JEE Exam  >  JEE Tests  >  UGEE SUPR Mock Test- 3 - JEE MCQ

UGEE SUPR Mock Test- 3 - JEE MCQ


Test Description

30 Questions MCQ Test - UGEE SUPR Mock Test- 3

UGEE SUPR Mock Test- 3 for JEE 2025 is part of JEE preparation. The UGEE SUPR Mock Test- 3 questions and answers have been prepared according to the JEE exam syllabus.The UGEE SUPR Mock Test- 3 MCQs are made for JEE 2025 Exam. Find important definitions, questions, notes, meanings, examples, exercises, MCQs and online tests for UGEE SUPR Mock Test- 3 below.
Solutions of UGEE SUPR Mock Test- 3 questions in English are available as part of our course for JEE & UGEE SUPR Mock Test- 3 solutions in Hindi for JEE course. Download more important topics, notes, lectures and mock test series for JEE Exam by signing up for free. Attempt UGEE SUPR Mock Test- 3 | 50 questions in 60 minutes | Mock test for JEE preparation | Free important questions MCQ to study for JEE Exam | Download free PDF with solutions
UGEE SUPR Mock Test- 3 - Question 1

Two thin lenses are in contact and the focal length of the combination is 80 cm. If the focal length of one lens is 20 cm, then the power of the other lens will be

Detailed Solution for UGEE SUPR Mock Test- 3 - Question 1

UGEE SUPR Mock Test- 3 - Question 2

If the kinetic energy of a free electron doubles, it's de-Broglie wavelength changes by the factor

Detailed Solution for UGEE SUPR Mock Test- 3 - Question 2

The de Broglie wavelength is given by λ = h/p, where p is the momentum.
Momentum where m is the mass and K is the kinetic energy.
When the kinetic energy doubles, K' = 2K, so the new momentum is: p' = 
New wavelength: 
Thus, the de Broglie wavelength changes by a factor of 1/√2.

UGEE SUPR Mock Test- 3 - Question 3

The ratio of the energies of the hydrogen atom in its first to second excited states is

Detailed Solution for UGEE SUPR Mock Test- 3 - Question 3

1st excited state corresponds to n = 2
2nd excited state corresponds to n = 3

UGEE SUPR Mock Test- 3 - Question 4

Which of the following gates will have an output of 1?

Detailed Solution for UGEE SUPR Mock Test- 3 - Question 4

(A) is a NAND gate so output is

(B) is a NOR gate so output is

(C) is a NAND gate so output is

(D) is a XOR gate so output is

UGEE SUPR Mock Test- 3 - Question 5

The equivalent capacitance of the combination of the capacitors is

Detailed Solution for UGEE SUPR Mock Test- 3 - Question 5

Equivalent capacitance of two parallel capacitors 10 μF and 6 μF = (10 + 6) μF = 16 μF
This 16 μF capacitor is in series combination with 4 μF capacitor,
∴ Equivalent capacitance of the entire combination 

UGEE SUPR Mock Test- 3 - Question 6

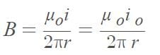
The magnetic field at a distance r from a long wire carrying current i is 0.4 tesla. The magnetic field at a distance 2r is

Detailed Solution for UGEE SUPR Mock Test- 3 - Question 6

Magnetic field due to long wire,

When r is doubled, the magnetic field becomes half, i.e., now the magnetic field will be 0.2 T.

UGEE SUPR Mock Test- 3 - Question 7

The velocity-time graph of a body moving in a straight line is shown in fig. Find the displacement and distance travelled by the body in 10 seconds.

Detailed Solution for UGEE SUPR Mock Test- 3 - Question 7


Total distance covered in 10 s = Area 1 + Area 2 + Area 3

Total displacement in 10 s = Area 1 - Area 2 + Area 3

UGEE SUPR Mock Test- 3 - Question 8

An electric dipole is kept in a uniform electric field. It experiences

Detailed Solution for UGEE SUPR Mock Test- 3 - Question 8

In a uniform electric field, the electric dipole experiences no net force because the forces on the two charges cancel each other out. However, it does experience a torque due to the electric field exerting a turning effect, trying to align the dipole with the field direction.

Therefore, the correct answer is that:

  • The dipole experiences a torque.
  • The dipole experiences no net force.
UGEE SUPR Mock Test- 3 - Question 9

If tan θ = √n for some non-square natural number n, then sec2θ is:

Detailed Solution for UGEE SUPR Mock Test- 3 - Question 9


where n is a non-square natural number so 1 − n ≠ 0. Hence sec2θ is a rational number 
 

UGEE SUPR Mock Test- 3 - Question 10

If z = x + iy, z1/3 = a - ib, then  (a2 - b2) where k is equal to

Detailed Solution for UGEE SUPR Mock Test- 3 - Question 10




Thus, k = 4, matching option D.

UGEE SUPR Mock Test- 3 - Question 11

If  then (3 + ω + 3ω2)4 is

Detailed Solution for UGEE SUPR Mock Test- 3 - Question 11


UGEE SUPR Mock Test- 3 - Question 12

Detailed Solution for UGEE SUPR Mock Test- 3 - Question 12




UGEE SUPR Mock Test- 3 - Question 13

A circle has radius 3, and its centre lies on the line y = x - 1. The equation of the circle, if it passes through (7, 3), is

Detailed Solution for UGEE SUPR Mock Test- 3 - Question 13

Let the centre of the circle be (h, k).
Since the centre lies on the line y = x - 1,
∴ k = h - 1 …(i)
Given the circle passes through (7, 3) and has a radius of 3,
Using the distance formula: (7 - h)² + (3 - k)² = 3²

(7 - h)² + (3 - (h - 1))² = 3²  (∴ k = h-1)
(7 - h)² + (4 - h)² = 9.
Solving these, h = 4, k = 3.
Thus, the circle equation is: (x - 4)² + (y - 3)² = 9
Expanding this, x² - 8x + 16 + y² - 6y + 9 = 9
x² + y² - 8x - 6y + 16 = 0

UGEE SUPR Mock Test- 3 - Question 14

Derivative of log (sec θ + tan θ) with respect to sec θ at θ = π/4 is

Detailed Solution for UGEE SUPR Mock Test- 3 - Question 14

Let u = log (sec θ + tan θ) and v = sec θ
After differentiating on both sides w.r.t. θ, we get

UGEE SUPR Mock Test- 3 - Question 15

The joint equation of bisectors of angles between lines x = 5 and y = 3 is

Detailed Solution for UGEE SUPR Mock Test- 3 - Question 15

The equation of the bisector of the angle between the lines (x = 5) and (y = 3) is

⇒ x − 5 = +(y − 3) and x − 5 = −(y−3)
⇒ (x − y − 2) = 0 and (x + y − 8) = 0
Hence, combined equation of bisectors of angle between given lines is (x − y − 2)(x + y − 8) = 0
⇒ x2 + xy − 8x − xy − y2 + 8y − 2x − 2y − 16 = 0
⇒ x2 − y2 − 10x + 6y + 16 = 0

UGEE SUPR Mock Test- 3 - Question 16

The point on the curve 6y = x3 +2 at which y - co-ordinate is changing 8 times as fast as x- co-ordinate is ______________

Detailed Solution for UGEE SUPR Mock Test- 3 - Question 16

Given, 6y = x3 + 2…(i)
and Δy = 8Δx
On differentiating both sides of Eq. (i) w.r.t. x, we get

⇒ x2 = 16
⇒ x = ±4
When x = 4,6y = (4)3 + 2
⇒ 6y = 66
⇒ y = 11
Hence, required point is (4, 11)

UGEE SUPR Mock Test- 3 - Question 17

If the function f(x) defined by

is contitnous at x = 0, then k is equal to

Detailed Solution for UGEE SUPR Mock Test- 3 - Question 17


As, f(x) is continuous at x = 0
So, LHL = RHL = f(0) ......(i)

Now, from eq. (i), LHL = f(0)
⇒ 0 = k
Hence, k = 0

UGEE SUPR Mock Test- 3 - Question 18

Detailed Solution for UGEE SUPR Mock Test- 3 - Question 18

UGEE SUPR Mock Test- 3 - Question 19

 = Ax + Blog(2ex − 5) + C, then

Detailed Solution for UGEE SUPR Mock Test- 3 - Question 19



UGEE SUPR Mock Test- 3 - Question 20

If  then dy/dx is equal to

Detailed Solution for UGEE SUPR Mock Test- 3 - Question 20



After differentiating on both sides, we get

UGEE SUPR Mock Test- 3 - Question 21

If ‘n’ represents the total number of asymmetric carbon atoms in a compound, then the possible number of optical isomers of the compound is

Detailed Solution for UGEE SUPR Mock Test- 3 - Question 21

The number of optical isomers depends upon the number of asymmetric centres (n). Possible number of optical isomers of the compound is 2n.

UGEE SUPR Mock Test- 3 - Question 22

Which is the most stable allotrope of sulphur?

Detailed Solution for UGEE SUPR Mock Test- 3 - Question 22

Octahedral sulphur (rhombic or α-sulphur) is the most stable allotrope of sulphur.

UGEE SUPR Mock Test- 3 - Question 23

Select the correct statement for thermoplastic polymer.

Detailed Solution for UGEE SUPR Mock Test- 3 - Question 23

Thermoplastic polymers are the linear or slightly branched polymers in which the intermolecular forces of attraction are intermediate between elastomers and fibres.

UGEE SUPR Mock Test- 3 - Question 24

How many Faradays of electricity are required to deposit 10 g of calcium from molten calcium chloride using inert electrodes?
(Molar mass of calcium = 40 g mol-1)

Detailed Solution for UGEE SUPR Mock Test- 3 - Question 24

We require nF to deposit 1 mol or 40 g of Ca.
n = 2 (no. of e⁻ involved)
∵ 10 g Ca is deposited by 0.5 F.

UGEE SUPR Mock Test- 3 - Question 25

Which of the following is an analgesic?

Detailed Solution for UGEE SUPR Mock Test- 3 - Question 25

Paracetamol is classified as an analgesic because it is primarily used to relieve pain and reduce fever. In contrast, the other options are:

  • Ofloxacin - an antibiotic used to treat bacterial infections
  • Penicillin - another antibiotic for bacterial infections
  • Aminoglycosides - a class of antibiotics used in treating serious infections

Thus, unlike the other medications listed, Paracetamol does not treat infections but instead alleviates discomfort and fever.

UGEE SUPR Mock Test- 3 - Question 26

The compound which is not formed when a mixture of n-butyl bromide and ethyl bromide treated with sodium metal in the presence of dry ether is

Detailed Solution for UGEE SUPR Mock Test- 3 - Question 26

In the Wurtz reaction, two alkyl halides react with sodium metal in dry ether to form alkanes. When a mixture of n-butyl bromide (C₄H₉Br, 4 carbons) and ethyl bromide (C₂H₅Br, 2 carbons) is used, three possible products are formed:

  1. Octane (C₈H₁₈): This results from the self-coupling of two n-butyl bromide molecules (2 × 4 = 8 carbons).

    • Reaction: C₂H₃CH₂CH₂CH₂Br + 2Na → CH₃CH₂CH₂CH₂CH₂CH₂CH₂CH₃ + 2NaBr

  2. Butane (C₄H₁₀): This is formed from the self-coupling of two ethyl bromide molecules (2 × 2 = 4 carbons).

    • Reaction: C₂H₃CH₂Br + 2Na → CH₃CH₂CH₂CH₃ + 2NaBr

  3. Hexane (C₆H₁₄): This is formed from the cross-coupling of n-butyl bromide and ethyl bromide (4 + 2 = 6 carbons).

    • Reaction: C₂H₃CH₂CH₂CH₂Br + CH₃CH₂Br + 2Na → CH₃CH₂CH₂CH₂CH₂CH₃ + 2NaBr

Note: Ethane (C₂H₆, 2 carbons) would require the coupling of two methyl bromide (CH₃Br) molecules, but methyl bromide is not present in the mixture. Thus, ethane is not formed, making option D incorrect.

UGEE SUPR Mock Test- 3 - Question 27

Butylated hydroxy anisole is a/an

Detailed Solution for UGEE SUPR Mock Test- 3 - Question 27

Butylated hydroxy anisole is an antioxidant. The conjugated aromatic ring of BHA is able to stabilise free radicals.

UGEE SUPR Mock Test- 3 - Question 28

Which metal crystallises in a simple cubic structure?

Detailed Solution for UGEE SUPR Mock Test- 3 - Question 28

Polonium crystallises in a simple cubic structure under certain conditions, known as the α-phase. The other metals listed have different crystal structures:

  • Copper: exhibits a face-centred cubic (FCC) structure
  • Nickel: exhibits a face-centred cubic (FCC) structure
  • Iron (at room temperature): exhibits either a face-centred cubic (FCC) or body-centred cubic (BCC) structure
UGEE SUPR Mock Test- 3 - Question 29

The amine ‘A’ when treated with nitrous acid gives yellow oily substance. The amine A is

Detailed Solution for UGEE SUPR Mock Test- 3 - Question 29

When amines react with nitrous acid (HNO₂) at low temperatures:

  • Primary aliphatic amines (e.g., RNH₂) produce alcohols and nitrogen gas.

  • Primary aromatic amines (e.g., aniline, C₆H₅NH₂), which are not yellow oils but can couple with phenols to form azo dyes (colored compounds).

  • Secondary amines (e.g., RR'NH) form yellow oily nitrosoamines (RR'NNO).

  • Tertiary amines (e.g., R₃N) may form nitrite salts or not react significantly, depending on conditions, but do not produce yellow oils.

Analyzing the options:

  • A: Triethylamine (C₂H₅)₃N – Tertiary, no yellow oil.

  • B: Trimethylamine (CH₃)₃N – Tertiary, no yellow oil.

  • C: Aniline (C₆H₅NH₂) – Primary aromatic, forms diazonium salt, not a yellow oil directly.

  • D: Methylphenylamine (C₆H₅NCH₃) – Secondary, forms C₆H₅N(CH₃)NO, a yellow oily nitrosoamine.

Thus, the amine 'D' that produces a yellow oily substance with nitrous acid is methylphenylamine, making option D correct.

UGEE SUPR Mock Test- 3 - Question 30

The element that does not form acidic oxide is

Detailed Solution for UGEE SUPR Mock Test- 3 - Question 30

The acidic oxides are formed by the non-metals (group 14-17) whereas basic oxides are formed by the metals of group 1 and group 2 elements. Ba belongs to group 2.

View more questions
Information about UGEE SUPR Mock Test- 3 Page
In this test you can find the Exam questions for UGEE SUPR Mock Test- 3 solved & explained in the simplest way possible. Besides giving Questions and answers for UGEE SUPR Mock Test- 3, EduRev gives you an ample number of Online tests for practice
Download as PDF