Electronics and Communication Engineering (ECE) Exam  >  Electronics and Communication Engineering (ECE) Tests  >  Test: Differential Equations & Multiple Integrals- 2 - Electronics and Communication Engineering (ECE) MCQ

Test: Differential Equations & Multiple Integrals- 2 - Electronics and Communication Engineering (ECE) MCQ


Test Description

30 Questions MCQ Test - Test: Differential Equations & Multiple Integrals- 2

Test: Differential Equations & Multiple Integrals- 2 for Electronics and Communication Engineering (ECE) 2025 is part of Electronics and Communication Engineering (ECE) preparation. The Test: Differential Equations & Multiple Integrals- 2 questions and answers have been prepared according to the Electronics and Communication Engineering (ECE) exam syllabus.The Test: Differential Equations & Multiple Integrals- 2 MCQs are made for Electronics and Communication Engineering (ECE) 2025 Exam. Find important definitions, questions, notes, meanings, examples, exercises, MCQs and online tests for Test: Differential Equations & Multiple Integrals- 2 below.
Solutions of Test: Differential Equations & Multiple Integrals- 2 questions in English are available as part of our course for Electronics and Communication Engineering (ECE) & Test: Differential Equations & Multiple Integrals- 2 solutions in Hindi for Electronics and Communication Engineering (ECE) course. Download more important topics, notes, lectures and mock test series for Electronics and Communication Engineering (ECE) Exam by signing up for free. Attempt Test: Differential Equations & Multiple Integrals- 2 | 30 questions in 90 minutes | Mock test for Electronics and Communication Engineering (ECE) preparation | Free important questions MCQ to study for Electronics and Communication Engineering (ECE) Exam | Download free PDF with solutions
Test: Differential Equations & Multiple Integrals- 2 - Question 1

Detailed Solution for Test: Differential Equations & Multiple Integrals- 2 - Question 1

Test: Differential Equations & Multiple Integrals- 2 - Question 2

The volume of an object expressed in spherical co-ordinates is given by 

 

The value of the integral is  

Detailed Solution for Test: Differential Equations & Multiple Integrals- 2 - Question 2

Test: Differential Equations & Multiple Integrals- 2 - Question 3

By a change of variable x (u, y) = uv, y (u, v) = v/u is double integral, the integrand f(x, y) changes to f(uv, v/u) φ (u,v). Then, φ (u, v) is 

Detailed Solution for Test: Differential Equations & Multiple Integrals- 2 - Question 3

Test: Differential Equations & Multiple Integrals- 2 - Question 4

Consider the shaded triangular region P shown in the figure. What is 

Detailed Solution for Test: Differential Equations & Multiple Integrals- 2 - Question 4

The equation of the line AB is  

Test: Differential Equations & Multiple Integrals- 2 - Question 5

A path AB in the form of one quarter of a circle of unit radius is shown in the figure. Integration of (x + y)2 on path AB traversed in a counterclockwise sense is  

Detailed Solution for Test: Differential Equations & Multiple Integrals- 2 - Question 5

Test: Differential Equations & Multiple Integrals- 2 - Question 6

The value of 

 

Detailed Solution for Test: Differential Equations & Multiple Integrals- 2 - Question 6

Test: Differential Equations & Multiple Integrals- 2 - Question 7

A parabolic cable is held between two supports at the same level. The horizontal span between the supports is L. The sag at the mid-span is h. The equation of the parabola is     where x is the horizontal coordinate and y is the vertical coordinate with the origin at the centre of the cable. The expression for the total length of the cable is 

Detailed Solution for Test: Differential Equations & Multiple Integrals- 2 - Question 7

 We know length of the curve f(x) between x = a and x = b given by 

Test: Differential Equations & Multiple Integrals- 2 - Question 8

A surface S(x,y)=2x+5y-3 is integrated once over a  path consisting of the points that satisfy ( x +1)2+ (y − 1)2 = √2 . The integral evaluates to

Test: Differential Equations & Multiple Integrals- 2 - Question 9

The value of integral  

Detailed Solution for Test: Differential Equations & Multiple Integrals- 2 - Question 9

Test: Differential Equations & Multiple Integrals- 2 - Question 10

The order of the differential equation 

Detailed Solution for Test: Differential Equations & Multiple Integrals- 2 - Question 10

The order of a differential equation is the order of the highest derivative involving in
equation, so answer is 2.

Test: Differential Equations & Multiple Integrals- 2 - Question 11

The solution of the differential equation    under the boundary conditions  

 (i) y =y1  At x = 0 and  

(ii) y =y2  At x = ∞, 

Where k,   y1 and y2 are constants, is 

 

Test: Differential Equations & Multiple Integrals- 2 - Question 12

A function n(x) satisfies the differential equation    where L is a constant. The boundary conditions are: n(0)=K and n(∞)= 0. The solution to this equation is 

Detailed Solution for Test: Differential Equations & Multiple Integrals- 2 - Question 12

For finite solution c1 = 0

Test: Differential Equations & Multiple Integrals- 2 - Question 13

The solution of the differential equation 

Detailed Solution for Test: Differential Equations & Multiple Integrals- 2 - Question 13

Given differential equation is

Integra ling we get

Test: Differential Equations & Multiple Integrals- 2 - Question 14

If     then what is y(e)?

Detailed Solution for Test: Differential Equations & Multiple Integrals- 2 - Question 14

It is linear differential equation.

Test: Differential Equations & Multiple Integrals- 2 - Question 15

The solution to the differential equation f’’(x)+4f’(x)+4f(x)=0 is      

Detailed Solution for Test: Differential Equations & Multiple Integrals- 2 - Question 15

Let y(x) = emx (m ≠ 0)be the trial soln .Auxiliary equation. m2 + 4m+ 4 = 0 ⇒(m+ 2)2 = 0

In particular, when A =1,B =1,then f(x) = (1 + x)e−2x

= e−2x + xe−2x

Test: Differential Equations & Multiple Integrals- 2 - Question 16

The above equation is a  

Detailed Solution for Test: Differential Equations & Multiple Integrals- 2 - Question 16

Since, the differential equation cannot be expressed in x/y or y/x form, therefore, it is an example of non-homogeneous differential equation.

Test: Differential Equations & Multiple Integrals- 2 - Question 17

 Which of the following is a solution of the differential equation, assume p = 4 and q = 3 

Detailed Solution for Test: Differential Equations & Multiple Integrals- 2 - Question 17

Here p = 4andq = 3.The given equation becomes

Test: Differential Equations & Multiple Integrals- 2 - Question 18

The Blasius equation, 

Detailed Solution for Test: Differential Equations & Multiple Integrals- 2 - Question 18

f is non linear.

Test: Differential Equations & Multiple Integrals- 2 - Question 19

The degree of the differential equation  

Test: Differential Equations & Multiple Integrals- 2 - Question 20

The solution for the differential equation  with the condition that y = 1 at x = 0 is  

Detailed Solution for Test: Differential Equations & Multiple Integrals- 2 - Question 20

Test: Differential Equations & Multiple Integrals- 2 - Question 21

A spherical naphthalene ball exposed to the atmosphere loses volume at a rate proportional to its instantaneous surface area due to evaporation. If the initial diameter of the ball is 2 cm and the diameter reduces to 1 cm after 3 months, the ball completely evaporates in  

Detailed Solution for Test: Differential Equations & Multiple Integrals- 2 - Question 21

By the given condition

Test: Differential Equations & Multiple Integrals- 2 - Question 22

Solution of the differential equation  represents a family of  

Detailed Solution for Test: Differential Equations & Multiple Integrals- 2 - Question 22

Test: Differential Equations & Multiple Integrals- 2 - Question 23

The general solution of 

Detailed Solution for Test: Differential Equations & Multiple Integrals- 2 - Question 23

Let y = emx (m ≠ 0) be the trial solution.

Test: Differential Equations & Multiple Integrals- 2 - Question 24

A body originally at 60ºC cools down to 40ºC in 15 minutes when kept in air at a temperature of 25ºC. What will be the temperature of the body at the end of 30 minutes?

Detailed Solution for Test: Differential Equations & Multiple Integrals- 2 - Question 24

Test: Differential Equations & Multiple Integrals- 2 - Question 25

The partial differential equation that can be formed from z = ax + by + ab has the form 

Test: Differential Equations & Multiple Integrals- 2 - Question 26

With K as constant, the possible solution for the first order differential equation    is 

Detailed Solution for Test: Differential Equations & Multiple Integrals- 2 - Question 26

Test: Differential Equations & Multiple Integrals- 2 - Question 27

The boundary-value problem yn + λy = 0, y(0) = y(λ) = 0 will have non-zero solutions if and only if the values of λ are  

Test: Differential Equations & Multiple Integrals- 2 - Question 28

The solution of the differential equation    with the condition that y = 1 at x = 1, is

Test: Differential Equations & Multiple Integrals- 2 - Question 29

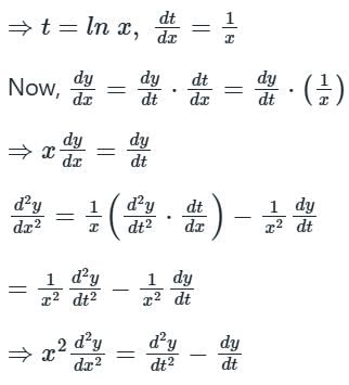
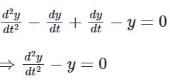
Consider the differential equation  Which of the following is a solution to this differential equation for x > 0?

Detailed Solution for Test: Differential Equations & Multiple Integrals- 2 - Question 29

Given the differential equation is,

Put, x = et

Now the given differential becomes,

Characteristic equation is: (m2 - 1)y = 0
⇒ m = ±1
Roots of the characteristic equation are distinct real, so there are two possible solutions.
y = et and y = e-t
since, x = et
⇒ y = x or y = 1/x are two possible solutions.

Test: Differential Equations & Multiple Integrals- 2 - Question 30

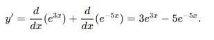
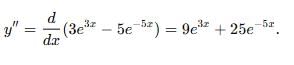
If y = e3x + e-5x find the value of

at x = 0

Detailed Solution for Test: Differential Equations & Multiple Integrals- 2 - Question 30

Given


Calculation:

First Derivative:

Second Derivative:

Evaluate at x=0

Information about Test: Differential Equations & Multiple Integrals- 2 Page
In this test you can find the Exam questions for Test: Differential Equations & Multiple Integrals- 2 solved & explained in the simplest way possible. Besides giving Questions and answers for Test: Differential Equations & Multiple Integrals- 2, EduRev gives you an ample number of Online tests for practice
Download as PDF