JEE Exam  >  JEE Tests  >  BITSAT Mathematics Test - 5 - JEE MCQ

BITSAT Mathematics Test - 5 - JEE MCQ


Test Description

30 Questions MCQ Test - BITSAT Mathematics Test - 5

BITSAT Mathematics Test - 5 for JEE 2025 is part of JEE preparation. The BITSAT Mathematics Test - 5 questions and answers have been prepared according to the JEE exam syllabus.The BITSAT Mathematics Test - 5 MCQs are made for JEE 2025 Exam. Find important definitions, questions, notes, meanings, examples, exercises, MCQs and online tests for BITSAT Mathematics Test - 5 below.
Solutions of BITSAT Mathematics Test - 5 questions in English are available as part of our course for JEE & BITSAT Mathematics Test - 5 solutions in Hindi for JEE course. Download more important topics, notes, lectures and mock test series for JEE Exam by signing up for free. Attempt BITSAT Mathematics Test - 5 | 40 questions in 50 minutes | Mock test for JEE preparation | Free important questions MCQ to study for JEE Exam | Download free PDF with solutions
BITSAT Mathematics Test - 5 - Question 1

If cos 20° = k and cos x = 2k2-1, then the possible values of x between 0° and 360° are

Detailed Solution for BITSAT Mathematics Test - 5 - Question 1

BITSAT Mathematics Test - 5 - Question 2

sin2 25° + sin265° is equal to 

Detailed Solution for BITSAT Mathematics Test - 5 - Question 2

sin2 25° = sin2 65°
= sin2 25° + sin2 (90° - 25°)
= sin2 25° + cos2 25° = 1

BITSAT Mathematics Test - 5 - Question 3

cos 1° cos 2° cos 3°.... cos 179° is equal to 

Detailed Solution for BITSAT Mathematics Test - 5 - Question 3

The given product contains the factor cos 90° = 0.

BITSAT Mathematics Test - 5 - Question 4

Which of the following is correct ?

Detailed Solution for BITSAT Mathematics Test - 5 - Question 4

cos 2 = cos 114° 35’ 30” is surely negative.

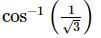
BITSAT Mathematics Test - 5 - Question 5

Detailed Solution for BITSAT Mathematics Test - 5 - Question 5

BITSAT Mathematics Test - 5 - Question 6

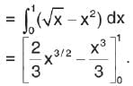
The area enclosed between the curves y = x2 and x = y2 is

Detailed Solution for BITSAT Mathematics Test - 5 - Question 6

The two curves must in (0,0) and (1,1).
∴ Required area lies above the curve y = x2 and below x = y2 is

BITSAT Mathematics Test - 5 - Question 7

The differential coefficient of log (I log xl) with respect to log x is

Detailed Solution for BITSAT Mathematics Test - 5 - Question 7

Let, y = log (Hog xl) and z = log x,
then 

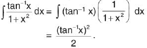
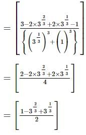
BITSAT Mathematics Test - 5 - Question 8

is equal to 

Detailed Solution for BITSAT Mathematics Test - 5 - Question 8


= log(√2+1).

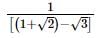
BITSAT Mathematics Test - 5 - Question 9

is equal to

Detailed Solution for BITSAT Mathematics Test - 5 - Question 9


= log (√2 + 1)

BITSAT Mathematics Test - 5 - Question 10

Length of the tangent from (2,1) to the circle x2 + y2 + 4y + 3 = 0 is

Detailed Solution for BITSAT Mathematics Test - 5 - Question 10

Required length = 

BITSAT Mathematics Test - 5 - Question 11

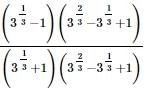
If  then what is the standard deviation of all the terms?

Detailed Solution for BITSAT Mathematics Test - 5 - Question 11

Let 
Therefore,

Hence, this is the required solution.

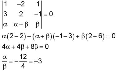
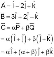
BITSAT Mathematics Test - 5 - Question 12

Consider the given three vectors:

If are coplanar, then what is the value of

Detailed Solution for BITSAT Mathematics Test - 5 - Question 12


Since, are coplanar,

BITSAT Mathematics Test - 5 - Question 13

A person is to select an onto function from all the functions F: A → A, where A = {2, 4, 6, 8, 10, 12, 14}. Find the probability of selecting onto function.

Detailed Solution for BITSAT Mathematics Test - 5 - Question 13

Total number of functions = 77
Number of onto functions = 7!
Therefore,
required probability =
Hence, this is the required solution.

BITSAT Mathematics Test - 5 - Question 14

Consider the equations given below:
y = (1 - x)2
y = 0
x = 0
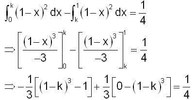
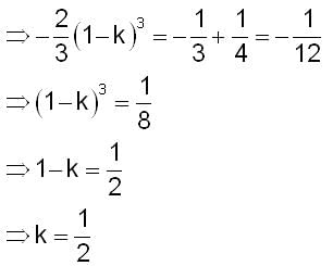
A straight line representing x = k separates the area enclosed by the above curves. Say both the areas are A1 (0 ≤ x ≤ k) and A2 (k ≤ x ≤ 1). If A1 - A2 = 1/4 , then what is the value of k?

Detailed Solution for BITSAT Mathematics Test - 5 - Question 14

Here, area between 0 and k is A1, and between k and 1 is A2. Therefore,

BITSAT Mathematics Test - 5 - Question 15

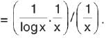
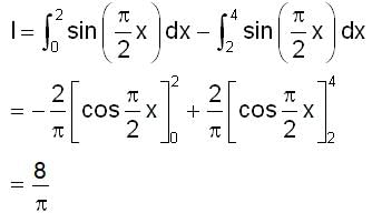
Evaluate 

Detailed Solution for BITSAT Mathematics Test - 5 - Question 15

Consider the given expression:

Since is positive when 0 < x < 2, and negative when 2< x < 4.
Therefore,

Therefore,

Hence, this is the required solution.

BITSAT Mathematics Test - 5 - Question 16

Consider the function given below:

Which of the following statements is true?

Detailed Solution for BITSAT Mathematics Test - 5 - Question 16

Consider the given expression:

Differentiate both sides with respect to x.

Hence, this is the required solution.

BITSAT Mathematics Test - 5 - Question 17

Consider the given function:
f(x) = |x - 3| + |x| + |x + 3|
The function is

Detailed Solution for BITSAT Mathematics Test - 5 - Question 17

Consider the graph of the above function.

Therefore,
the function is not differentiable at x = -3, 0, 3.
Hence, this is the required solution.

BITSAT Mathematics Test - 5 - Question 18

Evaluate:

Detailed Solution for BITSAT Mathematics Test - 5 - Question 18

Consider the given expression.

Hence, this is the required solution.

BITSAT Mathematics Test - 5 - Question 19

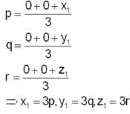
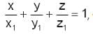
Points of intersection of a plane on the coordinate axes are P, Q and R. If (a, b, c) is the intersection point of the medians of ∆PQR, then what is the equation of the plane?

Detailed Solution for BITSAT Mathematics Test - 5 - Question 19

We know that the intercept form of the equation of a plane is
where x1, y1 and z1 are the intercepts made by the plane on the axes.
Therefore,

Therefore, the equation of the plane is

Hence, this is the required solution.

BITSAT Mathematics Test - 5 - Question 20

The fraction is equivalent to

Detailed Solution for BITSAT Mathematics Test - 5 - Question 20

We can write the given expression as

Multiplying numerator and denominator by the conjugate of

BITSAT Mathematics Test - 5 - Question 21

The roots of the equation x -2 - 2x - 1 = 8 are

Detailed Solution for BITSAT Mathematics Test - 5 - Question 21

Given:

BITSAT Mathematics Test - 5 - Question 22

The total number of solutions of the system of equations 5x−y=3,y2−6x2=25 are

Detailed Solution for BITSAT Mathematics Test - 5 - Question 22

The given equations are
5x−y=3 ...(i)
y2−6x2=25 ...(ii)
From (i), we have
y = 5x - 3
Substituting this value of y in (ii), we get
(5x−3)−6x= 25
⇒19x2 − 30x − 16 = 0
⇒19x2−38x+8x−16=0
⇒19x (x − 2) + 8(x − 2)=0
⇒(19x + 8)(x − 2)=0

And substituting these values in (i), we get

BITSAT Mathematics Test - 5 - Question 23

The roots of the equationare

Detailed Solution for BITSAT Mathematics Test - 5 - Question 23

Given:


Hence,

BITSAT Mathematics Test - 5 - Question 24

Express with rational denominator 

Detailed Solution for BITSAT Mathematics Test - 5 - Question 24

Given, 

In order to rationalise we will first obtain the rationalising factor of

Therefore, the rationalising factor is

Now multiplying and dividing the given expression by we get

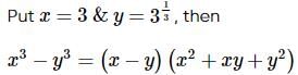
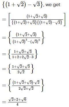
BITSAT Mathematics Test - 5 - Question 25

Expresswith rational denominator.

Detailed Solution for BITSAT Mathematics Test - 5 - Question 25

Given, 
In order to rationalise we will first obtain the rationalising factor of 

Therefore, the rationalising factor is

Now multiplying and dividing the given expression by (i), we have

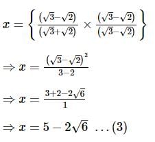
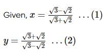
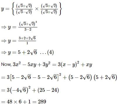
BITSAT Mathematics Test - 5 - Question 26

Detailed Solution for BITSAT Mathematics Test - 5 - Question 26


Multiplying and dividing (1)by (–√3−√2), we get

Now, multiplying and dividing (2) by (√3 + √2), we get

BITSAT Mathematics Test - 5 - Question 27

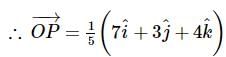
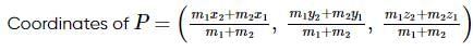
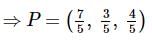
Let A(1,−1,2) A and B(2,3,−1) be two points. If a point P P divides AB AB internally in the ratio 2:3, then the position vector of P is

Detailed Solution for BITSAT Mathematics Test - 5 - Question 27

If A(x1, y1, z1)  & B(x2, y2, z2) and P divides AB internally in ratio m1:m2 then



BITSAT Mathematics Test - 5 - Question 28

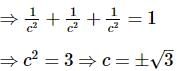
If the direction cosines of a line are then

Detailed Solution for BITSAT Mathematics Test - 5 - Question 28

As we know if direction cosines of a line are (l,m,n) then l2+m2+n2=1
Since direction cosines of line are 

BITSAT Mathematics Test - 5 - Question 29

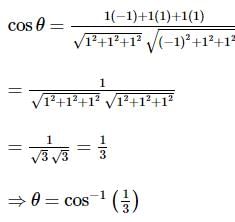
The angle between two diagonals of a cube is

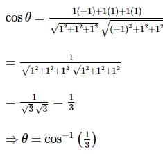
Detailed Solution for BITSAT Mathematics Test - 5 - Question 29

Let edge of a cube be 1 units. The diagonals of a cube are OA and BC. So, DR's of diagonals OA are (1, 1, 1) and BC are (0, -1, 1, 1), i.e., (-1, 1, 1)

Now, angle between diagonals,

BITSAT Mathematics Test - 5 - Question 30

The angle between two diagonals of a cube is

Detailed Solution for BITSAT Mathematics Test - 5 - Question 30

Let edge of a cube be 1 units. The diagonals of a cube are OA and BC. So, DR's of diagonals OA are (1, 1, 1) and BC are (0, -1, 1, 1), i.e., (-1, 1, 1)

Now, angle between diagonals,

View more questions
Information about BITSAT Mathematics Test - 5 Page
In this test you can find the Exam questions for BITSAT Mathematics Test - 5 solved & explained in the simplest way possible. Besides giving Questions and answers for BITSAT Mathematics Test - 5, EduRev gives you an ample number of Online tests for practice
Download as PDF