CUET PG Exam  >  CUET PG Tests  >  CUET PG Mathematics Mock Test - 4 - CUET PG MCQ

CUET PG Mathematics Mock Test - 4 - CUET PG MCQ


Test Description

30 Questions MCQ Test - CUET PG Mathematics Mock Test - 4

CUET PG Mathematics Mock Test - 4 for CUET PG 2025 is part of CUET PG preparation. The CUET PG Mathematics Mock Test - 4 questions and answers have been prepared according to the CUET PG exam syllabus.The CUET PG Mathematics Mock Test - 4 MCQs are made for CUET PG 2025 Exam. Find important definitions, questions, notes, meanings, examples, exercises, MCQs and online tests for CUET PG Mathematics Mock Test - 4 below.
Solutions of CUET PG Mathematics Mock Test - 4 questions in English are available as part of our course for CUET PG & CUET PG Mathematics Mock Test - 4 solutions in Hindi for CUET PG course. Download more important topics, notes, lectures and mock test series for CUET PG Exam by signing up for free. Attempt CUET PG Mathematics Mock Test - 4 | 75 questions in 90 minutes | Mock test for CUET PG preparation | Free important questions MCQ to study for CUET PG Exam | Download free PDF with solutions
CUET PG Mathematics Mock Test - 4 - Question 1


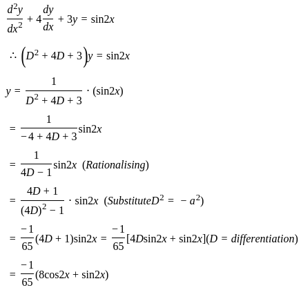
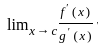
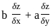
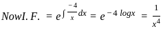
The particular integral for the differential equation is:

Detailed Solution for CUET PG Mathematics Mock Test - 4 - Question 1

Concept:
yP = 1/f(D) sinax
f(D) = ϕ (D2)

Substitute D2 = -a2
Calculations:

CUET PG Mathematics Mock Test - 4 - Question 2

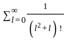
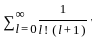
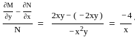
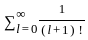
Let for n ∈ ℕ. Then

Detailed Solution for CUET PG Mathematics Mock Test - 4 - Question 2

Concept:

(i) Cauchy's 1st limit theorem: Let (an) be a sequence of positive terms then if = l then = l

(ii) Let ∑ an, ∑ bn be two series of positive terms such that an ≤ bn then

  • If ∑ bn is convergent then so is ∑ an.

  • If ∑ an is divergent then so is ∑ bn.

(iii) p- series test: is convergent if p > 1 and divergent if p ≤ 1

Explanation:

=

Then by using Cauchy's 1st limit theorem,

= = 0

So (an) is convergent

(4) is false

Now,

=

=

i.e., <

Now, is divergent by p-series test

So is divergent.

(2) is correct

CUET PG Mathematics Mock Test - 4 - Question 3

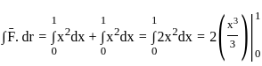
The volume generated by revolving the arc lying between x = 0 and x = 4 about x - axis is

Detailed Solution for CUET PG Mathematics Mock Test - 4 - Question 3

Concept:
The volume of a solid Revolution: Disks and waster.
If a region in the plane is revolved about a line in the same plane, the resulting objects is shown as 'solid of revolution'.
The line about which we rotate the shape is called the "axis of revolution".
(1) Disk method
This is used when we rotate a single curve, y = f(x) around x (or) y-axis.
Assume y = f(x) is a continuous non-negative function in the interval [a, b]


The volume of solid formed by revolving the region bounded by curve and the x axis between x = a and x = b about x-axis is

The cross-section perpendicular to the axis of revolution has the form of a disk of radius R = f(x).
Similarly, we fund the volume of solid when region bounded by x = f(y) and y-axis between y = c and y = d, and rotated about y-axis.



Calculation:
Given function and a = 0, b =
Volume



= 76π/3

CUET PG Mathematics Mock Test - 4 - Question 4

Corner points of the feasible region for an LPP are (0, 2), (3, 0), (6, 0), (6, 8), and (0, 5).
Let F = 4x + 6y be the objective function.
Maximum of F – Minimum of F =

Detailed Solution for CUET PG Mathematics Mock Test - 4 - Question 4

Corner points of the feasible region for an LPP are (0, 2), (3, 0), (6,0), (6, 8), and (0,5).
F = 4x + 6y

Maximum of F – Minimum of F = 72 - 12 = 60
The Correct option is (1).

CUET PG Mathematics Mock Test - 4 - Question 5

The minimum value of is

Detailed Solution for CUET PG Mathematics Mock Test - 4 - Question 5

Concept:

Method of finding the maxima & minima of z = f(x, y):

Step 1: Find for the given function

Step 2: Equate p & q to zero for obtaining stationary points (a, b).

Step 3: Calculate r, s, t at each stationary point (a, b).

Step 4:

i. If rt – s2 > 0 & r > 0 then f (x, y) has a minimum at (a, b) & the minimum value is f(a,b).

ii. If rt – s2 > 0 & r < 0 then f (x, y) has a maximum at (a, b) & the maximum value is f(a,b).

iii. If rt – s2 < 0 then f (x, y) has neither a maximum nor a minimum value at (a, b) & (a, b) is a saddle point.

iv. If rt – s2 = 0 & r < 0 then no conclusion by this method.

Calculation:

Given

f(x, y) =

Now, and

Putting and solving two equations we get

(x, y) = (a, a) or (-a, a)

Now at (a, a); ,

Hence, rt – s2 = 3 > 0 and r > 0, hence it has a minimum value at (a, a)

Now, at (a, -a); ,

Hence, rt – s2 = -5 < 0, hence it has neither minimum nor maximum at this point (a, -a)

Hence, (a, -a) is a saddle point

Minimum value is, f(a, a) = 3a2.

CUET PG Mathematics Mock Test - 4 - Question 6
How many group homomorphisms are there from ℤ2 to S5?
Detailed Solution for CUET PG Mathematics Mock Test - 4 - Question 6

Concept:

Number of group homomorphisms from a cyclic group G of order n to a finite group G' of order m is,

and αk is the number of elements of order k in G'

Let has the cycle decomposition {n1, n2...,nk}, let ai denote the number of cycles of length i in {n1, n2...,nk}.

Then, number of the elements similar to are .

Calculations:

The order of ℤ2 is two. So, k =1,2.

No. of elements of order 1 in S5 is 1.

Elements of order 2 in S5 are of the type (ab)(cd)(e) or (ab)(c)(d)(e).

Elements of the type (ab)(cd)(e) are

Elements of the type (ab)(c)(d)(e) are

No. of elements of order 2 in S5 is 15+10 = 25.

Thus, there are total 26 group homomorphisms from 2 to S5.

Hence, option 3 is correct.

CUET PG Mathematics Mock Test - 4 - Question 7

If C is the circle x2 + y2 = 1 taken in anti-clockwise direction then

c[(x2015 y2016 + 2014y) dx + (x2016 y2015 + 2017x) dy] will be

Detailed Solution for CUET PG Mathematics Mock Test - 4 - Question 7

Concept:

Green's theorem: Let C be a positively oriented, piecewise smooth, simple closed curve in the plane and let D be a region bounded by C. If P(x,y) and Q(x,y) have continuous first partial derivative on an open region that contains D, Then

Explanation:

c[(x2015 y2016 + 2014y) dx + (x2016 y2015 + 2017x) dy]

Use green's theorem

∫ ∫c (2016 x2015 y2015+ 2017 - 2016 x2015 y2015 -2014) dx dy

= 3 ∫ ∫c ds

= 3 x area of circle

= 3π

CUET PG Mathematics Mock Test - 4 - Question 8

Evaluate for taken around the rectangle bounded by the lines x = ± a, y = 0, y = b.

Detailed Solution for CUET PG Mathematics Mock Test - 4 - Question 8

Concept:
By stokes theorem:

Calculation:
Given:
Let ABCD be the given rectangle

By stokes theorem:


∴ î(0) – ĵ(0) + k̂(-2y – 2y)
∴ -4yk̂
n̂ = k̂, ds = dx dy


Consider a vertical strip, then the limits are
X-varies from -a to a & Y-varies from 0 to b

∴ -4ab2

CUET PG Mathematics Mock Test - 4 - Question 9

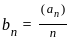
Let (an) be a sequence of real numbers defined by

Let bn = an/n for n ∈ ℕ. Then

Detailed Solution for CUET PG Mathematics Mock Test - 4 - Question 9

Concept:
Finite Oscillatory Sequence: A bounded sequence which is not convergent is said to oscillate finitely
Solution:
Given, (an) be a sequence of real numbers defined by

Let bn = an/n for n ∈ ℕ. Then
here, an is an oscillatory sequence that oscillates between -1 to 1
= which is bounded lies between - 1 to 1
and = 0
Hence, it is a convergent sequence and converges to zero.
Therefore, bn is a convergent sequence but an is not a convergent sequence (3) is correct

CUET PG Mathematics Mock Test - 4 - Question 10

Let F be the family of curves given by

x2 + 2hxy + y2 = 1, − 1 < h < 1 .

Then, the differential equation for the family of orthogonal trajectories to F is

Detailed Solution for CUET PG Mathematics Mock Test - 4 - Question 10

Concept:

To find the orthogonal trajectories of any curve

Step 1: Find the differential equation of the family of circles

Step 2: Replace dy/dx with -dx/dy to get the differential equation of the orthogonal trajectories

Step 3: Solve the new differential equation

Explanation:

We have , − 1 < h < 1 .

Differentiating both side with respect to x:

from given

Replacing dy/dx by -dx/dy:

Hence Option(1) is the correct Answer.

CUET PG Mathematics Mock Test - 4 - Question 11
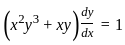
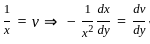
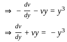
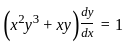
The Integrating factor of the equation is
Detailed Solution for CUET PG Mathematics Mock Test - 4 - Question 11

The given equation is

This is a Bernoulli’s equation

Let

Integrating factor
CUET PG Mathematics Mock Test - 4 - Question 12

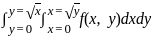
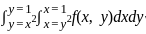
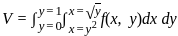
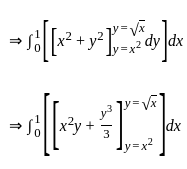
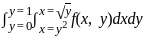
f(x, y) is a continuous function defined over (x, y) ∈ [0, 1] × [0, 1]. Given the two constraints, x > y2 and y > x2, the area under f(x, y) is

Detailed Solution for CUET PG Mathematics Mock Test - 4 - Question 12

The region for the given constraint x > y2 and y > x2 is drawn as:

Limit of y: y = 0 to y = 1
Limit of x:
x = y2 to x2 = y
Or x = y to x = √y
Now, the volume under f(x, y) will be:

CUET PG Mathematics Mock Test - 4 - Question 13

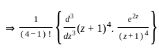
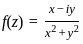
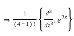
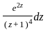
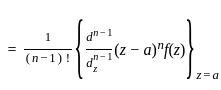
Let f(z) = exp, z ∈ ℂ\{0}. The residue of f at z = 0 is

Detailed Solution for CUET PG Mathematics Mock Test - 4 - Question 13

Concept:
Residue of f(z) at z = 0 is the coefficient of 1/z in the Maclaurin series expansion of f(z)
Explanation:
f(z) = exp (z + (1/z))
=
=
Hence the coefficient of 1/z in the above expression
=
=
Hence option (3) is correct

CUET PG Mathematics Mock Test - 4 - Question 14

If a function f(z) is continuous at Z = Z0, then which of the following statements does not hold?

Detailed Solution for CUET PG Mathematics Mock Test - 4 - Question 14

Given :-
The function f(z) is continuous at z = z0 
Concept used :-
If the function f(z) is analytic at z = z0 then so it is continuous.
Solution :-
If the function f(z) is analytic at z = z0 then so it is continuous. But converse is not always true
Which means if f(z) is continuous at
 is analytic at z = z0

CUET PG Mathematics Mock Test - 4 - Question 15

Let H be a subgroup of the group G and  then choose the correct option?

Detailed Solution for CUET PG Mathematics Mock Test - 4 - Question 15

We know that some results about the subgroup
(i) H is proper normal subgroup of
(ii) H is infinitely generated subgroup of
(iii) H is non cyclic subgroup of
Hence option (3) is true.

CUET PG Mathematics Mock Test - 4 - Question 16

Let G be a finite group and H is a subgroup of G then Which of the following statements must be true?

Detailed Solution for CUET PG Mathematics Mock Test - 4 - Question 16

Concept:
Normal subgroup:
If N is a normal subgroup of a group G, g ∈ G and n ∈ N, then the gng-1 ∈ N'.
Cyclic group:
There exist a element in G which generates the group and the order of the element is same as order of the group.
Abelian group:
A group G with any binary operation satisfy the commutativity.
Explanation:
(1) This is true by definition.
For 'H' a normal subgroup of 'G', for every 'g' in 'G', the left coset 'gH' is equal to the right coset 'Hg'.
Thus, every left coset is also a right coset.
(2) This is false.
Subgroup 'H' can be a proper, nontrivial subgroup of 'G' and still be a normal subgroup.
The simplest example would be the group 'Z2' inside the group 'Z4'.
(3) This is false.
Normal subgroups need not be cyclic.
An example would be the Klein four-group K4 inside the symmetric group S3.
K4 is not cyclic, but it is a normal subgroup of S3 because it is of index 2.
(4) take a counter-example - Quaternion group Q8 of order 8

CUET PG Mathematics Mock Test - 4 - Question 17

The expansion of power series having R as the radius of convergence and x, a be any two points in R, converges if ______.

Detailed Solution for CUET PG Mathematics Mock Test - 4 - Question 17

The expansion of power series ∑ an(x - a)n having R as the radius of convergence and x, a be any two points in R, converges if |x - a| < R
(4) is correct

CUET PG Mathematics Mock Test - 4 - Question 18
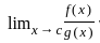
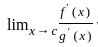
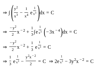
If exist and finite then the value of a is
Detailed Solution for CUET PG Mathematics Mock Test - 4 - Question 18

Concept:

L’Hospital’s Rule: If = = 0 or ± ∞ and g'(x) ≠ 0 for all x in I with x ≠ c and exist then =

Explanation:

(0/0 form so using L'hospital rule)

=

=

Again using L'hospital rule

=

=

It will be 0/0 form if

x - 2a = 0

⇒ a = 0

Option (1) is correct

CUET PG Mathematics Mock Test - 4 - Question 19

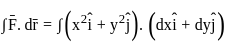
The value (up to two decimal places) of a line integral:

along C which is a straight line joining (0, 0) to (1, 1) is ______

Detailed Solution for CUET PG Mathematics Mock Test - 4 - Question 19

Given:



For the given region, straight-line joining (0, 0) to (1, 1)

x = y ⇒ dx = dy


∴ The value (up to two decimal places) of a line integral is 0.667

CUET PG Mathematics Mock Test - 4 - Question 20
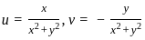
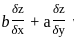
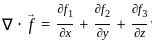
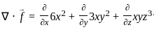
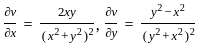
What is the divergence of the vector field at the point (2, 3, 4).
Detailed Solution for CUET PG Mathematics Mock Test - 4 - Question 20

Concept:

Divergence of the vector function:

The net outward flux from a volume element around a point is a measure of the divergence of the vector field at that point.

Divergence of a function

Calculation:

Given that,

Therefore, the divergence of a given vector is

-----(1)

Here,

f1 = 6x2, f2 = 3xy2, f3 = xyz3

Therefore, from equation (1)

= 12x + 6xy + 3xyz2

Therefore, divergence at point (2, 3, 4)

= 12(2) + 6(2)(3) + 3(2)(3)(4)2

= 24 + 36 + 288 = 348

Hence, option 3 is correct.

Other Related Points

Gauss divergence theorem:

It states that the surface integral of the normal component of a vector function taken over a closed surface ‘S’ is equal to the volume integral of the divergence of that vector function taken over a volume enclosed by the closed surface ‘S’.

CUET PG Mathematics Mock Test - 4 - Question 21
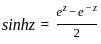
The solution of sinh (z + 2π) = 0 is:
Detailed Solution for CUET PG Mathematics Mock Test - 4 - Question 21

Concept:

For; sin h (z + 2π)

z + 2π = -(z + 2π)

z + 2π = -z - 2π

2z = -4π

The general solution is given by:

where k = 0i, 1i............ni

CUET PG Mathematics Mock Test - 4 - Question 22

Value of the integral∬(x2 + y2) dx dy over the area bounded by the curves y = x2 and y2 = x is

Detailed Solution for CUET PG Mathematics Mock Test - 4 - Question 22

CONCEPT:
There are two cases by which we can determine the area between the curves by using definite integrals.
Case 1: The region is bounded between the curves y1 = f(x)  and y2 = g(x) on the interval [a, b] assume that f(x) > g(x).

The area of the shaded region is given by:
Case 2: The region is bounded between the curves x1 = f(y) and x2 = g(y) on the interval [a, b] assume that f(y) > g(y).

The area of the shaded region is given by:

  • Note that in both cases it is important to find the point the intersection so that the value of a and b can be determined.

CALCULATIONS:
Curves given are y = x2 and y2 = x.
∴ y = x2 ⇒ y = √x

On putting the value of y in the equation we get -

Again integrating the function and putting the x values


on solving this we get 6/35 as answer, i.e. option (a) is correct answer.

CUET PG Mathematics Mock Test - 4 - Question 23

Let f(z) = (1/z); z ≠ 0, then

Detailed Solution for CUET PG Mathematics Mock Test - 4 - Question 23

CONCEPT:
If we consider a function f(z)= u+iv then it will satisfies the Cauchy – Riemann equation if and if it possesses all the partial derivatives then the function f(z) is analytic.
Solution:
Let f(z) = u + iv
f(z) = 1/z
where z = x + iy
now we can write
So here
,
So from here we can say that the Cauchy – Riemann equation is satisfied and all the partial derivatives are exist except origin(0,0)
If we take w = 1/z  then dw/dz = - (1/z2) also exists everywhere at z=0
So, 1/z, is analytic at z = 0.

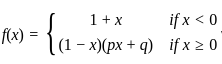
CUET PG Mathematics Mock Test - 4 - Question 24

If

Satisfy the assumption of Rolle’s theorem in the interval [-1, 1], then ordered pair (p, q) is
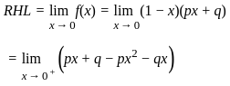
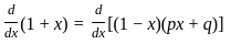
Detailed Solution for CUET PG Mathematics Mock Test - 4 - Question 24

Concept:

Since the above function f(x) satisfy the assumption of Rolle’s theorem in interval [-1, 1]

∴ f(x) is continuous in [-1, 1]

F(x) is differentiable in (-1, 1)

F(-1) = f(1)

∴ for continuity

LHL = RHL = Functional value at 0 i.e f(0)

= 1

= q

∴ LHL = RHL

⇒ q = 1

Also for differentiability

LHD = RHD

at x = 0

at x = 0

p – q = 1

⇒ p = 1 + q

⇒ p = 1 + 1

⇒ p = 2

∴ ordered pair (p, q) ≡ (2, 1)
CUET PG Mathematics Mock Test - 4 - Question 25
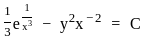
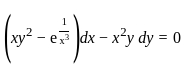
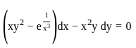
The solutions of Differential equation is
Detailed Solution for CUET PG Mathematics Mock Test - 4 - Question 25

The above equations is in the form of

Mdx + N dy = 0

N = - x2y

Hence it is not an exact equation. So we have to reduce this equation to exact equation. For that we need to calculate integrating factor.

This is the function of ‘x’ only.

Multiplying the given equation by I.F. we can reduce in to exact equation.

Now the solution is,

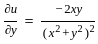
CUET PG Mathematics Mock Test - 4 - Question 26

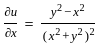
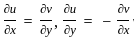
If z = eax+by f (ax - by), then equals to

Detailed Solution for CUET PG Mathematics Mock Test - 4 - Question 26

Given:

z = eax+by f (ax - by)

On partial differentiation of z w.r.t x

On partial differentiation of z w.r.t y

On substituting we get

= 2abz

CUET PG Mathematics Mock Test - 4 - Question 27
The maximum value of the function f(x) = x3 − 3x2 + 2x in [1, 2] is:
Detailed Solution for CUET PG Mathematics Mock Test - 4 - Question 27

Concept:

The method of finding Maxima and Minima of y = f(x)

  • Find f’(x) and f”(x) for given function y = f(x)
  • Equate f’(x) to zero to obtain stationary points x = a
  • Calculate f”(x) at each stationary points x = a (i.e f”(a))
  • The following three conditions are obtained:

  • If f”(a) > 0 then f(x) has a minimum at x = a and minimum value will be f(a)
  • If f”(a) < 0 then f(x) has a maximum at x = a and maximum value will be f(a)
  • If f”(a) = 0 then f(x) may or may not have a maximum or a minimum at x = a

Calculation :

f(x) = x3 − 3x2 + 2x in [1, 2]

f(x)= x(x2 - 3x +2)

f(x)= x(x-2)(x-1)

Critical Points : 0,1,2

f'(x) = 3x2 - 6x +2

f''(x) =6x - 6

f''(0) = -6 < 0 ⇒ maximum

f''(1)= 0

f''(2) = 6 ⇒ minimum

Maxima at x = 0

maximum value of f(x)

⇒ f(0) = 0

Hence correct option is "4"

CUET PG Mathematics Mock Test - 4 - Question 28
The divergence of the vector field is
Detailed Solution for CUET PG Mathematics Mock Test - 4 - Question 28

Concept:

The divergence of any vector field is defined as:

The nabla operator is defined as:

Calculation:

Given:

vector

Divergence of u will be

CUET PG Mathematics Mock Test - 4 - Question 29

Let f = yx. What is at x = 2, y = 1?

Detailed Solution for CUET PG Mathematics Mock Test - 4 - Question 29

f = yx
ln f = x lny



= yx−1 + xyx−1lny
= 1(2−1) + [2×1(2−1) ln(1)] = 1

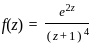
CUET PG Mathematics Mock Test - 4 - Question 30

What is the value of , where c is a circle at origin |z| =3?

Detailed Solution for CUET PG Mathematics Mock Test - 4 - Question 30

Concept:
For simple poles at z = a, b, c…
Residue of
For multiple poles at z = a, a, a … n times
{Residue of f(z)}z=a
According to Cauchy’s residue theorem,

Calculation:
Given,
The poles of f(z) = -1
it lies inside of the given contour.
For multiple pole (n = 4) at z = -1

Residue will be



View more questions
Information about CUET PG Mathematics Mock Test - 4 Page
In this test you can find the Exam questions for CUET PG Mathematics Mock Test - 4 solved & explained in the simplest way possible. Besides giving Questions and answers for CUET PG Mathematics Mock Test - 4, EduRev gives you an ample number of Online tests for practice
Download as PDF