Which of the following is not true relating to an ideal transformer?
The emf per turn of a single phase 10 kVA, 2200/220 V, 50 Hz transformer is 10 V. The net cross-sectional area of core for a maximum flux density of 1.5 T is
A 1 kVA, 400 Hz transformer is desired to be used at a frequency of 60 Hz. The kVA rating of the transformer at this reduced frequency is
A 2200 / 250 V transformer takes 0.5 A at a p.f. of 0.3 on open-circuit. The magnetising component of no-load primary current is
A 50 MVA, 76.2/33 kV, 1-φ, 50 Hz, two-winding transformer with tap changer has percentage impedance of (0.5 + j7.0). What tapping must be used to maintain rated voltage at the secondary on full load at 0.8 lagging power factor?
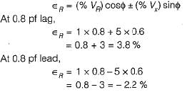
The ohmic drop of a transformer is 1% while the reactance drop is 5% of the voltage. The regulation of the transformer at 0.8 power factor leading and 0.8 power factor lagging are respectively
A 1 kV, 50 Hz supply to a transformer results in 650 W hysteresis loss and 400 W eddy current loss. If both the applied voltage and frequency are doubled, the new core loss would be
A transformer designed for operation of 60 Hz supply is working on 50 Hz supply system without changing its voltage and current ratings. When compared with full-load efficiency at 60 Hz, the transformer efficiency on full load at 50 Hz will
For a core-type power transformers, both primary and secondary windings have circular coil sections, because this section
A 10 kVA, 400 V/ 200 V, 1 -phase transformer with a percentage resistance of 3% and percentage reactance of 6% is supplying a current of 50 A to a resistive load. The value of the load voltage is