JEE Exam  >  JEE Tests  >  BITSAT Mock Test - 1 - JEE MCQ

BITSAT Mock Test - 1 - JEE MCQ


Test Description

30 Questions MCQ Test - BITSAT Mock Test - 1

BITSAT Mock Test - 1 for JEE 2025 is part of JEE preparation. The BITSAT Mock Test - 1 questions and answers have been prepared according to the JEE exam syllabus.The BITSAT Mock Test - 1 MCQs are made for JEE 2025 Exam. Find important definitions, questions, notes, meanings, examples, exercises, MCQs and online tests for BITSAT Mock Test - 1 below.
Solutions of BITSAT Mock Test - 1 questions in English are available as part of our course for JEE & BITSAT Mock Test - 1 solutions in Hindi for JEE course. Download more important topics, notes, lectures and mock test series for JEE Exam by signing up for free. Attempt BITSAT Mock Test - 1 | 130 questions in 180 minutes | Mock test for JEE preparation | Free important questions MCQ to study for JEE Exam | Download free PDF with solutions
BITSAT Mock Test - 1 - Question 1

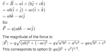
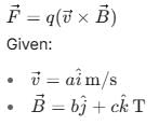
A particle of charge q moves with a velocity m/s in a magnetic field T, where a, b and c are constants. The magnitude of the force experienced by the particle is

Detailed Solution for BITSAT Mock Test - 1 - Question 1

The magnetic force on a charged particle is:

Compute the cross product:

BITSAT Mock Test - 1 - Question 2

A man is swimming perpendicular to a river with a constant acceleration (in y direction). The river is flowing with a constant velocity in x direction. The trajectory of the man as seen from the ground is

Detailed Solution for BITSAT Mock Test - 1 - Question 2

Let velocity of the river be and velocity of the person w.r.t. river
Velocity of the person w.r.t. ground

or,

Displacement of the person along x-axis in time t w.r.t. earth
------1
Displacement of the person along y-axis in time t
----- 2, where a is the acceleration of the person
From 1 and 2, we have

Hence, trajectory of the person w.r.t. earth is a parabola.

BITSAT Mock Test - 1 - Question 3

Two coils A and B, each of 10 turns and radius 20 cm, are held such that coil A lies in the vertical plane and coil B in the horizontal plane with their centres coinciding. What current should be passed through the coils so as to nullify Earth's magnetic field at their common centre?
(Given: Horizontal component of Earth's field = 0.314 x 10-4 T, angle of dip = 26.6o and tan 26.6o = 0.5)

Detailed Solution for BITSAT Mock Test - 1 - Question 3

Angle of dip (θ) = tan-1 (BV / BH) where BV and BH are the vertical and horizontal components of earth's field respectively. Thus
BV = BH tan(θ) = 0.314 × 10-4 × tan 26.6°
= 0.157 × 10-4 T
If the plane of the vertical coil A is perpendicular to the magnetic meridain, the field produced by it can neutralize the horizontal component of earth's field if
μ0I A n / 2 r = BH
or (4π x 10-7 x I A x 10) / (2 x 0.2) = 0.314 × 10-4
which gives IA = 1 A.
Similarly, the magnetic field produced by the horizontal coil B will be vertical and will neutralize the vertical component BV of the earth's field, if
μ0I B n / 2 r = BV
or (4π x 10-7 x I B x 10) / (2 x 0.2) = 0.157 × 10-4
which gives IB = 0.5 A.
Hence the correct choices is (4).

BITSAT Mock Test - 1 - Question 4

The height of a solid cylinder is four times its radius. It is kept vertically at time t = 0 on a belt, which is moving in the horizontal direction with a velocity v = 2.45 t2, where v is in ms–1 and t is in seconds. If the cylinder does not slip, then it will topple over at time t equal to

Detailed Solution for BITSAT Mock Test - 1 - Question 4



BITSAT Mock Test - 1 - Question 5

If g is the acceleration due to gravity on the surface of the Earth, then the gain in potential energy of an object of mass m raised from the Earth's surface to a height equal to the radius R of the earth is

Detailed Solution for BITSAT Mock Test - 1 - Question 5

If M is the mass of the earth, the gain in potential energy is given by

Hence the correct choice is (2). Remember, the expression PE = mgh is an approximate one which is valid if h << R.

BITSAT Mock Test - 1 - Question 6

Two point charges q1 = 2μC and q2 = 1μC are placed at distances b = 1 cm and a = 2 cm from the origin on the y-axis and x-axis as shown in the figure. The electric field vector at point P(a, b) will subtend an angle θ with the x-axis given by

Detailed Solution for BITSAT Mock Test - 1 - Question 6

The electric field E1 at (a, b) due to q1 has a magnitude


And is directed along + x-axis. The electric field E2 at (a, b) due to q2 has a magnitude
And is directed along + y-axis. The angle θ subtended by the resultant field E with the x-axis is given by
Hence, the correct choice is (B).

BITSAT Mock Test - 1 - Question 7

The magnetic field at the centre of a circular coil of radius r and carrying a current I is B. What is the magnetic field at a distance x =√3r from the centre on the axis of the coil?

Detailed Solution for BITSAT Mock Test - 1 - Question 7

BITSAT Mock Test - 1 - Question 8

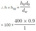
A tank is filled with water of density 1 g/cm3 and oil of density 0.9 g/cm3. The height of water layer is 100 cm and that of oil layer is 400 cm. If g = 980 cm/s2, then the velocity of efflux from an opening in the bottom of the tank will be

Detailed Solution for BITSAT Mock Test - 1 - Question 8

Let dw and do be the densities of water and oil, then the pressure at the bottom of the tank = hwdwg + h0d0g
Let this pressure be equivalent to pressure due to water of height h. Then hdwg = hwdwg + h0d0g

= 100 + 360 = 460
According to Toricelli's theorem,

BITSAT Mock Test - 1 - Question 9
Choose the incorrect statement.
Detailed Solution for BITSAT Mock Test - 1 - Question 9
Surface tension of a liquid decreases with increase in temperature because of decrease in intermolecular forces of attraction.
BITSAT Mock Test - 1 - Question 10

Match the following:

Detailed Solution for BITSAT Mock Test - 1 - Question 10

BITSAT Mock Test - 1 - Question 11

If 0.1 M of a weak acid is taken and its percentage of degree of ionisation is 1.34%, then its ionisation constant will be

Detailed Solution for BITSAT Mock Test - 1 - Question 11

According to Ostwald's dilution law,
Ka = , where Ka = Equilibrium constant for weak acid
C = Concentration
α = Degree of ionisation of weak acid (HA)
For very weak acid, α <<<< 1 or 1 - α = 1
Ka = Cα2
Or,
C = 0.1 M, α = 1.34% = 0.0134
Ka = 0.1 x (1.34 10-2)2
= 1.79 x 10-5

BITSAT Mock Test - 1 - Question 12

Compare the acidic strengths of the following carboxylic acids:
(i) PhCOOH
(ii) o-NO2C6H4COOH
(iii) p-NO2C6H4COOH
(iv) m-NO2C6H4COOH
Which of the following orders is correct?

Detailed Solution for BITSAT Mock Test - 1 - Question 12

The increasing order of the acidic strength is:

-NO2 group is electron withdrawing at all positions and increases the acidic strength. Hence, benzoic acid has the least acidic strength among the given options.
The effect is more significant at the ortho and para positions due to the -R effect.
However, o-Benzoic is the most acidic due to the ortho effect. Moreover, the carboxylate ion formed in this case is the most stable due to the intramolecular H-bonding.

BITSAT Mock Test - 1 - Question 13

Directions: In the following question, some part of the sentence may have an error of grammar or syntax. Find out which part of the sentence has the error and choose the correct option. If the sentence is free from errors, "No error" is the answer.
I was surprised (A)/ when the hostess smiled (B)/ as if she saw me before. (C)/ No error (D)

Detailed Solution for BITSAT Mock Test - 1 - Question 13

The sentence is in past tense. The use of 'before' indicates an earlier past event. To show the earlier activity in the past, we use 'past perfect'. So, the correct phrase should be 'as if she had seen me before'.

BITSAT Mock Test - 1 - Question 14

Directions: Find the wrong term in the following series.
49, 49, 50, 54, 60, 79, 104

Detailed Solution for BITSAT Mock Test - 1 - Question 14

The series should follow increments of squares: 02,12,22,32,42,52. thus:
49 + 0 = 49
49 + 1 = 50
50 + 4 = 54
54 + 9 = 63
63 + 16 = 79
79 + 25 = 104
Thus, 60 is the wrong term in the series.

BITSAT Mock Test - 1 - Question 15

Directions: In the following question, there is a certain relationship between the two terms given to the left of the sign (: :). The same relationship exists between the two terms to its right, out of which one is missing. Find the missing term from the given alternatives.
RSQ : UVT : : XYW : ?

Detailed Solution for BITSAT Mock Test - 1 - Question 15

As,
R + 3 = U
S + 3 = V
Q + 3 = T
Similarly,
X + 3 = A
Y + 3 = B
W + 3 = Z
Hence, ABZ is the correct answer.

BITSAT Mock Test - 1 - Question 16

From the given alternatives, find the correct relationship that holds between two terms:
FJUL : BOQQ :: LHRX : _________

Detailed Solution for BITSAT Mock Test - 1 - Question 16

Expression: FJUL : BOQQ :: LHRX :
The pattern followed is:

Similarly, LHRX : HMNC

BITSAT Mock Test - 1 - Question 17

Directions: Select the related number from the given alternatives.
36 : 216 : : 81 : ?

Detailed Solution for BITSAT Mock Test - 1 - Question 17

(6)2 = 36 and (6)3 = 216
Similarly,
(9)2 = 81 and (9)3 = 729

BITSAT Mock Test - 1 - Question 18

To whom is Chhaya married?

Detailed Solution for BITSAT Mock Test - 1 - Question 18

From the given information, two conclusions can be obtained:
1. Anand is not married to Bharti or Chhaya, i.e. Anand can be married to either Divya or Alka.

2. Basant and Diganto are not married to Divya or Bharti, i.e. Basant and Diganto are married to Alka or Chhaya.

From these two conclusions, we can see that since Alka would be married to either Basant or Diganto, Anand would surely be married to Divya, which leaves Chetan and Bharti as a pair as well. This gives two final possible sets of pairs of males and females.
1. When Basant is married to Alka

2. When Basant is married to Chhaya

Following these two possibilities, the partners of Basant and Diganto, i.e. Chhaya and Alka cannot be known for sure without any more information.
Therefore, it cannot be determined whom Chhaya is married to.

BITSAT Mock Test - 1 - Question 19

Directions: Select the one which best expresses the same sentence in passive/active voice.
His pocket has been picked.

Detailed Solution for BITSAT Mock Test - 1 - Question 19

Whenever the subject is missing in the passive voice, we provide it while changing into the active voice. Indefinite pronoun 'someone' is the correct subject supplied. 'His pocket' will become the object in passive voice. Hence, option D is the correct answer.

BITSAT Mock Test - 1 - Question 20

If the number of terms in the expansion of (x - 2y + 3z)n is 45, then what is the value of n?

Detailed Solution for BITSAT Mock Test - 1 - Question 20

Since the number of terms in (x1 + x2 + x3 + ... + xm)n is n + m - 1Cm - 1, the number of terms in (x - 2y + 3z)n, where m = 3, is n + 3 - 1C3 - 1.
= (n + 1) (n + 2) / 2
We must have (n + 1) (n + 2) / 2 = 45
⇒ (n + 1)(n + 2) = 90
⇒ n = 8

BITSAT Mock Test - 1 - Question 21

If θ is an acute angle and sin θ/2 = √[(x - 1) / 2x)], then tan θ is equal to

Detailed Solution for BITSAT Mock Test - 1 - Question 21

sin θ/2 = √[(x - 1) / 2x)]
sin θ/2 = √[(1 - (1 / x) / 2)]
⇒ θ is acute
Hence, sin θ/2 = + (Positive)
Therefore, by formula, sin θ/2 = √[(1 - cosθ) / 2]
cosθ = 1 / x
or, sec θ = x
Also, 1 + tan2 θ = sec2 θ
1 + tan2 θ = x2
tan2 θ = x2 - 1
tan θ = √(x2 - 1)
Hence, option (2) is correct.

BITSAT Mock Test - 1 - Question 22

The solution of (dy / dx) + 1 = cosec (x + y)  is

Detailed Solution for BITSAT Mock Test - 1 - Question 22

∵ (dy/dx) + 1 = cosec (x + y)
Let x + y = t
⇒ 1 + (dy/dx) = dt/dx = cosec t
∴ dt / cosec t = dx
On integrating both sides, we get
∫ sin t dt = ∫ dx
⇒ - cos t = x + c'
⇒ cos (x + y) + x = c

BITSAT Mock Test - 1 - Question 23

If the focal chord of y2 = 16x is tangent to (x - 6)2 + y2 = 2, then the possible values of slope of the given chord is

Detailed Solution for BITSAT Mock Test - 1 - Question 23

Focus of y2 = 16x is (4, 0)
∴ Equation of straight line is
y - 0 = m(x - 4)
mx - y - 4m = 0;
it is tangent to (x - 6)2 + y2 = 2
Distance of tangent from centre = radius
[(|6m - 0 - 4m| / √(m² + 1))] = √2
⇒ Squaring we get m2 + 1 = 2m2
m = ±1

BITSAT Mock Test - 1 - Question 24

The value of

Detailed Solution for BITSAT Mock Test - 1 - Question 24

BITSAT Mock Test - 1 - Question 25

There are n different books and m copies of each in a college library. The number of ways in which a selection of one or more books can be done is

Detailed Solution for BITSAT Mock Test - 1 - Question 25

For each book, we may take 0, 1, 2, 3, ... m copies.
∴ We may deal with each book in (m + 1) ways and with all the books in (m + 1)n ways.
But, this includes the case where all books are rejected and no selection is made.
So, the number of ways in which selection can be made = (m + 1)n − 1

BITSAT Mock Test - 1 - Question 26
In a series of consecutive numbers, the sum of even numbers between 1 and m is 39,800, where m is not an even number. Which of the following is the value of m?
Detailed Solution for BITSAT Mock Test - 1 - Question 26
From question,
Sum of first n even terms, 2 + 4 + 6 + … n terms = n(n + 1)
Hence, n(n + 1) = 39800
Or n2 + n = 39800
Or (n + 200)(n - 199) = 0
Or n = 199 (Considering positive value of n)
So, m is 200th odd number.
Hence, m = 2 x 200 - 1 = 399
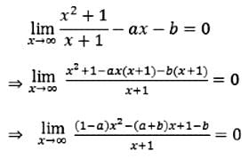
BITSAT Mock Test - 1 - Question 27

If , then

Detailed Solution for BITSAT Mock Test - 1 - Question 27


if f coefficient of x2 = 0 and coefficient of x = 0
⇒ (1 - a) = 0 and - (a + b) = 0
⇒ a = 1 and b = -1

BITSAT Mock Test - 1 - Question 28

The area of the triangle formed by the line x + y = 3 and the angle bisector of the pair of lines x2 - y2 + 2y = 1 is

Detailed Solution for BITSAT Mock Test - 1 - Question 28

x² - y² + 2y = 1
⇒ x² - (y² - 2y + 1) = 0
⇒ x² - (y - 1)² = 0
⇒ (x + y - 1)(x - y + 1) = 0
So the lines are x + y - 1 = 0 and x - y + 1 = 0
Their angle bisectors are
(x + y - 1) / √(12 + 12) = ±  (x - y + 1) / √(12 + 12)
(x + y - 1) / √2 = ±  (x - y + 1) / √2
⇒ x + y - 1 = ± (x - y + 1) x + y - 1 = x - y + 1
or
x + y - 1 = -x + y - 1
⇒ 2y = 2 or 2x = 0 y = 1 or x = 0
Given x + y = 3
⇒ Base of triangle = 2 units
⇒ Height of triangle = 3 - 1 = 2 units
⇒ Area = 1/2 x base x height
= 1/2 x 2 x 2 = 2 sq. units.

BITSAT Mock Test - 1 - Question 29

How many words can be formed by taking four different letters of the word MATHEMATICS?

Detailed Solution for BITSAT Mock Test - 1 - Question 29

In the word MATHEMATICS, there are eight distinct letters.
M, A, T, H, E, I, C and S
We have to arrange 4 letters from them.
Therefore, number of ways =  8C4 × 4! = 1,680

BITSAT Mock Test - 1 - Question 30

The solution curves of the differential equation (xdx + ydy) √(x2 + y2)  = (xdy - ydx) (√(1 - x2 - y2)) are

Detailed Solution for BITSAT Mock Test - 1 - Question 30

Let
x = r cosθ, y = r sinθ
dx = cosθ dr - r sinθdθ,
dy = sinθ dr + r cosθdθ,
Hence,
xdx + ydy = r cosθ(cosθ dr - r sinθdθ) + r sinθ(sinθdr + r cosθdθ),
 = dθ ⇒ sin-1 r = θ + α
(xdx + ydy)/√(x² + y²) = r²dr
Similarly, (xdy - ydx)√1 - (x² + y²) = r² √1 - r² dθ
dr/√1 - r² = dθ ⇒ sin⁻¹ r = θ + α
r = sin(θ + α)
⇒ x2 + y2 - x sinα - y cosα = 0
∴ radius = 1/2

View more questions
Information about BITSAT Mock Test - 1 Page
In this test you can find the Exam questions for BITSAT Mock Test - 1 solved & explained in the simplest way possible. Besides giving Questions and answers for BITSAT Mock Test - 1, EduRev gives you an ample number of Online tests for practice
Download as PDF