Point charges + 4q, –q and +4q are kept on theX-axis at points x = 0, x =a and x = 2a respectively.
A charge q is placed at the centre of the line joining two exactly equal positive charges Q. The system of three charges will be in
equilibrium, if q is equal to
An electric dipole, consisting of two opposite charges of 2 × 10-6 C each separated by a distance 3 cm is placed in an electric field of 2 × 105 N/C. Torque acting on the dipole is [1995]
There is an electric field E in x-direction. If the work done on moving a charge of 0.2 C through a distance of 2 m along a line making an angle 60° with x-axis is 4J, then what is the value of E? [1995]
Intensity of an electric field (E) depends on distance r, due to a dipole, is related as [1996]
A point charge +q is placed at mid point of a cube of side ‘L’. The electric flux emerging from the cube is [1996]
The formation of a dipole is due to two equaland dissimilar point charges placed at a[1996]
From a point charge, there is a fixed point A. At A, there is an electric field of 500 V/m and potential difference of 3000 V. Distance between point charge and A will be [1997]
A hollow insulated conduction sphere is given a positive charge of 10 μC. What will be the electric field at the centre of the sphere if its radius is 2 metres? [1998]
A particle of mass m and charge q is placed atrest in a uniform electric field E and then released.The kinetic energy attained by the particle after moving a distance y is [1998]
A point Q lies on the perpendicular bisector of an electrical dipole of dipole moment p. If the distance of Q from the dipole is r (much larger than the size of the dipole), then the electric field at Q is proportional to [1998]
When air is replaced by a dielectric medium of force constant K, the maximum force of attraction between two charges, separated by a distance [1999]
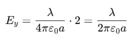
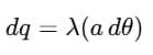
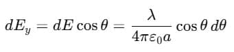
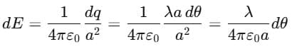
A semi-circular arc of radius ‘a’ is charged uniformly and the charge per unit length is λ. The electric field at the centre of this arc is [2000]
A charge Q is situated at the corner of a cube, the electric flux passed through all the six faces of the cube is [2000]
The electric intensity due to a dipole of length 10 cm and having a charge of 500 μC, at a point on the axis at a distance 20 cm from one of the charges in air, is [2001]
If a dipole of dipole moment
is placed in a uniform electric field
, then torque acting on it is given by [2001]
A charge QμC is placed at the centre of a cube, the flux coming out from any surface will be
An electron is moving round the nucleus of a hydrogen atom in a circular orbit of radius r. The Coulomb force
between the two is [2003]

A charge q is located at the centre of a cube. The electric flux through any face is [2003]
A square surface of side L metres is in the plane of the paper. A uniform electric field
(volt / m), also in the plane of the paper, is limited only to the lower half of the square surface (see figure). The electric flux in SI units associated with the surface is

An electric dipole of moment
is lying along a uniform electric field
. The work done in rotating the dipole by 90° is
A hollow cylinder has a charge q coulomb within it. If φ is the electric flux in units of voltmeter associated with the curved surface B, the flux linked with the plane surface A in units of voltmeter will be [2007]

Three point charges +q, –q and +q are placed at points (x = 0, y = a, z = 0), (x = 0, y = 0, z = 0) and (x = a, y = 0, z = 0) respectively. The magnitude and direction of the electric dipole moment vector of this charge assembly are [2007]

A thin conducting ring of radius R is given a charge + Q. The electric field at the centre O of the ring due to the charge on the part AKB of the ring is E. The electric field at the centre due to the charge on the part ACDB of the ring is
The mean free path of electrons in a metal is 4 × 10–8 m. The electric field which can give on an average 2 eV energy to an electron in the metal will be in units of V/m [2009]
Two positive ions, each carrying a charge q, are separated by a distance d. If F is the force of repulsion between the ions, the number of electrons missing from each ion will be (e being the charge of an electron) [2010]
A square surface of side L meter in the plane of the paper is placed in a uniform electric field E (volt/m) acting along the same plane at an angle θ with the horizontal side of the square as shown in Figure. The electric flux linked to the surface, in units of volt. m, is [2010]

The electric field at a distance 3R/2 from the centre of a charged conducting spherical shell of radius R is E. The electric field at a distance R/2 from the centre of the sphere is
A charge Q is enclosed by a Gaussian spherical surface of radius R. If the radius is doubled, then the outward electric flux will [2011]
The electric potential V at any point (x, y, z), all in meters in space is given by V = 4x2 volt. The electric field at the point (1, 0, 2) in volt/meteris [2011M]
74 videos|344 docs|92 tests |