ∇f is defined by the equation,
grad f = ∇f = î ∂f / ∂x + ĵ ∂f / ∂y + k̂ ∂f / ∂z
Calculation:
Given surface f = 2xz2 – 3xy – 4x – 7
∂f / ∂x = 2x² - 3y - 4
∂f / ∂y = -3x
∂f / ∂z = 4xz
∇f = î (2x² - 3y - 4) + ĵ (-3x) + k̂ (4xz)
At point (1, -1, 2),
∇f = î (2(2)² - 3(-1) - 4) + ĵ (-3(1)) + k̂ (4(1)(2)) = 7î - 3ĵ + 8k̂

CUET PG Mathematics Mock Test - 2 - Question 27

Does C-R equations are necessary and sufficient for a function to be analytic?

Detailed Solution for CUET PG Mathematics Mock Test - 2 - Question 27

u(x, y) = √xy , v(x, y) = 0
CR equation states that
∂u/∂x = ∂v/∂y , ∂v/∂x = − ∂u/∂y ,
Here ux(0, 0) = lim h→0 (u(0 + h, 0) − u(0, 0))/h = 0, uy(0, 0) = lim k→0 (u(0, 0 + k) − u(0, 0))/k = 0.
vx(0, 0) = 0 and vy(0, 0) = 0
Hence, CR Equation is satisfied but Function is not Analytic
Since, Limit of this function along y = mx not Exist
∴ CR equation is only Necessary Condition but Not Sufficient
Hence, Option 1 is Correct.

CUET PG Mathematics Mock Test - 2 - Question 28

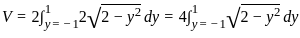
The volume generated by revolving the area bounded by parabola y2 = 4x and straight line x = 3 about y-axis is

Detailed Solution for CUET PG Mathematics Mock Test - 2 - Question 28

Concept:
We know the formula of the volume generated by the given parabola,
V = ∫c d πx² dy
Here, y² = 4x and the straight line x = 3
∴ y² = 12
y = -2√3 to 2√3
The volume of solid revolution of the arc x = 3, around the y-axis between y = -2√3 to y = 2√3 is
V1 = ∫c d πx² dy
V1 = ∫₂√₃ -₂√₃ π(3)² dy
V1 = 9π(y)²√₃ -2√₃
V1 = 9π(2√₃ + 2√₃)
V1 = 36√3π
The volume of solid revolution of the arc x = y² / 4, around the y-axis between y = -2√3 to y = 2√3 is
V2 = ∫c d πx² dy
V2 = ∫₂√₃ -₂√₃ π(y² / 4)² dy
V2 = 2 ∫₂√₃ 0 π(y⁴ / 16) dy
V2 = 2π / 16 ∫₂√₃ y⁵ dy
V2 = π / 40 [2√3]⁵
V2 = 36√3π / 5
The volume generated by revolving the area, V = V1 - V2
V = 36√3π / 5 - 36√3π / 5
V = 36√3π (1 - 1 / 5)
V = 36√3π(4 / 5)
V = 144√3π / 5

CUET PG Mathematics Mock Test - 2 - Question 29
If the contour is closed and does not intersect itself, then it is called ________ curve.
Detailed Solution for CUET PG Mathematics Mock Test - 2 - Question 29

Solution -

Option 1- Open curves are curves which are not bounded by all sides.

Option 2- A bell-shaped curve is called Iternary

Option 3- If the contour is closed and does not intersect itself, then it is called as Jordan curve.

Option 4- Binary is an Operation which we use in algebra.

Therefore, Correct Option is Option 3).

CUET PG Mathematics Mock Test - 2 - Question 30

Let (aₙ) and (bₙ) be sequences of real numbers such that:
|aₙ - aₙ₊₁| = 1 / 2ⁿ and |bₙ - bₙ₊₁| = 1 / √n for n ∈ ℕ.
Then

Detailed Solution for CUET PG Mathematics Mock Test - 2 - Question 30

Concept: A sequence of real numbers is Convergent if and only if it is a Cauchy sequence.
Explanation: |aₙ - aₙ₊₁| = 1 / 2ⁿ
So, aₙ = 1 + 1/2 + 1/2² + . . . + 1/2ⁿ⁻¹ and aₙ₊₁ = 1 + 1/2 + 1/2² + . . . + 1/2ⁿ⁻¹ + 1/2ⁿ.
For Σaₙ = Σ(1 / 2ⁿ),
limₙ→∞ aₙ = limₙ→∞ (1 + 1/2 + 1/2² + . . . + 1/2ⁿ⁻¹)
= limₙ→∞ (1 - 1 / 2ⁿ) / (1 - 1/2) = 2.
So (aₙ) is convergent and hence a Cauchy sequence.
|bₙ - bₙ₊₁| = 1 / √n
bₙ = 1 + 1/√2 + 1/√3 + . . . + 1/√(n-1) and aₙ₊₁ = 1 + 1/√2 + 1/√3 + . . . + 1/√(n-1) + 1/√n.
For Σbₙ = Σ(1 / √n), the series is divergent.
So, (bₙ) is divergent and hence not a Cauchy sequence.
Hence, option 2 is correct.

View more questions
Information about CUET PG Mathematics Mock Test - 2 Page
In this test you can find the Exam questions for CUET PG Mathematics Mock Test - 2 solved & explained in the simplest way possible. Besides giving Questions and answers for CUET PG Mathematics Mock Test - 2, EduRev gives you an ample number of Online tests for practice
Download as PDF