JEE Exam  >  JEE Tests  >  BITSAT Mock Test - 8 - JEE MCQ

BITSAT Mock Test - 8 - JEE MCQ


Test Description

30 Questions MCQ Test - BITSAT Mock Test - 8

BITSAT Mock Test - 8 for JEE 2025 is part of JEE preparation. The BITSAT Mock Test - 8 questions and answers have been prepared according to the JEE exam syllabus.The BITSAT Mock Test - 8 MCQs are made for JEE 2025 Exam. Find important definitions, questions, notes, meanings, examples, exercises, MCQs and online tests for BITSAT Mock Test - 8 below.
Solutions of BITSAT Mock Test - 8 questions in English are available as part of our course for JEE & BITSAT Mock Test - 8 solutions in Hindi for JEE course. Download more important topics, notes, lectures and mock test series for JEE Exam by signing up for free. Attempt BITSAT Mock Test - 8 | 130 questions in 180 minutes | Mock test for JEE preparation | Free important questions MCQ to study for JEE Exam | Download free PDF with solutions
BITSAT Mock Test - 8 - Question 1

A fossil bone has a C14 : C12 ratio, which is of that in a living animal bone. If the half-life of C14 is 5730 years, then the age of the fossil bone is

Detailed Solution for BITSAT Mock Test - 8 - Question 1

BITSAT Mock Test - 8 - Question 2

In the Wheatstone's bridge shown below, in order to balance the bridge, we must have

Detailed Solution for BITSAT Mock Test - 8 - Question 2

BITSAT Mock Test - 8 - Question 3

A small object of uniform density rolls up a curved surface with an initial velocity v. It reaches up to a maximum length h = with respect to the initial position. The object is a

Detailed Solution for BITSAT Mock Test - 8 - Question 3


BITSAT Mock Test - 8 - Question 4

A metallic sphere A of radius 'a' carries a charge Q. It is brought in contact with an uncharged sphere B of radius 'b'. The charge on sphere A now will be

Detailed Solution for BITSAT Mock Test - 8 - Question 4

Charge will flow from A to B until their potentials become equal. If charge q flows from A to B, then
or, Q - q = , which gives q =
Hence, charge left on A = Q - q = Q -
Hence, the correct choice is (4).

BITSAT Mock Test - 8 - Question 5

A mark is made on the surface of a glass sphere of diameter 10 cm and refractive index 1.5. It is viewed through the glass from a portion directly opposite. The distance of the image of the mark from the centre of the sphere will be

Detailed Solution for BITSAT Mock Test - 8 - Question 5

Let P be the position of the mark. Q is the position of its image.
Since the incident ray PA lies in a medium of refractive index μ2, and is refracted into a medium of refractive index μ1, our formula becomes


where u = -2 R = -10 cm,
R = -5 cm, μ2 = 1.5 and μ1 = 1
Putting these values in the above formula, we have

which gives v = -20 cm
∴ Distance of image Q from O = 20 - 5 = 15 cm

BITSAT Mock Test - 8 - Question 6

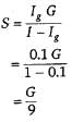
In an ammeter, 10% of main current is passing through the galvanometer. If the resistance of the galvanometer is G, what is the shunt resistance (in ohms)?

Detailed Solution for BITSAT Mock Test - 8 - Question 6

Shunt resistance

BITSAT Mock Test - 8 - Question 7

t1/4 can be taken as the time taken for the concentration of a reactant to drop to 3/4 of its initial value. If the rate constant for a first order reaction is k, then t1/4 can be written as

Detailed Solution for BITSAT Mock Test - 8 - Question 7

For first order reaction,

Here, [Ao] = Initial concentration of reactant and [A] = Final concentration of reactant
When initial concentration drops to 3/4, then


But, t1/4 = t3/4 (given)
Therefore,


=

BITSAT Mock Test - 8 - Question 8

CH3 - CH2 - CH = CH2 + HBr X (major) + Y (minor)
X and Y are

Detailed Solution for BITSAT Mock Test - 8 - Question 8

According to anti-Markovnikov's rule, X is 1-bromobutane and Y is 2-bromobutane.

In this reaction, organic peroxide dissociates butene into free radicals. There is the formation of free radicals as intermediates.

More stable free radicals give major products according to anti-Markovnikov's rule.

BITSAT Mock Test - 8 - Question 9

The compound which gives an oily nitrosamine on reaction with nitrous acid at low temperature, is

Detailed Solution for BITSAT Mock Test - 8 - Question 9

Secondary amines, on reaction with nitrous acid at low temperature, give an oily nitrosamine.

BITSAT Mock Test - 8 - Question 10

The standard enthalpy of neutralisation of HCl by NaOH is -57.62 kJ mol-1, which is the enthalpy of formation of water.
The standard enthalpy of neutralisation of HCN by NaOH is

Detailed Solution for BITSAT Mock Test - 8 - Question 10

Enthalpy of neutralisation is defined as the amount of heat evolved when 1 equivalent of H+ ions from an acid is completely neutralised by 1 equivalent of HO- ions from a base.
For a strong base and a strong acid, which are strong electrolytes, this value is fixed under standard conditions at -57.62 kJ mol-1.
But for a weak acid like HCN or a weak base, the value is less as some of the heat liberated is utilised to ionise the weak acid or the weak base.

BITSAT Mock Test - 8 - Question 11

t-butyl methyl ether is obtained in

Detailed Solution for BITSAT Mock Test - 8 - Question 11

t-butyl methyl ether is prepared by Williamson synthesis process. It involves the reaction of an alkoxide ion with a primary alkyl halide via an SN2 reaction.

BITSAT Mock Test - 8 - Question 12

The enthalpy change of the reaction H+(aq) + OH-(aq) H2O(l) is -57.3 kJ mol-1. If the enthalpies of formation of H+(aq) and H2O(l) are zero and -285.84 kJ mol-1, respectively, then the enthalpy of formation of OH-(aq) is

Detailed Solution for BITSAT Mock Test - 8 - Question 12

BITSAT Mock Test - 8 - Question 13

Which of the following statements is true in context of the solutions of alkali metals?

Detailed Solution for BITSAT Mock Test - 8 - Question 13

Solutions of alkali metals in liquid ammonia are blue coloured due to ammoniated electrons.

These ammoniated electrons absorb red colour from the visible light and so the transmitted light is blue.
Hence, option (4) is correct.
Option (1) is incorrect because the reducing power of the alkali metals increases from sodium to cesium. However, Li has the highest reducing power because of its highest heat of hydration.
Option (2) is incorrect because Li+, being highly hydrated, has the least ion mobility and the least value of ionic velocity.
Option (3) is incorrect because the metal ions are extensively hydrated in their aqueous solutions and the trend of the hydrated ionic radius is as follows.
Li+(aq) > Na+(aq) > K+(aq) > Rb+(aq) > Cs+(aq)
[Note: In solid ionic crystals, the trend of the radii of metal ions is the same as that for the atomic radii, which is Li+ < Na+ < K+ < Rb+ < Cs+]

BITSAT Mock Test - 8 - Question 14

If the concentration of CrO2-4 ions in a saturated solution of silver chromate is 2 x 10-4 M, then the solubility product of silver chromate would be

Detailed Solution for BITSAT Mock Test - 8 - Question 14


2S S
Given: [] = s = 2 x 10-4
[Ag+] = 2s = 2 x 2 x 10-4
= 4 x 10-4
Ksp = [Ag+]2
= [4 x 10-4]2[2 x 10-4]
= 32 x 10-12

BITSAT Mock Test - 8 - Question 15

An AB2 type of structure is present in

Detailed Solution for BITSAT Mock Test - 8 - Question 15

The AB2 type compounds have a fluorite type structure in which the cations and anions are present in ratio of 1 : 2. Among the given options, CaF2 has AB2 type structure.
The Ca2+ are arranged in ccp type arrangement (Ca2+ ions present at all corners as well as the centre of each face) and the fluoride ions are present in the tetrahedral voids.

Hence, the formula is CaF2.

BITSAT Mock Test - 8 - Question 16

Which of the following equations correctly represents the standard heat of formation  of methane?

Detailed Solution for BITSAT Mock Test - 8 - Question 16

Standard heat of formation  of methane is represented by
C (graphite) + 2H2(g) → CH4(g)

BITSAT Mock Test - 8 - Question 17

Directions: Four alternative summaries are given below the underneath text. Choose the option that best captures the essence of the text.
India has one of the lowest yields in farming among other nations. Yields have to go up dramatically. Farm profitability will then follow. Farming has to be a remunerative profession. Otherwise farmers will use their land for other purposes and India's overall farm output will decline. That would be a disaster. To avoid that, government has to ensure reasonably priced perishables for consumers as well as a decent price at the farm gate.

Detailed Solution for BITSAT Mock Test - 8 - Question 17

The paragraph accounts for government measures or intervention at both producer end, i.e. farmer, and consumer end. Only then can farming continue to be profitable or sustainable else lands would be put to alternative uses, i.e. farming will come to an end. This essence is captured only by option 1.

BITSAT Mock Test - 8 - Question 18

Directions: Select one figure from the answer figures which will continue the same series as given in the problem figures.

Detailed Solution for BITSAT Mock Test - 8 - Question 18

In each step, one element is replaced by a new one alternately on either end, while the whole set of elements rotates by 45° in anti-clockwise direction. Options (2), (3) and (4) have a new third element at the same end again and are ruled out. Hence, the correct option is (1).

BITSAT Mock Test - 8 - Question 19

Directions: In the following question, there is some relationship between the two groups to the left of : : and the same relationship exists between the two groups to its right. Find the missing group.
QDXM : SFYN : : UIOZ : ?

Detailed Solution for BITSAT Mock Test - 8 - Question 19

The first two letters of the first group are each moved two steps forward, and the last two letters are each moved one step forward to obtain the corresponding letters of the second group. The pattern is as follows:
Q + 2 = S
D + 2 = F
X + 1 = Y
M + 1 = N
Similarly,
U + 2 = W
I + 2 = K
O + 1 = P
Z + 1 = A

BITSAT Mock Test - 8 - Question 20

War is the negation of truth means

Detailed Solution for BITSAT Mock Test - 8 - Question 20

According to the passage, the meaning of the sentence, war is the negation of truth is that wars always spread and give rise to falsehood. Therefore, (4) is correct.

BITSAT Mock Test - 8 - Question 21

Directions: Read the following information and answer the question that follows.
Six friends A, B, C, D, E and F are sitting in a row facing north. Only C is sitting between A and E. D is not at either of the extreme ends. B is sitting to the immediate right of E. F is not at the right end.
Which of the following is the number of persons to the right of D?

Detailed Solution for BITSAT Mock Test - 8 - Question 21

According to the directions given, the arrangement from left to right is:
F D A C E B
There are 4 persons to the right of D.

BITSAT Mock Test - 8 - Question 22

Directions: In the following question, a sentence has been given in Active/Passive Voice. Out of the four alternatives suggested, select the one which best expresses the same sentence in Passive/Active Voice.
Five explosions rocked Pune.

Detailed Solution for BITSAT Mock Test - 8 - Question 22

The sentence is in simple past tense. We add 'was' in the passive form of sentence (was + rocked).
The doer of the action is mentioned at the end of the sentence with the preposition 'by'.
Option 4 has all the modifications in the sentence as per the rules of active/passive voice. Thus, it is the correct answer.

BITSAT Mock Test - 8 - Question 23

A piece of paper is folded and punched as shown below in the question figures. From the given answer figures, indicate how it will appear when opened.

Detailed Solution for BITSAT Mock Test - 8 - Question 23


This is the correct answer because there are three dots on part of the total.
So, in total there will be 12 dots and in the same sequence.

BITSAT Mock Test - 8 - Question 24

Directions: In the following question, select the figure from the set of four figures (a, b, c and d) that can be formed by joining the parts given in figure (X).

Detailed Solution for BITSAT Mock Test - 8 - Question 24

BITSAT Mock Test - 8 - Question 25

The value of the integral log tan xdx is equal to

Detailed Solution for BITSAT Mock Test - 8 - Question 25

BITSAT Mock Test - 8 - Question 26

The product of (32)(32)1/6(32)1/36 ..... up to is

Detailed Solution for BITSAT Mock Test - 8 - Question 26

(32)(32)1/6(32)1/36 … up to can be written as

BITSAT Mock Test - 8 - Question 27
The number of ways in which 6 boys and 6 girls can sit alternately in a straight line is
Detailed Solution for BITSAT Mock Test - 8 - Question 27
Case 1: When a girl sits in the 1st seat.
Then, number of ways of arranging girls amongst themselves = 6!
For each arrangement of seating of girls, the boys can be seated in 6! ways.
Thus, total number of cases = 6! × 6!
Case 2: When a boy sits in the 1st seat.
Total number of ways for the second case = 6! × 6!
Thus, total number of ways = 2 × 6! × 6! = 1036800
BITSAT Mock Test - 8 - Question 28
The Governing Council of an institute has fifteen members and they want to hold an annual meeting. In how many ways can the Council be seated around a round table, if the Chairman and the Vice-Chairman are never seated together?
Detailed Solution for BITSAT Mock Test - 8 - Question 28
Consider the Chairman and the Vice-Chairman as one individual.
So, instead of 15 members to be arranged, we now have only 14.
These 14 members can be arranged around a round table in 13! ways.
Also, the Chairman and the Vice-Chairman can be arranged in 2! ways.
The total number of ways is 2 × 13!.
If the Chairman and the Vice-Chairman are never to be seated together, then the total number of ways is = 14! - 2 × 13! = 12 × 13!
BITSAT Mock Test - 8 - Question 29

is equal to

Detailed Solution for BITSAT Mock Test - 8 - Question 29

We know

So, = 45a45 - 1 = 45a44

BITSAT Mock Test - 8 - Question 30

is equal to

Detailed Solution for BITSAT Mock Test - 8 - Question 30

Put = t, .ex dx = dt
dt = et + C = + C

View more questions
Information about BITSAT Mock Test - 8 Page
In this test you can find the Exam questions for BITSAT Mock Test - 8 solved & explained in the simplest way possible. Besides giving Questions and answers for BITSAT Mock Test - 8, EduRev gives you an ample number of Online tests for practice
Download as PDF