NEET Exam  >  NEET Tests  >  Test: Reflection of Waves & Beats (September 29) - NEET MCQ

Test: Reflection of Waves & Beats (September 29) - NEET MCQ


Test Description

10 Questions MCQ Test - Test: Reflection of Waves & Beats (September 29)

Test: Reflection of Waves & Beats (September 29) for NEET 2025 is part of NEET preparation. The Test: Reflection of Waves & Beats (September 29) questions and answers have been prepared according to the NEET exam syllabus.The Test: Reflection of Waves & Beats (September 29) MCQs are made for NEET 2025 Exam. Find important definitions, questions, notes, meanings, examples, exercises, MCQs and online tests for Test: Reflection of Waves & Beats (September 29) below.
Solutions of Test: Reflection of Waves & Beats (September 29) questions in English are available as part of our course for NEET & Test: Reflection of Waves & Beats (September 29) solutions in Hindi for NEET course. Download more important topics, notes, lectures and mock test series for NEET Exam by signing up for free. Attempt Test: Reflection of Waves & Beats (September 29) | 10 questions in 20 minutes | Mock test for NEET preparation | Free important questions MCQ to study for NEET Exam | Download free PDF with solutions
Test: Reflection of Waves & Beats (September 29) - Question 1

What is the condition for the reflected wavefront in reflection to be built up from secondary wavelets?

Detailed Solution for Test: Reflection of Waves & Beats (September 29) - Question 1
In reflection, secondary wavelets start at different times, leading to the formation of the reflected wavefront.
Test: Reflection of Waves & Beats (September 29) - Question 2

What is the name given to the angle at which light is polarized when it reflects from a transparent surface?

Detailed Solution for Test: Reflection of Waves & Beats (September 29) - Question 2
The angle at which light is polarized when it reflects from a transparent surface is called the polarizing angle.
Test: Reflection of Waves & Beats (September 29) - Question 3

A ray of light strikes a mirror. The angle between the incident ray and reflected ray is 60°. What is the angle of incidence?

Detailed Solution for Test: Reflection of Waves & Beats (September 29) - Question 3

In a plane mirror, angle of incidence i = angle of reflection r.
The angle between the incident and reflected rays is i + r = 2i
Given 2i = 60
⇒ i = 30

Test: Reflection of Waves & Beats (September 29) - Question 4

What would be the frequency (in Hz) of the beats when two sounds of frequencies 256 Hz and 260 Hz superimpose?

Detailed Solution for Test: Reflection of Waves & Beats (September 29) - Question 4

To find the frequency of the beats produced when two sounds with frequencies of 256 Hz and 260 Hz are combined, we can use the following method:

  • Calculate the difference between the two frequencies: 260 Hz - 256 Hz = 4 Hz
  • The frequency of the beats is equal to this difference.

Therefore, the frequency of the beats is 4 Hz.

Test: Reflection of Waves & Beats (September 29) - Question 5
What is the condition for the reflected and refracted waves to be built up from secondary wavelets in the context of reflection and refraction?
Detailed Solution for Test: Reflection of Waves & Beats (September 29) - Question 5
Both in reflection and refraction, secondary wavelets start at different times, contributing to the formation of the reflected and refracted waves.
Test: Reflection of Waves & Beats (September 29) - Question 6

Two tuning forks, A and B, produce notes of frequencies 258 Hz and 262 Hz. An unknown note sounded with A produces certain beats. When the same note is sounded with B, the beat frequency gets doubled. The unknown frequency is _____.

Detailed Solution for Test: Reflection of Waves & Beats (September 29) - Question 6

Let the unknown frequency be f.
With fork A:

Beat frequency = ∣f−258∣  

With fork B:

Beat frequency = ∣f−262∣

Given that the beat frequency with B is double that with A,

∣f−262∣ = 2 ∣f−258∣

Assume f < 258 (since doubling occurs when the note is on the lower side):

Test: Reflection of Waves & Beats (September 29) - Question 7

The law of reflection says the _____ angle is equal to the reflected angle.

Detailed Solution for Test: Reflection of Waves & Beats (September 29) - Question 7

According to the law of reflection,

Angle of incidence (i) = Angle of reflection (r).

Therefore, the incident angle is equal to the reflected angle.

Test: Reflection of Waves & Beats (September 29) - Question 8

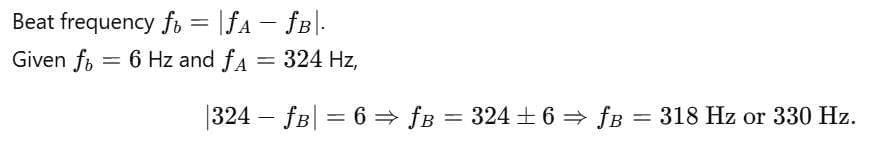
Two sitar strings A and B are playing a note and are slightly out of tune and they produce beat of 6 Hz. If original frequency of A is 324 Hz, what can be the frequency of B?

Detailed Solution for Test: Reflection of Waves & Beats (September 29) - Question 8

So, Option (c) is the correct answer.

Test: Reflection of Waves & Beats (September 29) - Question 9
Which phenomenon of light is explained by Brewster's Law?
Detailed Solution for Test: Reflection of Waves & Beats (September 29) - Question 9
Brewster's Law explains the phenomenon of polarization in reflection.
Test: Reflection of Waves & Beats (September 29) - Question 10

Two sound waves of slightly different frequencies propagating in the same direction produce beats due to

Detailed Solution for Test: Reflection of Waves & Beats (September 29) - Question 10

When two sound waves with slightly different frequencies travel in the same direction, they create a phenomenon known as beats. This occurs due to the interference of the sound waves. Here’s a simplified explanation of the process:

  • As the waves move, they occasionally reinforce each other, resulting in a louder sound.
  • At other times, they can cancel each other out, leading to a softer sound.
  • This pattern of alternating loud and soft sounds is perceived as beats.

In summary, the interaction of the two sound waves through interference is what produces the effect known as beats.

Information about Test: Reflection of Waves & Beats (September 29) Page
In this test you can find the Exam questions for Test: Reflection of Waves & Beats (September 29) solved & explained in the simplest way possible. Besides giving Questions and answers for Test: Reflection of Waves & Beats (September 29), EduRev gives you an ample number of Online tests for practice
Download as PDF