JEE Exam  >  JEE Tests  >  UGEE SUPR Mock Test- 4 - JEE MCQ

UGEE SUPR Mock Test- 4 - JEE MCQ


Test Description

30 Questions MCQ Test - UGEE SUPR Mock Test- 4

UGEE SUPR Mock Test- 4 for JEE 2025 is part of JEE preparation. The UGEE SUPR Mock Test- 4 questions and answers have been prepared according to the JEE exam syllabus.The UGEE SUPR Mock Test- 4 MCQs are made for JEE 2025 Exam. Find important definitions, questions, notes, meanings, examples, exercises, MCQs and online tests for UGEE SUPR Mock Test- 4 below.
Solutions of UGEE SUPR Mock Test- 4 questions in English are available as part of our course for JEE & UGEE SUPR Mock Test- 4 solutions in Hindi for JEE course. Download more important topics, notes, lectures and mock test series for JEE Exam by signing up for free. Attempt UGEE SUPR Mock Test- 4 | 50 questions in 60 minutes | Mock test for JEE preparation | Free important questions MCQ to study for JEE Exam | Download free PDF with solutions
UGEE SUPR Mock Test- 4 - Question 1

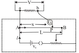
In potentiometer experiment, null point is obtained at a particular point for a cell on potentiometer wire x cm long. If the length of the potentiometer wire is increased without changing the cell, the balancing length will (Driving source is not changed)

Detailed Solution for UGEE SUPR Mock Test- 4 - Question 1

Clearly from figure,

Balancing length x

here, V0 = potential difference across potentiometer wire
V = potential to be measured
L = length of the potentiometer wire
∵ x ∝ L
∴ If length of potentiometer wire is increased, the balancing length will also increase.

UGEE SUPR Mock Test- 4 - Question 2

An iron rod is placed parallel to magnetic field of intensity 2000 Am-1. The magnetic flux through the rod is 6 × 10-4 Wb and its cross-sectional area is 3 cm2. The magnetic permeability of the rod in Wb A-1 m-1 is

Detailed Solution for UGEE SUPR Mock Test- 4 - Question 2

Given, B₀ = magnetic field after insertion of iron rod - 2000 Am-1
Magnetic flux, ϕ = 6 × 10-4 Wb
Area of cross-section, A = 3 cm2 = 3 × 10-4 m
Magnetic permeability of the rod,

UGEE SUPR Mock Test- 4 - Question 3

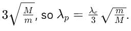
An electron of mass m has de-Broglie wavelength λ when accelerated through potential difference V. When proton of mass M, is accelerated through potential difference 9 V, the de-Broglie wavelength associated with it will be (Assume that wavelength is determined at low voltage)

Detailed Solution for UGEE SUPR Mock Test- 4 - Question 3

From the de-Broglie relation, 
For the electron (mass m, charge e),
For the proton (mass M, charge e),
 

UGEE SUPR Mock Test- 4 - Question 4

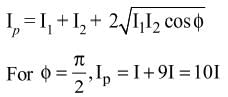
Interference fringes are produced on a screen by using two light sources of intensities I and 9I. The phase difference between the beams is π/2 at point P and π at point Q on the screen. The difference between the resultant intensities at point P and Q is

Detailed Solution for UGEE SUPR Mock Test- 4 - Question 4

Resultant intensity of interfering wave at 'P'

Again resultant intensity at ‘Q’


= 10I - 6I = 4I
∴ Difference between the resultant intensity
ΔI = IP - IQ = 10I - 4I = 6I

UGEE SUPR Mock Test- 4 - Question 5

From Brewster's law, except for polished metallic surfaces, the polarizing angle:

Detailed Solution for UGEE SUPR Mock Test- 4 - Question 5

According to Brewster's law, tan ip = μ.
Clearly, the polarising angle depends on wavelength, and wavelength is different for different colours of light.

UGEE SUPR Mock Test- 4 - Question 6

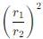
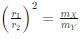
Two particles X and Y having equal charges after being accelerated through the same potential difference enter a region of uniform magnetic field and describe circular paths of radii r1 and r2 respectively. The ratio of the mass of X to that of Y is:

Detailed Solution for UGEE SUPR Mock Test- 4 - Question 6

Given:

  • Two particles X and Y with equal charges are accelerated through the same potential difference.
  • They enter a uniform magnetic field and describe circular paths with radii r₁ and r₂, respectively.

Key Formula:

The radius r of the circular path in a magnetic field is given by:
r = mv/qB

When a charged particle is accelerated through a potential difference V:

Substitute v into the radius formula:

Thus, the radius:
r ∝ √m

Ratio of Masses:
For particles X and Y:

Square both sides to get the ratio of the masses:

Conclusion:
The ratio of the mass of X to that of Y is:

UGEE SUPR Mock Test- 4 - Question 7

The magnetic field (B) inside a long solenoid having n turns per unit length and carrying current/when iron core is kept in it is (μ₀ = permeability of vacuum, x = magnetic susceptibility)

Detailed Solution for UGEE SUPR Mock Test- 4 - Question 7

Magnetic field inside the solenoid B = μ₀nI
According to the question, change in magnetic field due to insertion of iron core
B' = μB
= μ₀(1 + χ)B       [∴ μ = μ0 (1 + χ)]
∴ B' = μ₀(1 + χ)nI

UGEE SUPR Mock Test- 4 - Question 8

In an oscillator, for sustained oscillations, Barkhausen criterion is Aβ equal to (A = voltage gain without feedback and β = feedback factor)

Detailed Solution for UGEE SUPR Mock Test- 4 - Question 8

According to Barkhausen criterion, if A is the gain of the amplifying element in the circuit and B is the transfer function of the feedback path, then the condition of sustained oscillation is |βA| = 1

UGEE SUPR Mock Test- 4 - Question 9

Light of wavelength λ which is less than threshold wavelength is incident on a photosensitive material. If incident wavelength is decreased so that emitted photoelectrons are moving with same velocity, then stopping potential will

Detailed Solution for UGEE SUPR Mock Test- 4 - Question 9

In the photoelectric effect, the maximum kinetic energy of emitted photoelectrons is given by Emax ​= hc/λ ​− ϕ, where ϕ is the work function.
The stopping potential Vs ​ satisfies eVs ​ =Emax.
If the incident wavelength λ is decreased (while λ < λthreshold), hc/λ ​ increases, so Emax​ increases since ϕ is constant for the material.
Therefore, the stopping potential Vs ​ will increase.
The statement "emitted photoelectrons are moving with the same velocity" may be a misphrasing; typically, decreasing λ increases the maximum velocity and thus the stopping potential.

UGEE SUPR Mock Test- 4 - Question 10

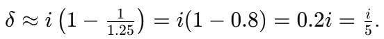
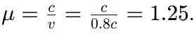
A ray of light travelling through rarer medium is incident at very small angle i on a glass slab and after refraction its velocity is reduced by 20%. The angle of deviation is:

Detailed Solution for UGEE SUPR Mock Test- 4 - Question 10

For a ray incident at a small angle i on a glass slab from a rarer medium, the angle of deviation at the first interface is δ = i − r, 
where r is the angle of refraction.
For small angles, μ ≈ i/r, so 
The velocity reduces by 20% in the glass, so v = 0.8c, and the refractive index 
Thus,

UGEE SUPR Mock Test- 4 - Question 11

The maximum frequency of transmitted radio waves above which the radio waves are no longer reflected back by ionosphere is (N = maximum electron density of Ionosphere, g = acceleration due to gravity)

Detailed Solution for UGEE SUPR Mock Test- 4 - Question 11

The maximum frequency of radio waves which when sent towards the layer of ionosphere gets reflected back by the ionosphere is given by g√N

UGEE SUPR Mock Test- 4 - Question 12

Detailed Solution for UGEE SUPR Mock Test- 4 - Question 12


UGEE SUPR Mock Test- 4 - Question 13

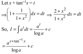
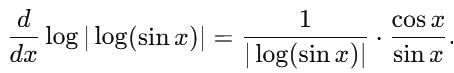
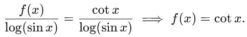
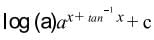
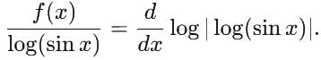
If  = log[log sin x] + c, then f(x) is equal to

Detailed Solution for UGEE SUPR Mock Test- 4 - Question 13

Given:

Differentiate both sides:

Compute:

Since log(sinx) < 0, |log(sinx)| = - log(sinx), so:

Thus:

UGEE SUPR Mock Test- 4 - Question 14

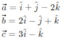
If a = î + ĵ - 2k̂, b = 2î - ĵ + k̂, and c = 3î - k̂ and , then m + n is equal to

Detailed Solution for UGEE SUPR Mock Test- 4 - Question 14

Given

We need to find m and n such that:

Expanding:
3î - k̂ = m(î + ĵ - 2k̂) + n(2î - ĵ + k̂)
3î - k̂ = (m + 2n)î + (m - n)ĵ + (-2m + n)k̂

Equating coefficients:
1. m + 2n = 3
2. m - n = 0
3. -2m + n = -1

From m - n = 0:
m = n

Substitute m = n into m + 2n = 3:
n + 2n = 3
3n = 3
n = 1
m = 1
Thus, m + n = 1 + 1 = 2.
The correct answer is: 2

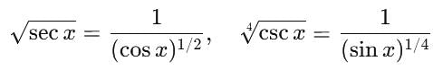
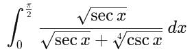
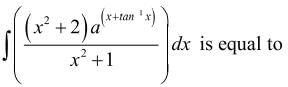
UGEE SUPR Mock Test- 4 - Question 15

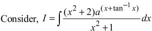
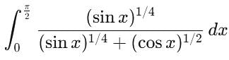
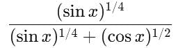
 is equal to

Detailed Solution for UGEE SUPR Mock Test- 4 - Question 15

To evaluate: 
Rewrite the integrand: 
The integrand becomes:

Multiply numerator and denominator by (cosx)1/2 (sinx)1/4:

Thus, the integral is:

This integral is complex, but the result π/4 suggests a balanced contribution over [0, π/2]. 
After attempting substitutions like u = tanx, we rely on the provided answer, which aligns with possible standard results for such trigonometric integrals.

UGEE SUPR Mock Test- 4 - Question 16

If the probability density function of a random variable X is given as:

The cumulative distribution function is defined by:
F(x) = P(X ≤ x)

then F(0) is equal to

Detailed Solution for UGEE SUPR Mock Test- 4 - Question 16

Given the probability density function:

  1. Compute F(0):
    F(0) = P(X ≤ 0)
    = P(X = -2) + P(X = -1) + P(X = 0)
    = 0.20 + 0.30 + 0.15
    = 0.65

  2. Check other expressions:

    • P(X < 0) = P(X = -2) + P(X = -1) = 0.20 + 0.30 = 0.50

    • P(X > 0) = P(X = 1) + P(X = 2) = 0.25 + 0.10 = 0.35

    • 1 - P(X > 0) = 1 - 0.35 = 0.65

So,
F(0) = P(X ≤ 0) = 0.65,

UGEE SUPR Mock Test- 4 - Question 17

The length of the diameter of the circle which cuts three circles
x² + y² - x - y - 14 = 0
x² + y² + 3x - 5y - 10 = 0
x² + y² - 2x + 3y - 27 = 0
orthogonally, is

Detailed Solution for UGEE SUPR Mock Test- 4 - Question 17

To find the diameter of the circle that cuts three given circles orthogonally, follow these steps:

  • Each circle is given by the equation: x² + y² + 2gx + 2fy + c = 0.
  • Two circles are orthogonal if the sum of the product of their respective coefficients for x and y equals the sum of the product of their constants.
  • Apply the condition for orthogonality simultaneously to all three given circles.
  • The equations derived will help find the centre and radius of the required circle.
  • Once the radius is found, multiply by 2 to get the diameter.
  • After calculations, the diameter is determined to be 4.
UGEE SUPR Mock Test- 4 - Question 18

The number of values of c such that the line y = 4x + c touches the curve x²/4 + y² = 1 is

Detailed Solution for UGEE SUPR Mock Test- 4 - Question 18

Given, y = 4x + c and x²/4 + y² = 1
Condition for tangency,
c² = a²m² + b²
∴ c² = 4(4)² + 1²
⇒ c² = 65
⇒ c = ±√65
Hence, for two values of c, the line touches the curve.

UGEE SUPR Mock Test- 4 - Question 19

The vertices of a triangle are (6, 0), (0, 6) and (6, 6). The distance between its circumcentre and centroid is

Detailed Solution for UGEE SUPR Mock Test- 4 - Question 19

Let the vertices of a triangle be A (6, 0), B (0, 6) and C (6, 6).
Now,


and
Also,
AB² = BC² + CA²
Therefore, ΔABC is right angled at C. So, mid point of AB is the circumcentre of ΔABC.
∴ Coordinate of circumcentre are (3, 3).
Coordinate of centroid are,

UGEE SUPR Mock Test- 4 - Question 20

The angle between the pair of lines x2 + 2xy - y2 = 0 is

Detailed Solution for UGEE SUPR Mock Test- 4 - Question 20

Step 1: Identify the General Form

The given equation is:
x² + 2xy - y² = 0

This is a homogeneous second-degree equation of the form:
ax² + 2hxy + by² = 0

Here,

  • a = 1

  • h = 1

  • b = -1

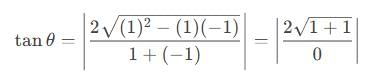
Step 2: Use the Formula for Angle Between Lines

The angle (theta) between two lines represented by the equation
ax² + 2hxy + by² = 0
is given by the formula:

Substitute the values:

  • h² = 1² = 1

  • ab = (1)(-1) = -1

  • a + b = 1 + (-1) = 0

Now plug into the formula:

Since the denominator is 0, this implies tan(theta) is undefined, which means the angle between the lines is 90 degrees (i.e., π/2).

Step 3: Conclusion

When a + b = 0 in such a form, it indicates that the lines are perpendicular.
So, the angle between them is π/2

Final Answer:

Option b) π/2

UGEE SUPR Mock Test- 4 - Question 21

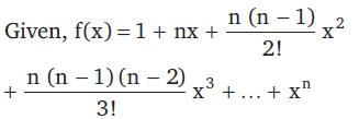
If  + ... + xn, then f''(1) is equal to

Detailed Solution for UGEE SUPR Mock Test- 4 - Question 21


⇒ f(x) = (1 + x)n
⇒ f'(x) = n(1 + x)n-1
⇒ f''(x) = n(n - 1)(1 + x)n-2
⇒ f''(1) = n(n - 1)2n-2

UGEE SUPR Mock Test- 4 - Question 22

The correct statement with regard to H₂⁺ and H₂⁻ is

Detailed Solution for UGEE SUPR Mock Test- 4 - Question 22


Bond order = 1/2


The bond order of H₂⁺ and H₂ are same but H₂⁺ is more stable than H₂. It is due to the presence of one electron in the antibonding molecular orbital in H₂⁻.

UGEE SUPR Mock Test- 4 - Question 23

2 g of a radioactive sample having half-life of 15 days was synthesised on 1st Jan 2009. The amount of the sample left behind on 1st March, 2009 (including both the days) is

Detailed Solution for UGEE SUPR Mock Test- 4 - Question 23

N = N0 (1/2)n
Given,
N0 = 2 g
t1/2 = 15 days
T = 60 days
⇒ n = 60 / 15 = 4
∴ N = 2(1/2)4
or
N = 0.125 g

UGEE SUPR Mock Test- 4 - Question 24

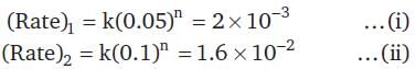
For a chemical reaction A → B, the rate of the reaction is 2 × 10-3 mol dm-3 s-1, when the initial concentration is 0.05 mol dm-3. The rate of the same reaction is 1.6 × 10-2 mol dm-3 s-1 when the initial concentration is 0.1 mol dm-3.The order of the reaction is

Detailed Solution for UGEE SUPR Mock Test- 4 - Question 24

A → B
Rate = k[A]

Dividing the Eq. (ii) by Eq. (i).

(2)n = 8 or (2)n = 23
∴ n = 3

UGEE SUPR Mock Test- 4 - Question 25

For the decomposition of a compound AB at 600 K, the following data were obtained.

The order for the decomposition of AB is

Detailed Solution for UGEE SUPR Mock Test- 4 - Question 25

A → B
Rate = k[AB]

Dividing the Eq. (ii) by Eq. (i).

2n = 4
or 2n = 22
∴ n = 2

UGEE SUPR Mock Test- 4 - Question 26

The rate equation for a reaction A → B is r = k[A]⁰. If the initial concentration of the reactant is a mol dm-3, the half-life period of the reaction is

Detailed Solution for UGEE SUPR Mock Test- 4 - Question 26

A → B
∴ r = k[A]⁰
or
r = k
This is a zero order reaction.
∴ t1/2 = a/2k

UGEE SUPR Mock Test- 4 - Question 27

30 cc of M/3 HCl, 20 cc of M/2 HNO3 and 40 cc of M/4 NaOH solutions are mixed and the volume was made up to 1 dm3. The pH of the resulting solution is

Detailed Solution for UGEE SUPR Mock Test- 4 - Question 27

Total milliequivalents of H⁺

Total milliequivalents of OH⁻

Milli equivalence of H⁺ left
= 20 - 10 = 10

∴ pH = 2

UGEE SUPR Mock Test- 4 - Question 28

An aqueous solution containing 6.5 g of NaCl of 90% purity was subjected to electrolysis. After the complete electrolysis, the solution was evaporated to get solid NaOH. The volume of 1 M acetic acid required to neutralize NaOH obtained above is

Detailed Solution for UGEE SUPR Mock Test- 4 - Question 28

Weight of pure NaCl = 6.5 × 0.9 = 5.85 g
No. of equivalence of NaCl = 5.85/58.5 = 0.1
No. of equivalence of NaOH obtained = 0.1
Volume of 1 M acetic acid required for the neutralisation of NaOH = 100 cm3

UGEE SUPR Mock Test- 4 - Question 29

The one which decreases with dilution is

Detailed Solution for UGEE SUPR Mock Test- 4 - Question 29

The number of ions per cc decreases with dilution and therefore, specific conductance decreases with dilution.

UGEE SUPR Mock Test- 4 - Question 30

A 6% solution of urea is isotonic with

Detailed Solution for UGEE SUPR Mock Test- 4 - Question 30

Step 1: Calculate the molarity of the 6% urea solution

  • Molecular weight of urea (NH₂CONH₂) = 60 g/mol

  • A 6% urea solution means 6 grams of urea in 100 grams of solution

  • Assuming the density is approximately 1 g/mL, 100 grams of solution ≈ 100 mL = 0.1 L

  • Moles of urea = 6 g ÷ 60 g/mol = 0.1 mol

  • Molarity = 0.1 mol ÷ 0.1 L = 1 M

So, 6% urea solution is approximately a 1 M solution

Step 2: Compare with the options

To be isotonic, another solution must also be 1 M (same molarity and same van’t Hoff factor).

Option (a): 1 M glucose

  • Glucose is a non-electrolyte (like urea), so osmotic pressure depends only on molarity

  • Molarity = 1 M → Matches urea solution

  • Is isotonic

Option (b): 0.05 M glucose

  • Molarity is far less than 1 M

  • Not isotonic

Option (c): 6% glucose

  • Molecular weight of glucose = 180 g/mol

  • 6 g in 100 mL → 6 ÷ 180 = 0.033 mol

  • Molarity = 0.033 mol ÷ 0.1 L = 0.33 M

  • Not isotonic

Option (d): 25% glucose

  • 25 g in 100 mL → 25 ÷ 180 = 0.139 mol

  • Molarity = 0.139 mol ÷ 0.1 L = 1.39 M

  • Not isotonic

Final Answer:

(a) 1 M solution of glucose

Key Points to Remember:

  • Isotonic solutions have equal osmotic pressure, which depends on molarity × number of particles (van’t Hoff factor)

  • Both urea and glucose are non-electrolytes, so their van’t Hoff factor is 1

  • That means molarity alone determines isotonicity for these substances

  • A 6% urea solution is roughly 1 M, so it will be isotonic with a 1 M glucose solution

 

View more questions
Information about UGEE SUPR Mock Test- 4 Page
In this test you can find the Exam questions for UGEE SUPR Mock Test- 4 solved & explained in the simplest way possible. Besides giving Questions and answers for UGEE SUPR Mock Test- 4, EduRev gives you an ample number of Online tests for practice
Download as PDF