Class 9 Exam  >  Class 9 Tests  >  All India Sainik Schools Class 9 Mock Test - 5 - Class 9 MCQ

All India Sainik Schools Class 9 Mock Test - 5 - Class 9 MCQ


Test Description

30 Questions MCQ Test - All India Sainik Schools Class 9 Mock Test - 5

All India Sainik Schools Class 9 Mock Test - 5 for Class 9 2025 is part of Class 9 preparation. The All India Sainik Schools Class 9 Mock Test - 5 questions and answers have been prepared according to the Class 9 exam syllabus.The All India Sainik Schools Class 9 Mock Test - 5 MCQs are made for Class 9 2025 Exam. Find important definitions, questions, notes, meanings, examples, exercises, MCQs and online tests for All India Sainik Schools Class 9 Mock Test - 5 below.
Solutions of All India Sainik Schools Class 9 Mock Test - 5 questions in English are available as part of our course for Class 9 & All India Sainik Schools Class 9 Mock Test - 5 solutions in Hindi for Class 9 course. Download more important topics, notes, lectures and mock test series for Class 9 Exam by signing up for free. Attempt All India Sainik Schools Class 9 Mock Test - 5 | 150 questions in 180 minutes | Mock test for Class 9 preparation | Free important questions MCQ to study for Class 9 Exam | Download free PDF with solutions
All India Sainik Schools Class 9 Mock Test - 5 - Question 1

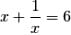
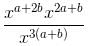
What will be the value of ?

Detailed Solution for All India Sainik Schools Class 9 Mock Test - 5 - Question 1

Using laws of exponents,

= 1/12

All India Sainik Schools Class 9 Mock Test - 5 - Question 2

Amy is sharing his toys among three orphanage houses A, B and C. The toys are divided in a ratio 2 : 3 : 5. If C has got 150 toys, then how many total toys were there?

Detailed Solution for All India Sainik Schools Class 9 Mock Test - 5 - Question 2

Let the number of toys received by A, B and C be 2x, 3x, 5x respectively.
Given that C has got 150.
Therefore, 5x = 150
or, x = 150/5
or, x = 30
So, A got = 2x = Rs. 2 × 30 = 60
B got = 3x = 3 × 60 = 90
Therefore, total amount (60 + 90 + 150) = 300

All India Sainik Schools Class 9 Mock Test - 5 - Question 3

The car sales in 2007 are what percentage of the total car sales of all the years?

Detailed Solution for All India Sainik Schools Class 9 Mock Test - 5 - Question 3

Total sales for given years (in thousands) = 25 + 35 + 45 + 45 + 25 + 35 + 45 + 65 = 320
So, required percentage = (65/320) x 100 = 20.3%
Hence, option (2) is correct.

All India Sainik Schools Class 9 Mock Test - 5 - Question 4

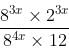
What is the value of  ?

Detailed Solution for All India Sainik Schools Class 9 Mock Test - 5 - Question 4

 

 = 

All India Sainik Schools Class 9 Mock Test - 5 - Question 5

Adam and Benjamin have ratio of their ages as 3 : 4. Their father observes their growth and predicts that ratio of their ages after 20 years will become 7 : 8. What is the present age of Adam?

Detailed Solution for All India Sainik Schools Class 9 Mock Test - 5 - Question 5

Assume, present age of Adam = 3p years and present age of Benjamin = 4p years
Now, according to the question,
(3p + 20)/(4p + 20) = 7/8
Or, 8(3p + 20) = 7(4p + 20)
Or, 24p + 160 = 28p + 140
Or, 4p = 20
Or, p = 5
So, present age of Adam = 3p years = 15 years
Hence, answer option (2) is correct.

All India Sainik Schools Class 9 Mock Test - 5 - Question 6

Simplify: , x ≠ 

Detailed Solution for All India Sainik Schools Class 9 Mock Test - 5 - Question 6

xa + 2b + 2a + b - 3(a + b)
⇒ x3a + 3b - 3a - 3b = x0 = 1

All India Sainik Schools Class 9 Mock Test - 5 - Question 7

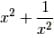
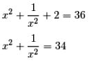
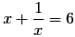
If , then calculate .

Detailed Solution for All India Sainik Schools Class 9 Mock Test - 5 - Question 7

 

Squaring both sides, we get:

All India Sainik Schools Class 9 Mock Test - 5 - Question 8

Directions: Choose the correct alternative that will continue the same pattern in the given series.
17, 13, 11, 7, 5, 1, ___

Detailed Solution for All India Sainik Schools Class 9 Mock Test - 5 - Question 8

The given sequence is as follows.
17, 13, 11, 7, 5, 1, ___
13 - 17 = -4
11 - 13 = -2
7 - 11 = -4
5 - 7 = -2
1 - 5 = -4
x - 1 = -2
So, x = -2 + 1 = -1

All India Sainik Schools Class 9 Mock Test - 5 - Question 9

Directions: In the following question, there is a certain relationship between the two terms given to the left of the sign (: :). The same relationship exists between the two terms to its right, out of which one is missing. Find the missing term from the given alternatives.
RSQ : UVT : : XYW : ?

Detailed Solution for All India Sainik Schools Class 9 Mock Test - 5 - Question 9

As,
R + 3 = U
S + 3 = V
Q + 3 = T
Similarly,
X + 3 = A
Y + 3 = B
W + 3 = Z
Hence, ABZ is the correct answer.

All India Sainik Schools Class 9 Mock Test - 5 - Question 10

Directions: In the given question, which term when placed at the sign of interrogation will complete the matrix?

Detailed Solution for All India Sainik Schools Class 9 Mock Test - 5 - Question 10

In the each row, out of the letters A, B and C, each of these must appear once.
So the missing letter is C.
Now, the middle number in each column is product of the other two numbers in the column.
So the missing number is 2 × 5 = 10
Therefore, the missing element is 10C.

All India Sainik Schools Class 9 Mock Test - 5 - Question 11

Directions: Choose the letter that will come in place of the question mark.

Detailed Solution for All India Sainik Schools Class 9 Mock Test - 5 - Question 11

Working in rows:
A x I x E = 1 x 9 x 5 = 45
E x C x C = 5 x 3 x 3 = 45
A x C x O = 1 x 3 x 15 = 45

All India Sainik Schools Class 9 Mock Test - 5 - Question 12

The year next to 1991 having the same calendar as that of 1991 is

Detailed Solution for All India Sainik Schools Class 9 Mock Test - 5 - Question 12


Year 2002, after 14 odd days, has the same calendar as 1991.

All India Sainik Schools Class 9 Mock Test - 5 - Question 13

Directions: The item consists of a sentence with an underlined word followed by four words. Select the word that is most nearly opposite in meaning to the underlined word.
His short but pointed speech was applauded by all sections of the audience.

Detailed Solution for All India Sainik Schools Class 9 Mock Test - 5 - Question 13

'Applauded' refers to 'expressing approval of' something, while 'disapprove' means 'deem wrong or inappropriate.' So, option 1 is the correct answer.

All India Sainik Schools Class 9 Mock Test - 5 - Question 14

Directions: Choose the correct order to make the sentence below meaningful.
and tried to (1)/ and cities into great cultural centres (2)/ patronage to the (3)/ learned and pious (4)/ rulers offered (5)/ transform their capitals (6)

Detailed Solution for All India Sainik Schools Class 9 Mock Test - 5 - Question 14

The correct sentence is:
Rulers offered patronage to the learned and pious, and tried to transform their capitals and cities into great cultural centres.

All India Sainik Schools Class 9 Mock Test - 5 - Question 15

Directions: Identify the correct idiom or phrase to complete the sentence.
The ________ is how to raise sufficient funds.

Detailed Solution for All India Sainik Schools Class 9 Mock Test - 5 - Question 15

'Crux of the problem' means the essential point of a problem. The problem of 'raising funds' is being mentioned in the sentence. So, option 1 is correct.

All India Sainik Schools Class 9 Mock Test - 5 - Question 16

Directions: The following item consists of a sentence with an underlined word followed by four words. Select the word that is furthest in meaning to the underlined word and mark your response.
He concealed his thoughts very cleverly.

Detailed Solution for All India Sainik Schools Class 9 Mock Test - 5 - Question 16

'Concealed' means 'hid'. Its opposite will be 'revealed' which means 'disclosed'. 'Expressed' is incorrect as it means 'put into words'.

All India Sainik Schools Class 9 Mock Test - 5 - Question 17

The author seems to imply that many are inveterate smokers because

Detailed Solution for All India Sainik Schools Class 9 Mock Test - 5 - Question 17

It is given in the passage, "If we remain inveterate smokers, it is only because we have so often experienced the frustration that results from failure." This indicates that their past efforts resulted in failures. So, they remain habitual smokers.

All India Sainik Schools Class 9 Mock Test - 5 - Question 18

The phrase ''formidable lists of do's and don'ts'' means that

Detailed Solution for All India Sainik Schools Class 9 Mock Test - 5 - Question 18

'Formidable' means 'inspiring fear or respect through being impressively large'. The list is so long that it is intimidating or frightening.

All India Sainik Schools Class 9 Mock Test - 5 - Question 19

Directions: Complete the following maxim.
Hope for the best, prepare for the _____.

Detailed Solution for All India Sainik Schools Class 9 Mock Test - 5 - Question 19

The correct maxim is 'Hope for the best, prepare for the worst'.

All India Sainik Schools Class 9 Mock Test - 5 - Question 20

Match the following:

Detailed Solution for All India Sainik Schools Class 9 Mock Test - 5 - Question 20

White revolution is related to the production of milk. Blue revolution is related to fisheries. Golden revolution is related to beekeeping. Silver revolution is related to poultry farming.

All India Sainik Schools Class 9 Mock Test - 5 - Question 21

What type of reaction occurs between an acid and a base when they combine to give salt as a product?

Detailed Solution for All India Sainik Schools Class 9 Mock Test - 5 - Question 21

A neutralisation reaction is when an acid and a base react to form water and a salt, and involves the combination of H+ ions and OH- ions to generate water.

All India Sainik Schools Class 9 Mock Test - 5 - Question 22

Which of the following catalysts is used to convert vegetable oil into Vanaspati ghee?

Detailed Solution for All India Sainik Schools Class 9 Mock Test - 5 - Question 22

The conversion of vegetable oil into Vanaspati ghee is an example of hydrogenation reaction in which nickel, palladium or platinum are used as catalysts.

All India Sainik Schools Class 9 Mock Test - 5 - Question 23

Which of the following chemicals are related to killing of unwanted plants in field?

Detailed Solution for All India Sainik Schools Class 9 Mock Test - 5 - Question 23

Weedicides are the chemicals which are sprayed over the field to get rid of weeds (unwanted plants).

All India Sainik Schools Class 9 Mock Test - 5 - Question 24

India came directly under the rule of the British crown under the year ______.

Detailed Solution for All India Sainik Schools Class 9 Mock Test - 5 - Question 24

The British Raj was the rule by the British Crown in the Indian subcontinent between 1858 and 1947. After the Indian Rebellion of 1857, the rule of the British East India Company was transferred to the Crown in the person of Queen Victoria.

All India Sainik Schools Class 9 Mock Test - 5 - Question 25

Indian Constitution was formulated by

Detailed Solution for All India Sainik Schools Class 9 Mock Test - 5 - Question 25

The Drafting Committee was one of the eight major committees appointed by the Constituent Assembly (Proposed by M.N. Roy) and headed by Dr. B.R. Ambedkar. Indian constitution was formulated by the drafting committee.

All India Sainik Schools Class 9 Mock Test - 5 - Question 26

In a cyclone hit area, as a preventive measure,

Detailed Solution for All India Sainik Schools Class 9 Mock Test - 5 - Question 26

Multipurpose cyclone centres provide shelter during disaster, have sophisticated equipment required for disaster management, provide training in search and rescue, first aid techniques and how to use all types of equipment, etc. So, as a preventive measure, multipurpose cyclone centres should be constructed in cyclone hit area.

All India Sainik Schools Class 9 Mock Test - 5 - Question 27

Which of the following rivers became the world's first natural resource to be given its own legal identity, with the rights, duties and liabilities of a legal person?

Detailed Solution for All India Sainik Schools Class 9 Mock Test - 5 - Question 27

Whanganui became the world's first natural resource to be given its own legal identity, with the rights, duties and liabilities of a legal person. It is a river in New Zealand. The river is also known by the Maoris as Te Awa Tupua. It is represented by two nominees - one appointed by the Maori community, or Iwi, and one appointed by the government.

All India Sainik Schools Class 9 Mock Test - 5 - Question 28

Manikaran in Himachal Pradesh is known for

Detailed Solution for All India Sainik Schools Class 9 Mock Test - 5 - Question 28

Manikaran in Himachal Pradesh is known for geothermal energy project. Two experimental projects are set up in India to harness geothermal energy. One is located in the Parvati Valley near Manikaran in Himachal Pradesh and the other is located in the Puga Valley, Ladakh.

All India Sainik Schools Class 9 Mock Test - 5 - Question 29

The real executive power under the Constitution of India rests with:

Detailed Solution for All India Sainik Schools Class 9 Mock Test - 5 - Question 29

There shall be a Council of Ministers with the prime minister at the head to aid and advise the president who shall, in the exercise of his functions, act in accordance with such advice.
The Prime Minister of India is the head of government and has the responsibility for executive power.

All India Sainik Schools Class 9 Mock Test - 5 - Question 30

Abhinav Bharat, a secret society of revolutionaries was organised by

Detailed Solution for All India Sainik Schools Class 9 Mock Test - 5 - Question 30

Abhinav Bharat was named after the Abhinav Bharat Society, an organisation founded by Vinayak Damodar Savarkar in 1904. The original organisation believed in armed revolution, and was responsible for the assassinations of some officers of the ruling British government before being disbanded in 1952.

View more questions
Information about All India Sainik Schools Class 9 Mock Test - 5 Page
In this test you can find the Exam questions for All India Sainik Schools Class 9 Mock Test - 5 solved & explained in the simplest way possible. Besides giving Questions and answers for All India Sainik Schools Class 9 Mock Test - 5, EduRev gives you an ample number of Online tests for practice
Download as PDF