JEE Exam  >  JEE Tests  >  BITSAT Mock Test - 7 - JEE MCQ

BITSAT Mock Test - 7 - JEE MCQ


Test Description

30 Questions MCQ Test - BITSAT Mock Test - 7

BITSAT Mock Test - 7 for JEE 2025 is part of JEE preparation. The BITSAT Mock Test - 7 questions and answers have been prepared according to the JEE exam syllabus.The BITSAT Mock Test - 7 MCQs are made for JEE 2025 Exam. Find important definitions, questions, notes, meanings, examples, exercises, MCQs and online tests for BITSAT Mock Test - 7 below.
Solutions of BITSAT Mock Test - 7 questions in English are available as part of our course for JEE & BITSAT Mock Test - 7 solutions in Hindi for JEE course. Download more important topics, notes, lectures and mock test series for JEE Exam by signing up for free. Attempt BITSAT Mock Test - 7 | 130 questions in 180 minutes | Mock test for JEE preparation | Free important questions MCQ to study for JEE Exam | Download free PDF with solutions
BITSAT Mock Test - 7 - Question 1

A charge Q is placed at the mouth of a conical flask. The flux of the electric field through the flask is

Detailed Solution for BITSAT Mock Test - 7 - Question 1

Charge associated with the conical flask is Q/2, Hence, flux through the conical flask is .Q/20

BITSAT Mock Test - 7 - Question 2

Directions: The following figure shows an experimental arrangement given by Fresnel. It consists of two plane mirrors inclined at an angle of 12 minutes of arc. The distances from the mirrors' intersection to the side 'S' and the screen are 10 cm and 130 cm, respectively. The wavelength of light in Fresnel double mirrors can be looked upon as modified YDSE. Here, the two coherent sources are virtual and mirror images of S. Interference is obtained due to reflected light from the two mirrors. Interference pattern consists of alternate bright and dark fringes similar to YDSE, but with a difference that interference pattern is limited to overlapping region. Fringe width and position of maxima and minima is given by similar expression as in YDSE.

The number of possible fringes formed on the screen is

Detailed Solution for BITSAT Mock Test - 7 - Question 2

The fringes are hyperbolic as the distance difference of a bright fringe from two sources is a constant.
Distance between the two sources is 's' and if the angle between the two mirrors is θ, then
d = 2rθ
Fringe width

Range of fringe formation = 130 x 20 = 130 x 24/60 x π/180 = x
x = 0.907 cm or 9.07 mm
x/w = 8.24 so we can say 8 fringes are observed

BITSAT Mock Test - 7 - Question 3

A shell of mass 2 m, fired with a speed u at an angle θ to the horizontal, explodes at the highest point of its trajectory into two fragments of mass m each. If one fragment falls vertically, the distance at which the other fragment falls from the gun is given by

Detailed Solution for BITSAT Mock Test - 7 - Question 3

At the highest point of trajectory, the projectile has only a horizontal velocity which is u cos θ. After explosion, the fragment falling downwards has no horizontal velocity. If u' is the horizontal velocity of the other fragment, the law of conservation of momentum gives
(2m) u cos θ = m × 0 + mu'
which gives u' = 2u cos θ
Now, the time taken to reach the highest point (as well as the time taken to fall down from this point) is (υ sin θ) / g.
Therefore, the horizontal distance travelled by the other fragment is
u cos θ × (υ sin θ) / g + 2 u cos θ × (υ sin θ) / g
=
Hence the correct choice is (2).

BITSAT Mock Test - 7 - Question 4

A right-angled prism is to be made by selecting a proper material and angles A and B (B ≤ A), as shown in the figure. It is desired that a ray of light incident on face AB emerges parallel to the incident direction after two internal reflections. What should be the minimum refractive index (n) for this to be possible?

Detailed Solution for BITSAT Mock Test - 7 - Question 4

Referring to Fig. the path of the ray is PQRS suffering internal reflections at Q and R.
It is clear from the figure that angles α and β should be greater than the critical angle given by
sin ic = 1/n

Also angle A = α and angle B = β. Since A ≥ B; β ≤ α, the minimum value of n is given by 1/n ≤ sin β
∴ nmin = 1/sinβ = 1/sinB
So the correct choice is (2).

BITSAT Mock Test - 7 - Question 5

The figure shows a series LCR circuit connected to a variable frequency 200 V source. If L = 5 H, C = 80 F and R = 40 , then what is the impedance of the circuit at resonance?

Detailed Solution for BITSAT Mock Test - 7 - Question 5

BITSAT Mock Test - 7 - Question 6

Two carts of masses 200 kg and 300 kg, standing on horizontal straight rails, are pushed apart by an explosion of a device kept in the connecting mechanism of carts. The coefficient of friction between carts and rails is identical. If the 200 kg cart travels a distance 36 m and stops, then what is the distance covered by the cart weighing 300 kg? 

Detailed Solution for BITSAT Mock Test - 7 - Question 6

Apply conservation of momentum

E1 and E2 are the kinetic energies after explosion and W1 and W2 are the work done in stopping the carts by friction force (= mg).

BITSAT Mock Test - 7 - Question 7

A ray of light enters a rectangular glass slab of refractive index μ = √3 at an angle of incidence i = 60°. It travels a distance d = 6.0 cm inside the slab before emerging out of it. The lateral displacement of the incident ray is

Detailed Solution for BITSAT Mock Test - 7 - Question 7

BITSAT Mock Test - 7 - Question 8

In a resonance tube experiment, the first and the second resonance with a given tuning fork were observed at 16.7 cm and 51.7 cm, respectively. The wavelength as deduced from the data is:

Detailed Solution for BITSAT Mock Test - 7 - Question 8

BITSAT Mock Test - 7 - Question 9

A body 'x' with a momentum 'p' collides with another identical stationary body 'y', one-dimensionally. During the collision, 'y' gives an impulse 'J' to the body 'x'. Then, the coefficient of restitution is

Detailed Solution for BITSAT Mock Test - 7 - Question 9

BITSAT Mock Test - 7 - Question 10

An alloy of Pb-Ag weighing 1.08 g was dissolved in dilute HNO3 and the total volume was made to be 100 mL. A silver electrode was dipped in the solution and the emf of the cell set up Pt(s), H2(g) | H+(1M) || Ag+ (aq) | Ag(s) was 0.62 V. If Eocell = 0.80 V, then what is the percentage of Ag in the alloy?
[At 25oC, RT/F = 0.06]

Detailed Solution for BITSAT Mock Test - 7 - Question 10

BITSAT Mock Test - 7 - Question 11

x moles of potassium dichromate oxidise 1 mole of ferrous oxalate in the acidic medium. Here, x is

Detailed Solution for BITSAT Mock Test - 7 - Question 11

The reaction of oxidation of ferrous oxalate by potassium dichromate in an acidic medium is written as
2FeC2O4 + + 14H+ → 2Fe3+ + 2Cr3+ + 4CO2 + 7H2O
2 moles of FeC2O4 are oxidised by 1 mole of .
1 mole of FeC2O4 will be oxidised by 0.5 mole of .

BITSAT Mock Test - 7 - Question 12

Directions: Select the Answer figure in which the given Question figure is hidden.

Detailed Solution for BITSAT Mock Test - 7 - Question 12

BITSAT Mock Test - 7 - Question 13

Directions: Identify the Answer figure from which the pieces given in Question figure have been cut.

Detailed Solution for BITSAT Mock Test - 7 - Question 13

By visualisation, it is clear that all the components of Questions figure are present in Answer figure (D).

BITSAT Mock Test - 7 - Question 14

Directions: Select one figure from the answer figures which will continue the same series as given in the problem figures.

Detailed Solution for BITSAT Mock Test - 7 - Question 14

Problem figure (5) is the same as figure (1). So, the answer figure will be the same as figure (2). Hence, the correct option is (2).

BITSAT Mock Test - 7 - Question 15

Which of the Answer figures will complete the pattern in the Question figure?

Detailed Solution for BITSAT Mock Test - 7 - Question 15

Answer figure (C) completes the pattern in the Question figure.

BITSAT Mock Test - 7 - Question 16

Directions: In the following question, choose the word which best fills the blank from the four options given.
Hardly would anyone ___________ that this straw could start a revolution.

Detailed Solution for BITSAT Mock Test - 7 - Question 16

Straw could start a revolution' is hard to believe.

BITSAT Mock Test - 7 - Question 17

Directions: Select one figure from the 'Answer Figures' which will continue the same series as given in the 'Problem Figures'.

Detailed Solution for BITSAT Mock Test - 7 - Question 17

First figure resembles the figure in fourth step, second figure resembles the figure in fifth step, third figure resembles the figure in (c) and each time a figure reappears, it rotates through 90o anti-clockwise.

BITSAT Mock Test - 7 - Question 18

Directions: The second figure of the Problem figures bears a certain relationship to the first figure. Similarly, one of the figures in Answer Figures bears the same relationship to the third figure. You have to select the figure from the set of Answer figures which would replace the sign of question mark (?).

Detailed Solution for BITSAT Mock Test - 7 - Question 18

The main figure rotates 45o clockwise and two leaves are added to the main figure in a specific order.

BITSAT Mock Test - 7 - Question 19

Directions: A piece of paper is folded and punched as shown below.
How will this paper look, when it is unfolded completely?

Detailed Solution for BITSAT Mock Test - 7 - Question 19


Hence, option 3 is correct.

BITSAT Mock Test - 7 - Question 20

Directions: This question consists of five unmarked figures followed by four figures numbered (1), (2), (3) and (4). Select a figure from the marked figures which will continue the series established by the unmarked figures.

Detailed Solution for BITSAT Mock Test - 7 - Question 20


BITSAT Mock Test - 7 - Question 21

Evaluate .

Detailed Solution for BITSAT Mock Test - 7 - Question 21

BITSAT Mock Test - 7 - Question 22

In a moderately skewed distribution, the values of mean and median are 5 and 6, respectively. The value of mode in such a situation is approximately equal to

Detailed Solution for BITSAT Mock Test - 7 - Question 22

BITSAT Mock Test - 7 - Question 23

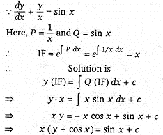
The solution of the differential equation = sin x is

Detailed Solution for BITSAT Mock Test - 7 - Question 23

BITSAT Mock Test - 7 - Question 24

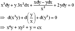
The solution of the differential equation (x5 + x + 2x2y) dy + (3x4y - y) dx = 0 is

Detailed Solution for BITSAT Mock Test - 7 - Question 24

Divide both sides by x2

BITSAT Mock Test - 7 - Question 25

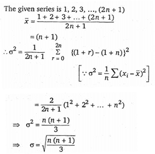
The standard deviation of the first (2n + 1) natural numbers is

Detailed Solution for BITSAT Mock Test - 7 - Question 25

BITSAT Mock Test - 7 - Question 26

is equal to

Detailed Solution for BITSAT Mock Test - 7 - Question 26

Given series can be rewritten as

Now,
= tan-1 (r + 1) - tan-1(r)

= tan-1 (n + 1) - tan-1 (1)

BITSAT Mock Test - 7 - Question 27

The value of the determinant is

Detailed Solution for BITSAT Mock Test - 7 - Question 27

BITSAT Mock Test - 7 - Question 28

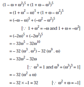
If 1, ω, ω2 be the cube roots of unity, then (1 − ω + ω2)5 + (1 + ω − ω2)5 is equal to

Detailed Solution for BITSAT Mock Test - 7 - Question 28

BITSAT Mock Test - 7 - Question 29

What will be the value of 'k', if = ?

Detailed Solution for BITSAT Mock Test - 7 - Question 29

= 3(1)3 - 1 = 3
= x = 4k3 ÷ = 4k3 3k2
= = k
=
3 = k
= k
k =

BITSAT Mock Test - 7 - Question 30

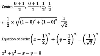
The intercept on the line y = x by the circle x2 + y2 – 2x = 0 is AB. The equation of the circle with AB as a diameter is:

Detailed Solution for BITSAT Mock Test - 7 - Question 30

y = x -------(1)
x2 + y2 – 2x = 0 -------(2)
Put y = x in equation (2)
x2 + x2 - 2x = 0
x = 0 and 1
when x = 0, y = 0
and x = 1 , y = 0
So, end points of the diameter are (0, 0) and (1 ,1).

View more questions
Information about BITSAT Mock Test - 7 Page
In this test you can find the Exam questions for BITSAT Mock Test - 7 solved & explained in the simplest way possible. Besides giving Questions and answers for BITSAT Mock Test - 7, EduRev gives you an ample number of Online tests for practice
Download as PDF