CUET PG Exam  >  CUET PG Tests  >  CUET PG Mathematics Mock Test - 5 - CUET PG MCQ

CUET PG Mathematics Mock Test - 5 - CUET PG MCQ


Test Description

30 Questions MCQ Test - CUET PG Mathematics Mock Test - 5

CUET PG Mathematics Mock Test - 5 for CUET PG 2025 is part of CUET PG preparation. The CUET PG Mathematics Mock Test - 5 questions and answers have been prepared according to the CUET PG exam syllabus.The CUET PG Mathematics Mock Test - 5 MCQs are made for CUET PG 2025 Exam. Find important definitions, questions, notes, meanings, examples, exercises, MCQs and online tests for CUET PG Mathematics Mock Test - 5 below.
Solutions of CUET PG Mathematics Mock Test - 5 questions in English are available as part of our course for CUET PG & CUET PG Mathematics Mock Test - 5 solutions in Hindi for CUET PG course. Download more important topics, notes, lectures and mock test series for CUET PG Exam by signing up for free. Attempt CUET PG Mathematics Mock Test - 5 | 75 questions in 90 minutes | Mock test for CUET PG preparation | Free important questions MCQ to study for CUET PG Exam | Download free PDF with solutions
CUET PG Mathematics Mock Test - 5 - Question 1

Which one of the following tests does not give absolute convergence of a series?

Detailed Solution for CUET PG Mathematics Mock Test - 5 - Question 1

Concept:

A series is said to be absolutely convergent if all the terms are positive and the series by the modulus of each term of the series is convergent.

Calculation:

1-+--..... a series ,now if we take the modulus of each term and construct a series then it will look like |=... ,which is a infinite geometric series with common ratio but if we consider the series this is a alternating series but if we want to express in sum of absolute term i.e.
is not a absolutely convergent series but it is conditionally convergent by Leibnitz's test.

The condition for Leibnitz's test is given below :

(i) 0 (ii) , (iii) if any alternating series obeys these three conditions then we can say the alternating series is convergent.

If we consider the series then

Applying the condition of Leibnitz's test, we get

(i)

(ii)

(iii)

So all the three conditions of Leibnitz's test is satisfied,

∴ the series is conditionally convergent by Leibnitz's test .

Additional :

Root Test, Ratio Test, Comparison Test widely used for series of positive terms.

CUET PG Mathematics Mock Test - 5 - Question 2

Which of the following statement is NOT true?

Detailed Solution for CUET PG Mathematics Mock Test - 5 - Question 2

Explanation:

From properties of uniform continuity we can say that (1) and (2) are true.

Also product of two uniformly continuous need not be uniformly continuous.

For example f(x) = x, g(x) = x both are uniformly continuous on , but the product f(x)g(x) = x2 is not uniformly continuous on .

(3) is also true

We know that sin x is uniformly continuous on [0, ∞] and and composition of two uniformly continuous function is uniformly continuous so f(x) = sin(sin x) is not uniformly continuous on [0, ∞].

(4) is NOT true.

CUET PG Mathematics Mock Test - 5 - Question 3

Let f be an entire function that satisfies |f(z)| ≤ ey for all z = x + iy ∈ ℂ, where x, y ∈ ℝ. Which of the following statements is true?

Detailed Solution for CUET PG Mathematics Mock Test - 5 - Question 3

Explanation:

f be an entire function that satisfies |f(z)| ≤ ey for all z = x + iy ∈ ℂ

(1): f(z) = ce−iz

So |f(z)| = |ce−iz| = |ce-i(x + iy)| = |ce-ix ey| ≤ |c|eyey for some c ∈ ℂ with |c| ≤ 1 (as |e-ix| ≤ 1 for all x ∈ )

Option (1) is correct

(2): f(z) = ceiz

So |f(z)| = |ceiz| = |cei(x + iy)| = |ceix e-y| ≤ e-y for some c ∈ ℂ with |c| ≤ 1 (as |e-ix| ≤ 1 for all x ∈ )

Option (2) is false

(3): f(z) = e−ciz

So |f(z)| = |e−ciz | = |e-ci(x + iy)| = |e-cix ecy| ≤ ecyey for c = 1 only (as |e-ix| ≤ 1 for all x ∈ )

Option (3) is false

(4): f(z) = eciz

So |f(z)| = |eciz | = |eci(x + iy)| = |ecix e-cy| ≤ e-cy ≤ ey for c = - 1 only (as |e-ix| ≤ 1 for all x ∈ )

Option (4) is false

CUET PG Mathematics Mock Test - 5 - Question 4
If for a complex number z = x + iy, x, y ∈ ℝ, then which of the following is true?
Detailed Solution for CUET PG Mathematics Mock Test - 5 - Question 4

Explanation:

where z = x + iy

Comparing both sides

excos y = 0 ⇒ cos y = 0 ⇒ y = (2n + 1) for some integer n

(2) is correct

CUET PG Mathematics Mock Test - 5 - Question 5
Let R = (Z2 × Z2, +,.) forms a ring of module 2 such that (a, b) + (c, d) = (a + c, d + d) and (a, b) (c. d) = (a.c, b.d) for (a, b), (c, d) ∈ Z2 × Z2 then-
Detailed Solution for CUET PG Mathematics Mock Test - 5 - Question 5

Concept Used:

A "commutative ring with unity and it contains divisor of zero" is a mathematical structure defined as follows:

Commutative Ring: It is a set R equipped with two binary operations, usually denoted as addition + and multiplication, such that the following properties hold for all elements a, b, and c in R:

  • Addition is associative and commutative.
  • There exists an additive identity element 0 such that a + 0 = a for all a in R.
  • Every element has an additive inverse, meaning for every a in R, there exists an element -a such that a + (-a) = 0.
  • Multiplication is associative and commutative.
  • There exists a multiplicative identity element 1 such that a 1 = a for all a in R.
  • Multiplication distributes over addition, i.e., and for all a, b, and c in R.

Contains Divisor of Zero: This property implies that there exist non-zero elements a and b in R such that their product equals zero, i.e., a b = 0.

Explanation:

To determine the properties of the given ring , let's analyze its structure:

Addition: The addition operation + is defined component-wise: (a, b) + (c, d) = (a + c, b + d) .

Thus, this operation is commutative and associative.

Multiplication: The multiplication operation ⋅ is also defined component-wise: (a, b) ⋅ (c, d) = (a ⋅ c, b ⋅ d) .

Thus, this operation is also commutative and associative.

Ring Properties

Distributive property holds i.e.,

(a, b) ⋅ ((c, d) + (e, f)) = (a, b) ⋅ (c + e, d + f) = (a ⋅ (c + e),

b ⋅ (d + f)) = (a ⋅ c + a ⋅ e, b ⋅ d + b ⋅ f) , and

(a, b) ⋅ (c, d) + (a, b) ⋅ (e, f) = (a ⋅ c, b ⋅ d) + (a ⋅ e, b ⋅ f) = (a ⋅ c + a ⋅ e, b ⋅ d + b ⋅ f)

The ring contains an identity element: (1, 1) is the identity element for multiplication.

Zero Divisors: Let's check if there exist non-zero elements (a, b) and (c, d) such that (a, b) ⋅ (c, d) = (0, 0). If such elements exist, then the ring contains zero divisors.

Consider (1, 0) and (0, 1).

Their product is (1, 0) ⋅ (0, 1) = (0, 0) , where (0, 0) is the additive identity. Thus, R contains zero divisors.

R is a commutative ring with unity and it contains divisor of zero.

CUET PG Mathematics Mock Test - 5 - Question 6

Let {an : n ≥ 1} n be a sequence of real numbers such that is convergent and is divergent. Let R be the radius of convergence of the power series . Then we can conclude that

Detailed Solution for CUET PG Mathematics Mock Test - 5 - Question 6

Let {an : n ≥ 1} n be a sequence of real numbers such that is convergent and is divergent.
Let R be the radius of convergence of the power series .
Then we can conclude that R = 1 only.
Explanation -
According to the given concept,
option (ii) is correct.

CUET PG Mathematics Mock Test - 5 - Question 7
Find the value of where F(x, y, z) = (y + z, z + x, x + y)
Detailed Solution for CUET PG Mathematics Mock Test - 5 - Question 7

Concept -

The curl of a vector field is given by the vector cross product of the del operator with , i.e., . It is computed as:

=

Explanation -

The form f corresponds to a vector field .

Now P = y+z , Q = z+x , and R = x+y into the formula for the curl:

1. Compute :

= 1 - 1 = 0

2. Compute :

= 1 - 1 = 0

3. Compute :

= 1 - 1 = 0

Put these values in the given formula we get -

Hence, the curl of is:

Now

Hence Option(3) is correct.

CUET PG Mathematics Mock Test - 5 - Question 8

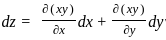
If f(x, y) = xy, then the differential df is equal to

Detailed Solution for CUET PG Mathematics Mock Test - 5 - Question 8

Concept:
If z = f(x,y)
then the change in z (total differential) is

Calculation:
z = xy
Then the total differential is

z = ydx + xdy

CUET PG Mathematics Mock Test - 5 - Question 9

The function f(x) = 8 loge x - x2 + 3 attains its global minimum over the interval [1, e] at x = ________.

(Here loge x is the natural logarithm of x and e2 = 7.39)

Detailed Solution for CUET PG Mathematics Mock Test - 5 - Question 9

Calculation:
f(x) = 8 loge x - x2 + 3
f ' (x) = 8/x - 2 x
For Stationary points f ' (x) = 0

x = ± 2


f '' (x) < 0
f(x) is maximum at x = 2
f(1) = 2
f(e) = 8 - e2 + 3 = 3.61
Minimum of f(x) in [1 , e] = min { f (1) , f (e) }
Minimum of f(x) in [1 , e] = min { 2 , 3.61 }

f(x) minimum at x = 1

CUET PG Mathematics Mock Test - 5 - Question 10
The minimum value of f (x,y) = xy + is:
Detailed Solution for CUET PG Mathematics Mock Test - 5 - Question 10

Concept:

Find the stationary points.

By solving the above two equations, we will get the values of x and y.

Putting these values in F(x,y) will get the minimum value.

Calculation:

Given,

........(i)

............(ii)

Solving (i) and (ii), we get:

x = 1 and y = 3

Minimum value = 9

CUET PG Mathematics Mock Test - 5 - Question 11

Change the order of integration in the following integral

=

Then find the value of e(a - d) ____

Detailed Solution for CUET PG Mathematics Mock Test - 5 - Question 11

Concept:
In the original integral, the integration order is dx.dy. This integration order corresponds to integrating first with respect to x and afterward integrating with respect to y. Here, we are going to change the integration to be dy.dx, which means integrating first with respect to y.
Calculation:

Then,
y = 0, y = 1
x = 1, x = ey
According to the given limit, we draw the required diagram,

Here,
We integrate the given integral with respect to x.

After that,
We integrate the given integral with respect to y.

So, we have to change the limit
x = 1, = e
y = log x, y = 1
Then, we arrange like this

After,
Comparing the obtained integral to the given integral

=
Then,
a = 1, b = e, c = log x, d = 1.
So,
e(a - d) = e(1 - 1)
= e0
= 1

CUET PG Mathematics Mock Test - 5 - Question 12

The set of all units in a ring R with unity forms ______.

Detailed Solution for CUET PG Mathematics Mock Test - 5 - Question 12

Concept -
1. Closure under addition and multiplication: For any a, b in the ring, both a + b and ab are also in the ring.
2. Associativity of addition and multiplication: For any a, b, c in the ring, (a + b) + c = a + (b + c) and (ab)c = a(bc).
3. Existence of additive identity (unity): There exists an element 0 (unity) such that for any element a in the ring, a + 0 = a = 0 + a.
4. Existence of additive inverses: For every element a in the ring, there exists an element -a in the ring such that a + (-a) = 0 = (-a) + a.
5. Commutativity of addition: For any a, b in the ring, a + b = b + a.
6. Distributive property: For any a, b, c in the ring, a(b + c) = ab + ac and (a + b)c = ac + bc.
7. Absence of zero divisors: If ab = 0 for some a, b in the domain, then either a = 0 or b = 0.
8. Nontriviality: The domain contains at least two elements, and
 0 ≠ 1.
Ring with Unity satisfies properties 1 to 6.
Group with Respect to Multiplication satisfies properties 1 to 4
Field: In addition to the properties of a ring with unity, a field satisfies the following:
1. Multiplicative inverses: For every nonzero element a in the field, there exists an element a^{-1} such that aa^{-1} = 1, where 1 is the multiplicative identity.
2. Nonzero elements form a group under multiplication: All nonzero elements in the field form a group under multiplication.
Integral Domain satisfies all the eight properties.
The set of all units in a ring R with unity forms a group with respect to multiplication.
Explanation -
The units of a ring R are the elements that have multiplicative inverses. If R has unity, then the set of units is denoted by R× and it consists of all elements  r ∈ R such that there exists some  s ∈ R satisfying rs = sr = 1 , where 1 is the multiplicative identity of the ring R .
1. Closure: For any two units a, b ∈ R×, their product ab is also a unit since the product of units is again a unit (as the product has a multiplicative inverse).
2. Associativity: Multiplication in R is associative, so this property carries over to R×.
3. Identity element: The multiplicative identity of R is also in R×, and it serves as the identity element for multiplication
within R×, as 1 r = r 1 = r for any r ∈ Rx.
4. Inverses: Each element in R× has a multiplicative inverse in R×. This follows directly from the definition of R×.
Hence, the set of all units in a ring R with unity forms a group with respect to multiplication.

CUET PG Mathematics Mock Test - 5 - Question 13
Find the value of |adj (adj A)| if matrix A is of the order of 3 and |A| = 15.
Detailed Solution for CUET PG Mathematics Mock Test - 5 - Question 13

Concept:

There’s a property of adjoint of the matrix:

Where, n = order of the matrix.

Calculation:

Given: |A| = 15

As we know that

So, put the values in the given formula.

CUET PG Mathematics Mock Test - 5 - Question 14

Find the condition on a, b, c so that the linear system of equations

x + 2y – 3z = a

2x + 6y – 11z = b

x – 2y + 7z = c

is consistent
Detailed Solution for CUET PG Mathematics Mock Test - 5 - Question 14

Consistency means, the system of equations should have either infinite solutions or unique solution

R2 → R2 - 2R1

R3 → R3 – R1

R3 → R3 + 2R2

For consistency ρ [A/b] = ρ [A] < n

⇒ -5a + 2b + c = 0
CUET PG Mathematics Mock Test - 5 - Question 15

Which of the following is true?

Detailed Solution for CUET PG Mathematics Mock Test - 5 - Question 15

Concept:
(i) An ideal is a subset of a ring that is closed under addition and multiplication by elements from the ring.
(ii) An ideal is called maximal if there are no proper ideals containing it other than the entire ring itself.

Explanation:
Option 1: is not a maximal ideal in Z5[x, y].
Here, Z5[x, y] is the polynomial ring over the finite field Z5 (the integers modulo 5).
The ideal is generated by the elements x and y.
In the polynomial ring  Z5[x, y] an ideal   is maximal if and only if the quotient ring is a field.
Let's consider This quotient ring represents polynomials modulo the ideal generated by   and  , meaning any polynomial in Z5[x, y] that is divisible by both   and   will be in the ideal  .
However,  can be represented as Z5  because any polynomial modulo   is effectively a constant polynomial.
Since Z5
i  is indeed a maximal ideal in Z5[x, y]
Thus, option 1 is not correct.
Option 2:

In this case, the ideal <2, x, y> in ℤ[x, y] is generated by the elements 2, x, and y. To show that it is maximal, we need to demonstrate that there is no proper ideal in ℤ[x, y] that properly contains <2, x, y>.
Since ℤ[x, y] is a polynomial ring in two variables over the integers, it is a commutative ring. In commutative rings, irreducible elements generate maximal ideals.
The element 2 is irreducible in ℤ[x, y] because it is a prime element. The element x is irreducible, and y is also
irreducible because there are no non-constant polynomials of degree 1 in ℤ[x, y] that divide them.
Hence, the ideal <2, x, y> is generated by irreducible elements, making it a maximal ideal in ℤ[x, y].
So, option 2 is correct.
Option 3: 4x2 + 6x + 3 is a unit in z8[x] as 2x + 3 is the multiplicative inverse of 4x2 + 6x + 3 in z8[x] because
(4x2 + 6x + 3)(2x + 3) = 8x3 + 12x2 + 6x + 3 + 12x2 + 18x + 9 = 8x3 + 24x2 + 24x + 9 ≡ 1 mod 8
So, (4x2 + 6x + 3)(2x + 3) = 1 in z8[x].
So, option 3 is also not correct.
Hence, the true statement is < 2, x, y > is maximal ideal in ℤ[x, y].
Thus, option 2 is correct.

CUET PG Mathematics Mock Test - 5 - Question 16
What is the rank of the matrix A =
Detailed Solution for CUET PG Mathematics Mock Test - 5 - Question 16

Applying R1 ↔ R2

Applying R2 = R2 - 2R1 and R4 = R4 – R1

Applying R3 = R3 + 2R2 and R4 = R4 + R2

Applying R2 = (-1)R2 and R4 = R4 – 4R3

Applying R1 = R1/2, R2 = R2/2 and R3 = R3/2

Above matrix is in echelon form with three non - zero rows. Hence, the rank of the matrix is 3.
CUET PG Mathematics Mock Test - 5 - Question 17
Let A and B be two 3 × 3 matrices such that A ≠ B, A2 = B2, AB = BA and A2 + 2A + I = 0 where I is the identity matrix. Let |T| denote the determinant of any matrix T. Then
Detailed Solution for CUET PG Mathematics Mock Test - 5 - Question 17

Explanation:

(A + B) (A - B) = A2 - AB + BA - B2

Given that, AB = BA

⇒ (A + B) (A - B) = A2 - B2

Given that A2 = B2 ⇒ A2 - B2 = 0

⇒ (A + B) (A - B) = 0

Given that, A ≠ B

⇒ A + B = 0

⇒ |A + B| = 0

Given that,

A2 + 2A + I = 0

Multiply both sides with A-1

⇒ (A2 + 2A + I) A-1 = 0

⇒ A + 2I + A-1 = 0

⇒ A-1 = -A - 2I

A-1 exists. Hence the determinant cannot be zero, i.e. |A| ≠ 0

CUET PG Mathematics Mock Test - 5 - Question 18

If 5x + y ≤ 100, x + y ≤ 60, x ≥ 0, y ≥ 0. Then one of the corner points of the feasible region is :

Detailed Solution for CUET PG Mathematics Mock Test - 5 - Question 18

Explanation:
5x + y ≤ 100, x + y ≤ 60, x ≥ 0, y ≥ 0
5x + y = 100 ⇒ = 1 .....(i)
x + y = 60 ........(ii)
From (i) - (ii) we get -
4x = 40 ⇒ x = 10
Now y = 60 - 10 = 50
The feasible region is OABCO as given below
Corner points are O(0, 0), A(20, 0), B(10, 50), C(0, 60)

Option (3) is true.

CUET PG Mathematics Mock Test - 5 - Question 19
Let x = (x1, x2, x3), y = (y1, y2, y3) ℝ3 be linearly independent. Let δ1 = x2y3 - y2x3, δ2 = x1y3 - y1x3, δ3 = x1y2 - y1x2. If V is the span of x, y then
Detailed Solution for CUET PG Mathematics Mock Test - 5 - Question 19

Concept:

The vector V is the span of vectors x and y if = 0

Explanation:

x = (x1, x2, x3), y = (y1, y2, y3) ℝ3 be linearly independent.

δ1 = x2y3 - y2x3, δ2 = x1y3 - y1x3, δ3 = x1y2 - y1x2.

V is the span of x, y, so

= 0

= 0

⇒ u( x2y3 - y2x3) - v( x1y3 - y1x3) + w(x1y2 - y1x2) = 0

⇒ uδ1 - vδ2 + wδ3 = 0

(1) is correct

CUET PG Mathematics Mock Test - 5 - Question 20
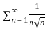
The radius of convergence of the series is
Detailed Solution for CUET PG Mathematics Mock Test - 5 - Question 20

Concept -

If the power series is given by

then Radius of convergence R of the power series is

Explanation -

Here

⇒ R = 1

Hence the option (iii) is correct.

CUET PG Mathematics Mock Test - 5 - Question 21
Consider a finite group G that is not simple and let |G| denote the order of group G. Which of the following is necessarily true?
Detailed Solution for CUET PG Mathematics Mock Test - 5 - Question 21

Concept -

Lagrange's theorem - the order of every subgroup (and thus the order of every element) must divide the order of the group.

Result - If the order of the group is prime the the group is abelian as well as cyclic.

Result - A group of order (p is prime) is always abelian.

Result - Every subgroup of the abelian group is normal subgroup.

Explanation -

(1) This is false. A non-abelian group with prime order does not exist.

If the order of the group is prime, it has no divisors other than 1 and itself.

Hence Abelian group.

2) This is false. Because the group is cyclic and it is isomorphic to Zn

3) Number of elements of order 2 and order 4 is 9 and 6 in so hence the sum is 15.

Hence true option.

4) This is false. A group of order (p is prime) is always abelian.

So it is not simple .

CUET PG Mathematics Mock Test - 5 - Question 22

If R is the radius of convergence of any power series then what is the interval of convergence?

Detailed Solution for CUET PG Mathematics Mock Test - 5 - Question 22

If R is the radius of convergence of then the series converges when |x| < R i.e., when - R < x < R
So interval of convergence is (- R, R)
(1) is correct

CUET PG Mathematics Mock Test - 5 - Question 23

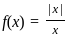
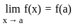
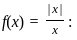
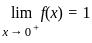
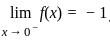
Consider the function

a)

b)

c) does not exists

Detailed Solution for CUET PG Mathematics Mock Test - 5 - Question 23

Concept:

A function f(x) is said to be continuous at a point x = a, in its domain if,

exists or its graph is a single unbroken curve.

f(x) is Continuous at x = a

Calculation:

Given:

Left hand limit and right hand limit are not equal

does not exist.

All given options are true.

CUET PG Mathematics Mock Test - 5 - Question 24

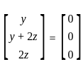
An eigen vector of corresponding to minimum eigen value is

Detailed Solution for CUET PG Mathematics Mock Test - 5 - Question 24

Explanation:

Given matrix is upper triangular matrix, so eigen values = 1, 2, 3

Minimum eigen value = 1

For λ = 1,

(A - λI)X = 0

Where X is the eigen vector

y = 0

z = 0

X can be any value

CUET PG Mathematics Mock Test - 5 - Question 25
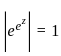
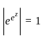
Define f ∶ by f(z) = ||z|2 -.1|2. Which of the following statements is true?
Detailed Solution for CUET PG Mathematics Mock Test - 5 - Question 25

Explanation:

f is differentiable = 0.

Now, f(z) = ||z|2 − 1|2

= (|z|2 − 1) (∵|z|2 = z.z̅)

= (zz̅ − 1)

= (zz̅ − 1) (z̅z − 1)

⇒ f(z) = (zz̅ − 1)2

For differentiable, = 0

⇒2(zz̅ − 1) (z) = 0

⇒ z = 0 or |z|2 − 1 = 0 ⇒ |z| = 1

∴ f is complex differentiable at z = 0 and at all z such that |z| = 1

As f(z) can be differentiable at z = i, -i also as |i| = 1

(4) is also false.

So, all options are false.

CUET PG Mathematics Mock Test - 5 - Question 26

Find the cardinality of generating set for dihedral group?

Detailed Solution for CUET PG Mathematics Mock Test - 5 - Question 26

Concept-
The Dihedral group of an n-gon (which has order 2n) is generated by the set
where r represents rotation by 2π/n and s is any reflection across a line of symmetry.
Explanation-
In Dihedral group the generating set are set of rotation say r ,
set of reflection say s
so cardinality of generating set in Dihedral group is {r,s}
Therefore, Correct Option is Option 3).

CUET PG Mathematics Mock Test - 5 - Question 27
The vectors λî + ĵ + 2k̂, î + λĵ − k̂ and 2î − ĵ + λk̂ are coplanar if
Detailed Solution for CUET PG Mathematics Mock Test - 5 - Question 27

Concept:

1) For three vectors to be coplanar, their scalar triple product should be zero.

2) Scalar triple product of vectors and is denoted by .

Calculation:

Given vectors are λî + ĵ + 2k̂, î + λĵ − k̂ and 2î − ĵ + λk̂

For the three vectors to be coplanar, their scalar triple product is zero.

= 0

⇒ λ(λ2 - 1) - (λ + 2) + 2(- 1 - 2λ) = 0

⇒ λ3 - 6λ - 4 = 0

⇒ (λ + 2)(λ2 - 2λ - 2) = 0

Solving we get λ = - 2 or λ =

Therefore, the vectors are coplanar for λ = - 2.

The correct answer is option 1.

CUET PG Mathematics Mock Test - 5 - Question 28
Set {(x1, x2, x3) ; } is
Detailed Solution for CUET PG Mathematics Mock Test - 5 - Question 28

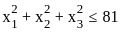
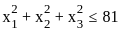
Concept:

The set is convex If any line segment connecting two points within or on the boundary of the closed ball lies entirely within the ball.

Explanation:
The set {(x1, x2, x3) ; } represents the closed ball in with radius 9 centered at the origin.

Clearly, The set is convex because any line segment connecting two points within or on the boundary of the closed ball lies entirely within the ball.

CUET PG Mathematics Mock Test - 5 - Question 29
Find the gradient of the scalar field if f(x, y) = x + y at (1, 2)?
Detailed Solution for CUET PG Mathematics Mock Test - 5 - Question 29

Explanations:

The gradient of a scalar field f(x, y) is defined as the vector (df/dx, df/dy), and it gives the direction of the maximum rate of increase of the function.

Let's proceed by taking the required partial derivatives for f(x,y) = x + y:

df/dx = 1 df/dy = 1

So the gradient of the function at a give point, (∇f) is given by (∇f) = i*(df/dx) + j*(df/dy).

So, (∇f) = i1 + j1 = i + j.

The gradient of the function at any point is a constant vector i + j, and this also holds at the point (1,2).

CUET PG Mathematics Mock Test - 5 - Question 30
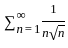
Series is
Detailed Solution for CUET PG Mathematics Mock Test - 5 - Question 30

Concept:

(i) Leibniz's test

Consider an alternating series of the form bn

If (a) bn ≥ 0, bn is decreasing

(b) bn → 0 as n → ∞

Then alternate series bn converges.

(ii) p- series test

If p > 1. Then the series converges.

If p ≤ 1. Then the series diverges.

Explanation:

=

(i) ≥ 0 , is decreasing

(ii) → 0 as n → ∞

converges

Now, =

As, p-series test is convergent.

View more questions
Information about CUET PG Mathematics Mock Test - 5 Page
In this test you can find the Exam questions for CUET PG Mathematics Mock Test - 5 solved & explained in the simplest way possible. Besides giving Questions and answers for CUET PG Mathematics Mock Test - 5, EduRev gives you an ample number of Online tests for practice
Download as PDF