JEE Exam  >  JEE Tests  >  BITSAT Mock Test - 3 - JEE MCQ

BITSAT Mock Test - 3 - JEE MCQ


Test Description

30 Questions MCQ Test - BITSAT Mock Test - 3

BITSAT Mock Test - 3 for JEE 2025 is part of JEE preparation. The BITSAT Mock Test - 3 questions and answers have been prepared according to the JEE exam syllabus.The BITSAT Mock Test - 3 MCQs are made for JEE 2025 Exam. Find important definitions, questions, notes, meanings, examples, exercises, MCQs and online tests for BITSAT Mock Test - 3 below.
Solutions of BITSAT Mock Test - 3 questions in English are available as part of our course for JEE & BITSAT Mock Test - 3 solutions in Hindi for JEE course. Download more important topics, notes, lectures and mock test series for JEE Exam by signing up for free. Attempt BITSAT Mock Test - 3 | 130 questions in 180 minutes | Mock test for JEE preparation | Free important questions MCQ to study for JEE Exam | Download free PDF with solutions
BITSAT Mock Test - 3 - Question 1

A brass rod of length 500 mm and diameter 3 mm is joined to a steel rod of same length and diameter at 50°C. If the coefficient of linear expansion of brass and steel are 2.5 × 10-5 °C-1 and 1.25 × 10-5 °C-1, then change in length of the combined rod at 200°C is

Detailed Solution for BITSAT Mock Test - 3 - Question 1

BITSAT Mock Test - 3 - Question 2

The velocity of a particle is v = v0 + gt + ft2. If its position is x = 0 at t = 0, then its displacement after unit time (t = 1s ) is

Detailed Solution for BITSAT Mock Test - 3 - Question 2

= v0 + gt + ft2
x = v0t + gt2 + ft3
At t = 0, x = 0
At t = 1s,

So, displacement is .

BITSAT Mock Test - 3 - Question 3

A simple pendulum consists of a sphere of mass m suspended by a thread of length l. The sphere carries a positive charge q. The pendulum is placed in a uniform electric field of strength E directed vertically upwards. With what period will the pendulum oscillate if the electrostatic force acting on the sphere is less than the gravitational force?

Detailed Solution for BITSAT Mock Test - 3 - Question 3

BITSAT Mock Test - 3 - Question 4

Current I is flowing through circular loop of radius r. It is placed in uniform magnetic field B0, so that its plane is perpendicular to B0. The torque on loop will be

Detailed Solution for BITSAT Mock Test - 3 - Question 4

Direction of the magnetic moment to current flowing in circular coil is parallel to external field so the torque acting on the loop will be zero.

BITSAT Mock Test - 3 - Question 5

In the following figure, the height of the object is H1 = + 2.5 cm. What is the height of the image of H1?

Detailed Solution for BITSAT Mock Test - 3 - Question 5

Since the given mirror is a concave mirror, the image formed will be inverted and double the size of the object.
Height of the object = 2.5 cm
Height of the image = – 5 cm; -ve sign indicates that the image is inverted.

BITSAT Mock Test - 3 - Question 6

Potassium sulphite is used in preserving squashes and other mildly acidic foods because

Detailed Solution for BITSAT Mock Test - 3 - Question 6

Potassium metabisulphite and potassium sulphite are used as a source of sulphur dioxide, which reacts with H2O to form sulphurous acid.
Sulphurous acid inhibits the growth of bacteria, fungi, yeast and moulds.
K2S2O5 → K2SO3 + SO2
SO2 + H2O → H2SO3

BITSAT Mock Test - 3 - Question 7

A compound possesses 8% sulphur by mass. The least molecular mass of the compound is

Detailed Solution for BITSAT Mock Test - 3 - Question 7

8% sulphur by mass means 8 g of sulphur is present in 100 g of compound.
Therefore, 32 g of sulphur (1 mole atom) will be present in 100/8 x 32 = 400 g of compound.
[∵ Compound must have at least one atom of sulphur]
Minimum molecular mass = 400 g

BITSAT Mock Test - 3 - Question 8
Which of the following compounds will have the highest coagulating power for a ferric hydroxide sol?
Detailed Solution for BITSAT Mock Test - 3 - Question 8
According to Hardy-Schulze law, the greater the valency of the active ion, the greater is the power to cause coagulation or coagulating power.
Since FeCl3 is a positively charged sol, the active ion in the electrolyte is the cation.
One mole of K3[Fe(CN)6] will produce 3 moles of K+ ions in the solution and hence, it has the highest coagulating power.
BITSAT Mock Test - 3 - Question 9

Which of the following statements are incorrect?
P. B3N3H6 is known as inorganic benzene.
Q. Boric acid is a dibasic acid.
R. Maximum co-valence of boron cannot exceed 4.
S. BF3 is a Lewis base.

Detailed Solution for BITSAT Mock Test - 3 - Question 9

Boric acid is a weak monobasic acid. It is not a protonic acid, but acts as a Lewis acid by accepting electrons from a hydroxyl ion:
B(OH)3 + 2H2O → [B(OH)4]- + H3O+
The number of electrons around the central atom in BF3 is only six. Such electron deficient molecules have tendency to accept a pair of electrons to achieve stable electronic configuration and thus, behave as Lewis acids.
Hence, both Q and S are incorrect.

BITSAT Mock Test - 3 - Question 10

The total number of electrons in NH4CI is

Detailed Solution for BITSAT Mock Test - 3 - Question 10

NH4Cl comprises NH4+ and Cl- ions.
NH4+ has 7 electrons of nitrogen and 3 electrons of hydrogen as 1 hydrogen is devoid of electrons.
Cl- has 18 electrons.
So, total = 7 + 3 + 18 = 28 electrons

BITSAT Mock Test - 3 - Question 11

Chemical (X) is used for water softening to remove temporary hardness. (X) reacts with sodium carbonate to generate caustic soda. When CO2 is bubbled through (X) ?

Detailed Solution for BITSAT Mock Test - 3 - Question 11

is used for water softening to remove temporary hardness.


BITSAT Mock Test - 3 - Question 12

Which of the following compounds burns to form an oxide, which is gaseous at room temperature?

Detailed Solution for BITSAT Mock Test - 3 - Question 12

H₂ + O₂ → H₂O(l)
P + O₂ → P₄O₁₀(s)
Ca + O₂ → CaO(s)
S + O₂ → SO₂(g)

BITSAT Mock Test - 3 - Question 13

Which of the following is the only amino acid which is non-chiral?

Detailed Solution for BITSAT Mock Test - 3 - Question 13

Glycine is the only amino acid with no asymmetric (chiral) carbon because it has two hydrogens attached to alpha carbon.

BITSAT Mock Test - 3 - Question 14

How many hydrogen bonds are present between a pair of thymine and adenine in DNA?

Detailed Solution for BITSAT Mock Test - 3 - Question 14

Adenine and thymine form two hydrogen bonds.

BITSAT Mock Test - 3 - Question 15

Directions: In the following question, choose the option which best expresses the meaning of the underlined part of the sentence.
The prisoners of war were subjected to bestial atrocities.

Detailed Solution for BITSAT Mock Test - 3 - Question 15

'Atrocity' (plural 'atrocities') denotes a behaviour or an action that is wicked, cruel or ruthless.

BITSAT Mock Test - 3 - Question 16

Directions: There is a certain relationship between the two terms to the left of the sign (: :). The same relationship exists between the two terms to its right, out of which one is missing. Find the missing term from the given alternatives.
ADE : FGJ : : KNO : ?

Detailed Solution for BITSAT Mock Test - 3 - Question 16

The first and third letters of the first term are each moved five steps forward, while the second letter is moved three steps forward to obtain the corresponding letters of the second term.
K + 5 = P
N + 3 = Q
O + 5 = T
Hence, option (2) is correct.

BITSAT Mock Test - 3 - Question 17

Directions: Find the missing term in the following series:
325, 259, 204, 160, 127, 105, ?

Detailed Solution for BITSAT Mock Test - 3 - Question 17

The pattern is: - 66, - 55, - 44, - 33, - 22, - 11, ……
So, missing term = 105 - 11 = 94

BITSAT Mock Test - 3 - Question 18

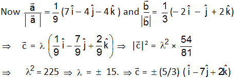
The vector directed along the internal bisector of the angle between the vectors = 7 - 4 - 4 and = -2 - + 2, with = , is

Detailed Solution for BITSAT Mock Test - 3 - Question 18

The required vector c is given by

BITSAT Mock Test - 3 - Question 19

Solving the differential equation + (sec x)y = tan x, we get

Detailed Solution for BITSAT Mock Test - 3 - Question 19

BITSAT Mock Test - 3 - Question 20

is equal to

Detailed Solution for BITSAT Mock Test - 3 - Question 20

BITSAT Mock Test - 3 - Question 21

If A and B be the subsets of X, then

Detailed Solution for BITSAT Mock Test - 3 - Question 21

Let p be any arbitrary element of A - B.
Then p ∈ (A - B)
⇒ p ∈ A and p ∉ B
⇒ p ∈ A and p ∈ BC
⇒ p ∈ A ∩ BC
∴ A - B A ∩ BC ...(i)
Again, let q be any arbitrary element of A ∩ BC. Then,
q ∈ A ∩ BC
⇒ q ∈ A and q ∈ BC
⇒ q ∈ A and q ∉ B
⇒ q ∈ A - B
∴ A ∩ BC (A - B) ...(ii)
Hence from (i) and (ii), we have
A - B = A ∩ BC

BITSAT Mock Test - 3 - Question 22

If g(x) = xf(x), where f(x) = x sin 1/x, then at x = 0,

Detailed Solution for BITSAT Mock Test - 3 - Question 22

g(x) = xf(x), where f(x) = x sin1/x
at x = 0
g(0) = 0 f(0)
= 0 (0) = 0
g'(0) =
=
=
also g'(x) = xf'(x) + f(x)
g'(x) = [xf' (x) + f(x)]
= 0 + f(0) = 0 + 0 = g'(0)
g'(x) = g'(0)
Hence g' is continuous and g(x) is differentiable.

BITSAT Mock Test - 3 - Question 23

When the length of the shadow of a pole is equal to the height of the pole, then the angle of elevation of the source of light is

Detailed Solution for BITSAT Mock Test - 3 - Question 23

Let,
AB be a pole of height h and BC = x be the shadow of pole and θ be the angle of elevation of the source of light. Given:
Lenght of shadow of pole = height of pole
⇒ x = h ........(1)

Now, from figure
tanθ = h/x
⇒ tan θ = 1     [∴ x = h]
⇒ θ = 45º.

BITSAT Mock Test - 3 - Question 24

If , then r equals

Detailed Solution for BITSAT Mock Test - 3 - Question 24

BITSAT Mock Test - 3 - Question 25

In an equilateral triangle, the ratio of the radii of incircle, circumcircle and excircle is

Detailed Solution for BITSAT Mock Test - 3 - Question 25

BITSAT Mock Test - 3 - Question 26

If 6 girls and 5 boys sit in a row, then the probability that no two boys sit together is

Detailed Solution for BITSAT Mock Test - 3 - Question 26

Six girls and five boys can sit in a row in 11! ways.
∴ exhaustive number of cases = 11!
Six girls can sit in a row in 6! ways and in each such arrangement there are 7 places between them in whcih boys can be sated in 7p5 ways. 
Therefore, the total number of ways in which two boys sit together = 6! 7p5.
Hence, requires probability
= (6! 7p5) / 11! = (6!7!) / (2!11!)

BITSAT Mock Test - 3 - Question 27

Detailed Solution for BITSAT Mock Test - 3 - Question 27

BITSAT Mock Test - 3 - Question 28

The area under the curve y = sin 2x + cos 2x between x = 0 and x = π/4 is

Detailed Solution for BITSAT Mock Test - 3 - Question 28

Required area
=
=
=
= 1 sq. unit

BITSAT Mock Test - 3 - Question 29

If

Detailed Solution for BITSAT Mock Test - 3 - Question 29

BITSAT Mock Test - 3 - Question 30

The straight lines x + y = 0, 3x + y − 4 = 0 and x + 3y − 4 = 0 form which of the following triangles?

Detailed Solution for BITSAT Mock Test - 3 - Question 30

First two lines intersect at (2, - 2)….(A).
The second line and the third line intersect at (1, 1)… (B).
The first line and the last line intersect at (- 2, 2)…(C).
Distance of A and C from B is equal, whereas AC is not equal to them. Hence, it is an isosceles triangle.

View more questions
Information about BITSAT Mock Test - 3 Page
In this test you can find the Exam questions for BITSAT Mock Test - 3 solved & explained in the simplest way possible. Besides giving Questions and answers for BITSAT Mock Test - 3, EduRev gives you an ample number of Online tests for practice
Download as PDF