IIT JAM Exam  >  IIT JAM Tests  >  Chemistry - 2012 Past Year Paper - IIT JAM MCQ

Chemistry - 2012 Past Year Paper - IIT JAM MCQ


Test Description

30 Questions MCQ Test - Chemistry - 2012 Past Year Paper

Chemistry - 2012 Past Year Paper for IIT JAM 2025 is part of IIT JAM preparation. The Chemistry - 2012 Past Year Paper questions and answers have been prepared according to the IIT JAM exam syllabus.The Chemistry - 2012 Past Year Paper MCQs are made for IIT JAM 2025 Exam. Find important definitions, questions, notes, meanings, examples, exercises, MCQs and online tests for Chemistry - 2012 Past Year Paper below.
Solutions of Chemistry - 2012 Past Year Paper questions in English are available as part of our course for IIT JAM & Chemistry - 2012 Past Year Paper solutions in Hindi for IIT JAM course. Download more important topics, notes, lectures and mock test series for IIT JAM Exam by signing up for free. Attempt Chemistry - 2012 Past Year Paper | 41 questions in 180 minutes | Mock test for IIT JAM preparation | Free important questions MCQ to study for IIT JAM Exam | Download free PDF with solutions
Chemistry - 2012 Past Year Paper - Question 1

Molecular shape of SOCl2 is

Detailed Solution for Chemistry - 2012 Past Year Paper - Question 1

Correct option is (b

Chemistry - 2012 Past Year Paper - Question 2

Number of three-centre two-electron (3e-2e) bonds present in diborane is:

Detailed Solution for Chemistry - 2012 Past Year Paper - Question 2

2(3c – 2e) bonds are present in diborane Correct option is (a)

Chemistry - 2012 Past Year Paper - Question 3

The lattice energy of LiF calculated from Born-Lande equation – 1000 kJ mol–1. Assume that for both LiF and MgO the Madelung constants, interionic distances and Born exponents have the same value. The lattice energy of MgO in kJ mol–1 is:

Detailed Solution for Chemistry - 2012 Past Year Paper - Question 3

From Born-Lande equation

because ‘n’ is always greater than one.
LiF = 1000 kJ mole–1        ... (1)

MgO = x  =      ... (2)

x = 4000 kJ mole–1 Correct option is (d)

Chemistry - 2012 Past Year Paper - Question 4

The hydrogen-oxygen fuel cells have electrolyte solution of 2.5% __________

Detailed Solution for Chemistry - 2012 Past Year Paper - Question 4

The hydrogen-oxygen fuel cells have electrolyte solution of 2.5% of KOH. Through the anode hydrogen gas is bubbled.

Chemistry - 2012 Past Year Paper - Question 5

Number of moles of ions produced by complete dissociation of one mole of Mohr ’s salt in water is

Detailed Solution for Chemistry - 2012 Past Year Paper - Question 5

Iron (II) ammonium sulfate (NH4)2Fe(SO4).6H2O ions produced by complete dissociation of Mohr salt

(NH4)2 Fe(SO4 )2 6H2O → 2NH+4 + Fe2+ + 2SO4-2
Total ions = 5 Correct option is (c)

Chemistry - 2012 Past Year Paper - Question 6

The tetrachloro complexes of Ni(II) and Pd(II) respectively, are (atomic numbers of Ni and Pd are 28 and 46 respectively)

Detailed Solution for Chemistry - 2012 Past Year Paper - Question 6

[NiCl4]2– Paramagnetic


Pairing occurs in case of Pd sine it has greater nuclear charge leading to quater interaction to the ligands.
Correct option is (d)

Chemistry - 2012 Past Year Paper - Question 7

The total number of steps involved and number of beta particles emitted in the spontaneous decay of  Pb respectively, are

Detailed Solution for Chemistry - 2012 Past Year Paper - Question 7

Let ‘x’ = number of alpha-particles emitted y = No. of beta-particles emitted.
Conserving the number of nucleons
238 = 206 + 4x + y(0)
4x = 238 – 206 = 32 x = 8
Now, 92 = 82 + 8(2) + y(–1)
92 = 82 + 16 – y y = 98 – 92 = 6
Number of beta particles = 6
Total steps = 8 + 6 = 14
Correct option is (b)

Chemistry - 2012 Past Year Paper - Question 8

A filter paper moistioned with ammonical sodium nitroprusside solution turns violet on contact with a drop of alkaline Na2S solution. The violet colour is due to the formation of

Detailed Solution for Chemistry - 2012 Past Year Paper - Question 8

Correct option is (d)

Chemistry - 2012 Past Year Paper - Question 9

The species/compounds that are aromatic among the following are

Chemistry - 2012 Past Year Paper - Question 10

The major product obtained in the reaction below is

Detailed Solution for Chemistry - 2012 Past Year Paper - Question 10


 

Correct option is (c)

Chemistry - 2012 Past Year Paper - Question 11

The rates of acetolysis for the following norbornyl derivatives are in the order

Detailed Solution for Chemistry - 2012 Past Year Paper - Question 11

Removal of the tosyl group (the rate determining step) is subject to strong anchimeric assistance by the double bond and forms non-classical carbocation. Hence acetolysis is fastest in case of R.
Among P and Q.

Rate of acetolysis for P is faster than Q due to participation of p-electrons of two allylic 1-6, and 4-5 bonds.

While in P there is OTs is sign to double bond, so reactivity will be less as compared to 'R'. Q is least reactive as there is no pi bond.

Rate of acetolysis R > P > Q

Correct option is (d)

Chemistry - 2012 Past Year Paper - Question 12

The Haworth projection for a-anomer of D-glucose is

Detailed Solution for Chemistry - 2012 Past Year Paper - Question 12

–OH which is right will be downward
–OH which is left will be upward.
Correct option is (c)

Chemistry - 2012 Past Year Paper - Question 13

The complementary DNA sequence of the given DNA 5’-G-A-A-T-T-C-3’ is:

Detailed Solution for Chemistry - 2012 Past Year Paper - Question 13

Complementary DNA sequence of 5´– G – A – A – T – T – C – 3´ → 3´ – C – T – T – A – A – G – 5´
This is called base pairing in DNA A (adenine) pair with T (thymine) G (guanine) pair with C (cytosine)
Correct option is (c)

Chemistry - 2012 Past Year Paper - Question 14

The order of nucleophilicity of the following anions in a SN2 reaction is:

Detailed Solution for Chemistry - 2012 Past Year Paper - Question 14

Among P, R and S conjugate base of the weakest acid is the strongest nucleophile


Between P and Q, is better nucleophilic than . (Large size of anion better nucleophile)
Correct option is (b)

Chemistry - 2012 Past Year Paper - Question 15

The pair of conformation that has maximum energy difference is:

Detailed Solution for Chemistry - 2012 Past Year Paper - Question 15

Chair form is the most stable and half chair is the least stable. hence maximum energy difference is between half chair and chair form.
Chair < twist boat < boat < half chair.
[Chair < half chair]
Correct option is (a)

Chemistry - 2012 Past Year Paper - Question 16

The major mono-sulfonation product of α-tetralone is

Detailed Solution for Chemistry - 2012 Past Year Paper - Question 16

E+ (SO3) can attack at different positions.

among I, II and III (I and III) are unstable so II is the more appropriate choice.
Correct option is (b)

Chemistry - 2012 Past Year Paper - Question 17

Electrophilic nitrations of the following compounds follow the trend

Detailed Solution for Chemistry - 2012 Past Year Paper - Question 17

Among P, Q, R and S, NHCOCH3 and –C2H5 groups are ring activators and –Cl, SO3H are ring deactivators.

Resonance effect dominates over hyper-conjugation hence 
 is the more powerful
activator. between –Cl and –SO3H, –SO3H is the powerful deactivator.
P > Q
Correct order → R > S > P > Q

Correct option is (b)

Chemistry - 2012 Past Year Paper - Question 18

The compounds those would not respond to tests of both nitrogen and sulfur with sodium fusion extracts are

Detailed Solution for Chemistry - 2012 Past Year Paper - Question 18

Organic compounds containing C, H, N, S give test with sodium fusion extracts. For test of Nitrogen atom presence of carbon is necessary, since it is the test for (CN) . (I) has no carbon atom hance it would not give test with sodium fusion extracts. (III) has no S atom.
So it would not give test of Sulfur. I and III is appropriate choice.
Correct option is (a)

Chemistry - 2012 Past Year Paper - Question 19

The correct epimeric pair of the following is

Detailed Solution for Chemistry - 2012 Past Year Paper - Question 19

Two diastereomers that differ in the configuration around one only stereogenic centre are called epimers.


So, the configuration is changed at the only C3 carbon. Hence it is called epimer and epimer is also called diastereomer.
Correct option is (a)

Chemistry - 2012 Past Year Paper - Question 20

α-Farnesene shown below is a

Detailed Solution for Chemistry - 2012 Past Year Paper - Question 20

d-farmesene has 3 isoprene unit hence it is a sesquiterpene. (Molecular formula = (C15H24))
Correct option is (d)

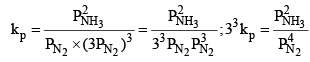
Chemistry - 2012 Past Year Paper - Question 21

For the equilibrium , the equilibrium constant, KP is expressed as

Detailed Solution for Chemistry - 2012 Past Year Paper - Question 21


Correct option is (c)

Chemistry - 2012 Past Year Paper - Question 22

The average speed of H2, N2 and O2 gas molecules is in the order

Detailed Solution for Chemistry - 2012 Past Year Paper - Question 22

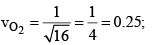
The average speed,

H2 = M = 2; O2 = M = 16; N2 = 14 = M



Correct option is (a)

Chemistry - 2012 Past Year Paper - Question 23

The enthalpy of vaporization (ΔvapH) is zero at

Detailed Solution for Chemistry - 2012 Past Year Paper - Question 23

The heat of vaporization diminishes at the critical temperature because above the critical temperature the liquid and vapour phase no longer co-exist.
Correct option is (b)

Chemistry - 2012 Past Year Paper - Question 24

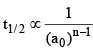
The half-life of any zero-order reaction is:

Detailed Solution for Chemistry - 2012 Past Year Paper - Question 24

for nth order reaction

When n = 0
t1/2 ∝ a0
Correct option is (c)

Chemistry - 2012 Past Year Paper - Question 25

The molality of (NH4)2SO4 solution that has the same ionic strength as 1 mol kg–1 solution of KCl is 

Detailed Solution for Chemistry - 2012 Past Year Paper - Question 25

If molality is m.

[I is equal to one same as KCl]
1 = 3m; m = 

Correct option is (a)

Chemistry - 2012 Past Year Paper - Question 26

The standard enthalpy of formation ( Δf U0300 ) at 1 bar and 300 K for the formation of CF2ClCF2Cl(g) from its constituent elements in the standard state is -900 kJ mol-1. Given R = 8.3 J K-1 mol-1, the standard internal energy of formation ( Δ​f U0300 ) at the same pressure and temperature is 

Detailed Solution for Chemistry - 2012 Past Year Paper - Question 26

ΔH = ΔU + ΔngRT
Formation of CF2ClCF2Cl(g)
2C(s) + 2F2(g) + Cl2 (g) = CF2ClCF2Cl(g)
Δng = gaseous mole of product - gaseous mole of reactant.
Δng = 1 - 3 = - 2; ΔH = ΔU + ΔngRT
ΔU = ΔH - ΔngRT = ΔH + 2RT
= -900 kJ / mole + 2 × 8.314 × 300 JK-1 mole-1 K
= -900 kJ / mole + 5kJ / mole = -895 kJ/mole
Correct option is (b)

Chemistry - 2012 Past Year Paper - Question 27

The percent transmittance of a solution having absorbance (optical density) 1.0 is

Detailed Solution for Chemistry - 2012 Past Year Paper - Question 27

A = –log T; –A = log T, 10–A = T
T = 10–A = 10–1 = 1/2 = 0.01
∴%T = 0.1 × 100 = 10
Correct option is (b)

Chemistry - 2012 Past Year Paper - Question 28

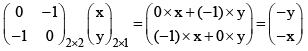
The matrix which transforms 

Detailed Solution for Chemistry - 2012 Past Year Paper - Question 28

Correct option is (d)

Chemistry - 2012 Past Year Paper - Question 29

A concentration cell with two hydro gen electro des at t wo differnet pressures is depicted as

The potential (Ecell) of the cell is

Detailed Solution for Chemistry - 2012 Past Year Paper - Question 29

 

reduction

Overall,

Nernst equation,

Correct option is (d)

Chemistry - 2012 Past Year Paper - Question 30

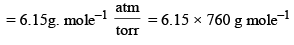
An aqueous solution containing 1 g L–1 of a polymer exerts osmotic pressure of 4 torr at 300 K.Given R = 0.082 L atm, the molar mass (g mol–1) of the polymer is

Detailed Solution for Chemistry - 2012 Past Year Paper - Question 30

Given that mass of solute, w = 1.0 g L Volume, V = 1 ltr.
Osmotic pressure, P = 4 Torr T = 300 K

∴ Molar mass = 

(∵ 1 atm = 760 torr)


= 4674 g mole–1

Correct option is (c)

View more questions
Information about Chemistry - 2012 Past Year Paper Page
In this test you can find the Exam questions for Chemistry - 2012 Past Year Paper solved & explained in the simplest way possible. Besides giving Questions and answers for Chemistry - 2012 Past Year Paper, EduRev gives you an ample number of Online tests for practice
Download as PDF