JEE Exam  >  JEE Tests  >  Test: Equilibrium of Forces - JEE MCQ

Test: Equilibrium of Forces - JEE MCQ


Test Description

10 Questions MCQ Test - Test: Equilibrium of Forces

Test: Equilibrium of Forces for JEE 2025 is part of JEE preparation. The Test: Equilibrium of Forces questions and answers have been prepared according to the JEE exam syllabus.The Test: Equilibrium of Forces MCQs are made for JEE 2025 Exam. Find important definitions, questions, notes, meanings, examples, exercises, MCQs and online tests for Test: Equilibrium of Forces below.
Solutions of Test: Equilibrium of Forces questions in English are available as part of our course for JEE & Test: Equilibrium of Forces solutions in Hindi for JEE course. Download more important topics, notes, lectures and mock test series for JEE Exam by signing up for free. Attempt Test: Equilibrium of Forces | 10 questions in 20 minutes | Mock test for JEE preparation | Free important questions MCQ to study for JEE Exam | Download free PDF with solutions
Test: Equilibrium of Forces - Question 1

A block R of mass 100 kg is placed on a block S of mass 150 kg as shown in the figure. Block R is tied to the wall by a massless and inextensible string PQ. If the coefficient of static friction for all surfaces is 0.4, the minimum force F (in kN) needed to move the block S is

Detailed Solution for Test: Equilibrium of Forces - Question 1

Concept:
Making free body diagram of each block:

Balancing forces in positive x direction

∴ F = μRN1 + μRN2 = μ(RN1 + RN2)

where, RN1 = Normal reaction force on block R and  RN2 = Normal reaction force on block S

Calculation:

Given:

μ = 0.4

RN1 = 100g = 100 × 9.81 = 981 N

RN2 = (100 + 150)g = 250 × 9.81 = 2452.5 N

Minimum force (F) is

F = μ(RN1 + RN2)

F = 0.4 × (981 + 2452.5)  = 1373.4 N = 1.37 kN

Test: Equilibrium of Forces - Question 2

Two forces of equal magnitude 'F' acts on a particle, and the angle between these forces is θ. Then the resultant of these forces is given by

Detailed Solution for Test: Equilibrium of Forces - Question 2

When two force making an angle θ, the resultant (R) of the two force is given by:

Since the two forces are equal;

We know that;
1 + cos θ = 2 cos2(θ/2)

R = 2F cos(θ/2)

Test: Equilibrium of Forces - Question 3

Define free-body diagram.

Detailed Solution for Test: Equilibrium of Forces - Question 3

Free-Body Diagram: These are the diagrams used to show the relative magnitude and direction of all external forces acting upon an object in a given situation. A free-body diagram is a special example of vector diagrams.

Some common rules for making a free-body diagram:

  • The size of the arrow in a free-body diagram reflects the magnitude of the force.
  • The direction of the arrow shows the direction that the force is acting.
  • Each force arrow in the diagram is labelled to indicate the exact type of force.
  • It is generally customary in a free-body diagram to represent the object by a box and to draw the force arrow from the centre of the box outward in the direction that the force is acting.

Example:

Test: Equilibrium of Forces - Question 4

If the sum of all the forces acting on a body is zero, it may be concluded that the body.

Detailed Solution for Test: Equilibrium of Forces - Question 4

If the sum of all forces acting on the body is zero, then it is not necessary that the body will be in equilibrium. For the explanation, let us take an example.

Let us assume that two equal and opposite forces having their line of action at a certain distance apart act on a body. Then the body in this case will not have translational motion but have rotation due to torque produced. Hence not in equilibrium. If two equal and opposite force act a point or concurrent, then the torque produced will be zero. The body will not have translational and rotational motion and will be in equilibrium.

Test: Equilibrium of Forces - Question 5

A 1 m long uniform beam of 2 kg mass is being lifted vertically up by a force F at the 100 cm mark. What is the minimum force required to do so?

Detailed Solution for Test: Equilibrium of Forces - Question 5

Concept:
Conditions for the system to be in equlibrium
ΣFx = 0, ΣFy = 0, ΣM = 0
Calculation:
Given:
m = 2 kg, Assume g = 10 m/s2


 

Lager will be the moment, smaller will be the force required to lift the rod. Hence, Applying Moment about 0 cm point we get.

w × 50 = F × 100

m × g × 50 = F × 100

2 × 10 × 50 = F × 100

F = 10 N

Test: Equilibrium of Forces - Question 6

Condition of static equilibrium of a planar force system is written as

Detailed Solution for Test: Equilibrium of Forces - Question 6

Equilibrium of planar forces:

If the forces acting on the free-body are non-concurrent then the equivalent resultant will be a single force acting at a common point and a moment about the same point. The effect of such a force system will be to translate the body as well as to rotate it. Hence, for equilibrium to exist, both the force and moment must be null vectors.

i.e ΣF = 0, ΣM = 0

When the forces acting on a body lie in a plane (X - Y plane) but are non-concurrent, the body will have rotational motion perpendicular to the plane in addition to the translational motion along the plane, Hence necessary and sufficient condition for static equilibrium are,

ΣFx = 0, ΣFy = 0, ΣMz = 0

Test: Equilibrium of Forces - Question 7

Coplanar forces equal to 7P, 8P and 5P acting on a particle are in equilibrium, then the angle between 8P and 5P is:

Detailed Solution for Test: Equilibrium of Forces - Question 7

Concept:

For three force system, the static equilibrium is a state in which the net force and net torque acted upon the system is zero.

Calculation:

Given:

Coplanar forces equal to 7P, 8P, and 5P acting on a particle are in equilibrium.

Let the vectors a, b, and c be equal to 7P, 8P and 5P respectively. Therefore we have to find the angle between 8P and 5P i.e. between b and c.

Squaring both sides

64P2 + 25P2 + 80P2 cos θ = 49P2

80cos θ = 40

cos θ = -1/2

θ = π - cos-1(-1/2)

θ = 2π/3 = 120°.

Test: Equilibrium of Forces - Question 8

If point A is in equilibrium under the action of the applied forces, the values of tension. TAC = ?

Detailed Solution for Test: Equilibrium of Forces - Question 8

Concept:

Lami's theorem:

It states that if three forces acting at a point are in equilibrium, each force is proportional to the sine of the angle between the other two forces. Consider three forces FA, FB, FC acting on a particle or rigid body making angles α, β and γ with each other.


Calculation:
Given:

We have angle BAC = 180° - (30° + 60°)
angle BAC = 90°
By Lami’s Theorem,

 
TAC = 400 N

Test: Equilibrium of Forces - Question 9

Two forces P and P√2 act on a particle in directions inclined at an angle of 135° to each other. Find the magnitude of the resultant.

Detailed Solution for Test: Equilibrium of Forces - Question 9

Law of Parallelogram of forces: This law is used to determine the resultant of two coplanar forces acting at a point.

  • It states that “If two forces acting at a point are represented in magnitude and direction by two adjacent sides of a parallelogram, then their resultant is represented in magnitude and direction by the diagonal of the parallelogram which passes through that common point.”

Let two forces F1 and F2, acting at the point O be represented, in magnitude and direction, by the directed line OA and OB inclined at an angle θ with each other.

Then if the parallelogram OACB be completed, the resultant force R will be represented by the diagonal OC.

CALCULATION:

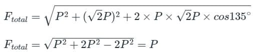
Given F1 = P, F2 = √2P, θ = 135∘ 

Then the resultant force is given by 

Test: Equilibrium of Forces - Question 10

A weight of 500 N is supported by two metallic ropes as shown in the figure. The values of tensions T1 and T2 are respectively:

Detailed Solution for Test: Equilibrium of Forces - Question 10

Concept:

Lami's Theorem: It is an equation that relates the magnitude of the three co-planner, concurrent and non-collinear forces that keeps a body in equilibrium. It states that each force is proportional to the sine of the angle between the other two forces.

Calculation:

T1 = 500 × sin 120° and  T2 = 500 sin 150°
T1 = 433 N and T2 = 250 N

Information about Test: Equilibrium of Forces Page
In this test you can find the Exam questions for Test: Equilibrium of Forces solved & explained in the simplest way possible. Besides giving Questions and answers for Test: Equilibrium of Forces, EduRev gives you an ample number of Online tests for practice
Download as PDF