Class 10 Exam  >  Class 10 Tests  >  Online MCQ Tests for Class 10  >  RD Sharma Test: Triangles - Class 10 MCQ

RD Sharma Test: Triangles - Class 10 MCQ


Test Description

25 Questions MCQ Test Online MCQ Tests for Class 10 - RD Sharma Test: Triangles

RD Sharma Test: Triangles for Class 10 2026 is part of Online MCQ Tests for Class 10 preparation. The RD Sharma Test: Triangles questions and answers have been prepared according to the Class 10 exam syllabus.The RD Sharma Test: Triangles MCQs are made for Class 10 2026 Exam. Find important definitions, questions, notes, meanings, examples, exercises, MCQs and online tests for RD Sharma Test: Triangles below.
Solutions of RD Sharma Test: Triangles questions in English are available as part of our Online MCQ Tests for Class 10 for Class 10 & RD Sharma Test: Triangles solutions in Hindi for Online MCQ Tests for Class 10 course. Download more important topics, notes, lectures and mock test series for Class 10 Exam by signing up for free. Attempt RD Sharma Test: Triangles | 25 questions in 45 minutes | Mock test for Class 10 preparation | Free important questions MCQ to study Online MCQ Tests for Class 10 for Class 10 Exam | Download free PDF with solutions
RD Sharma Test: Triangles - Question 1

In triangle PQR, the length of the side QR is less than twice the length of the side PQ by 2 cm. Length of the side PR exceeds the length of the side PQ by 10 cm. The perimeter is 40 cm. The length of the smallest side of the triangle PQR is :

Detailed Solution for RD Sharma Test: Triangles - Question 1

Let PQ = x.

Then, according to the given conditions, QR = 2x – 2 and PR = x + 10.

Using the perimeter, we write the equation: x + (2x – 2) + (x + 10) = 40.

Combining like terms, we have 4x + 8 = 40.

Subtracting 8 from both sides, 4x = 32.

Dividing both sides by 4 gives x = 8.

Since PQ = 8 cm and it is the smallest among the sides,

the answer is 8 cm.

RD Sharma Test: Triangles - Question 2

In the given figureΔABO ∼ ΔDCO. IfCD = 2cm, AB = 3 cm, OC = 3.2 cm, OD = 2.4 cm, then 

Detailed Solution for RD Sharma Test: Triangles - Question 2


RD Sharma Test: Triangles - Question 3

In the given figure, AB || DE and BD || EF. Then 

Detailed Solution for RD Sharma Test: Triangles - Question 3


RD Sharma Test: Triangles - Question 4

Two isosceles triangles have equal angles and their areas are in the ratio 16 : 25. Then, the ratio of their corresponding heights is

Detailed Solution for RD Sharma Test: Triangles - Question 4

Let two isosceles triangles be ΔABC and ΔDEF And their corresponding altitudes are AM and DN.
Since the corresponding angles of both triangles are equal.

RD Sharma Test: Triangles - Question 5

If PQR is an isosceles triangle and M is a point on QR such that PM⊥QR,then

Detailed Solution for RD Sharma Test: Triangles - Question 5

 

Since, in a triangle the sum of squares of any wo sides is equal to twice the square of half of the third side together with twice the square of the median bisecting it.
In ΔPQM,


RD Sharma Test: Triangles - Question 6

If in two triangles ABC and DEF, 

Detailed Solution for RD Sharma Test: Triangles - Question 6

If in two triangles ABC and DEF, 

ΔFDE∼ΔCAB because for similarity, all sides should be in proportion.

RD Sharma Test: Triangles - Question 7

In trapezium ABCD, if AB||DC, AB = 9 cm, DC = 6 cm and BD = 12 cm, then BO is equal to

Detailed Solution for RD Sharma Test: Triangles - Question 7


RD Sharma Test: Triangles - Question 8

In an equilateral triangle ABC, if AD⊥BC,then

Detailed Solution for RD Sharma Test: Triangles - Question 8

Since the internal bisector of an angle of a triangle divides the opposite side internally in the ratio of the sides containing the angle.

RD Sharma Test: Triangles - Question 9

If ΔABC ∼ ΔPQR such that AB = 1.2 cm, PQ = 1.4 cm, then

Detailed Solution for RD Sharma Test: Triangles - Question 9

RD Sharma Test: Triangles - Question 10

Two poles of height 8 m and 13 m are standing 12 m apart. The distance between their tops is

Detailed Solution for RD Sharma Test: Triangles - Question 10


AB = 13 m Therefore, the distance between their tops is 13 m. 

RD Sharma Test: Triangles - Question 11

If ΔABC ∼ ΔEDF and ΔABC is not similar to ΔDEF, then which of the following is not true?

Detailed Solution for RD Sharma Test: Triangles - Question 11

If ΔABC ∼ ΔEDF and ΔABC is not similar to ΔDEF,ΔDEF,then BC. DE = AB .EF 
Here according to given condition, BC. DE  ≠ AB .EF

RD Sharma Test: Triangles - Question 12

In the adjoining figure AC || BD. If AC = 6 cm, AE = 3 cm, EB = 4 cm, ED = 8 cm, then CE and BD are respectively

Detailed Solution for RD Sharma Test: Triangles - Question 12

Given: AC || BD.and AC = 6 cm, AE = 3 cm, EB = 4 cm, ED = 8 cm,
In triangles ACE and DEB, ∠AEC = ∠DEB [Vertically opposite angles] ∠ECA = ∠EDB [Alternate angles as

RD Sharma Test: Triangles - Question 13

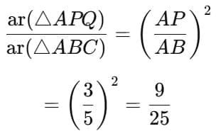
If ΔABC ∼ ΔDEF and EF = 1/3BC, then ar(ΔABC):(ΔDEF) is

Detailed Solution for RD Sharma Test: Triangles - Question 13

If two triangles are similar, the ratio of their areas = (ratio of their corresponding sides)2
Given:
ΔABC ∼ ΔDEF
Corresponding side ratio:
EF = 1/3 BC
EF/BC = 1/3
So,

We need ar(ΔABC) : ar(ΔDEF)
So,

Correct Option: C

RD Sharma Test: Triangles - Question 14

A semicircle is drawn on AC. Two chords AB and BC of length 8 cm and 6 cm respectively are drawn in the semicircle. What is the measure of the diameter of the circle?

Detailed Solution for RD Sharma Test: Triangles - Question 14

The diameter of circle is AC. Here ∠ABC is angle of semicircle. 

AB ∴ ∠ ABC = 90° ∴ Δ ABC is aright angled triangle. 

10 cm

RD Sharma Test: Triangles - Question 15

The length of the second diagonal of a rhombus whose side is 5 cm and one of the diagonal is 8 cm is

Detailed Solution for RD Sharma Test: Triangles - Question 15

Let ABCD be a rhombus.
One diagonal BC = 8 cm and dise BC 5 cm
Since diagonals of a rhombus bisect each other at 90

RD Sharma Test: Triangles - Question 16

In the given figures the measures of ∠P and ∠R are respectively

Detailed Solution for RD Sharma Test: Triangles - Question 16


Since, Sides of ΔABC and ΔPQR are proportional, therefore, .
∴ ∠A = ∠Q, ∠B = ∠R and ∠C = ∠P
⇒ ∠P
= 20° and ∠R
​= 30° 

RD Sharma Test: Triangles - Question 17

In the given figure, AP is equal to

Detailed Solution for RD Sharma Test: Triangles - Question 17

In triangles APB and CPD,
∠APB = ∠CPD [Vertically opposite angles] ∠BAP = ∠ACD [Alternate angles as AB||CD]

RD Sharma Test: Triangles - Question 18

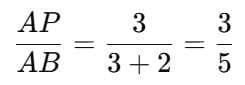
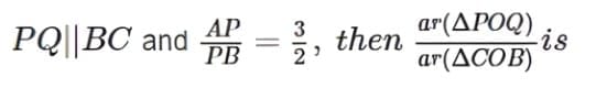
In the given figure if 

Detailed Solution for RD Sharma Test: Triangles - Question 18

Given:

Step 1: Find the ratio of AP/AB
AB = AP + PB

Step 2: Use similarity of triangles
Since PQ∥BC,

For similar triangles,

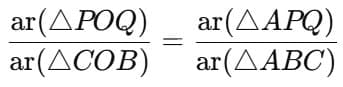
Step 3: Use area property of triangles
Lines BQ and CP intersect at O
Triangles △POQ and △APQ lie between the same parallels and on the same base PQ.
hence:

Correct Option:D

RD Sharma Test: Triangles - Question 19

ABC is a right triangle right angled at B. BD is the altitude through B. If BD = 4 cm and AD = 3 cm then AC is equal to

Detailed Solution for RD Sharma Test: Triangles - Question 19


RD Sharma Test: Triangles - Question 20

The length of the side of a rhombus whose diagonals are of lengths 24 cm and 10 cm is

Detailed Solution for RD Sharma Test: Triangles - Question 20

Let ABCD be the required rhombus whose diagonals are AC = 10 cm and BD = 24 cm. Let AC and BD intersect each other at O.
Then AB = BC = CD = DA
Also AO = CO = 10/2 = 5 cm
And BO = DO = 24/2 = 12 cm

RD Sharma Test: Triangles - Question 21

In the given figure if ∠ADE = ∠ABC,then CE is equal to

Detailed Solution for RD Sharma Test: Triangles - Question 21

RD Sharma Test: Triangles - Question 22

In the given figure if AT = AQ = 6, AS = 3, TS = 4, then 

Detailed Solution for RD Sharma Test: Triangles - Question 22



RD Sharma Test: Triangles - Question 23

The areas of two similar triangles are 100cmand 49 cm2. If the altitude of the larger triangle is 5 cm, then the corresponding altitude of the other triangle is equal to

Detailed Solution for RD Sharma Test: Triangles - Question 23

Let the two similar triangles be ΔABC and ΔDEF such that ar(ΔABC) = 100 cm2 and ar(ΔDEF) = 49 cm2.
Let AM and DN be the respective altitudes of ΔABC and ΔDEF.
Since the ratio of the areas of two similar triangles is equal to the ratio of the squares of their corresponding altitudes

RD Sharma Test: Triangles - Question 24

A man goes 15 m due west and then 8 m due north. How far is he from the starting point ?

Detailed Solution for RD Sharma Test: Triangles - Question 24

Using Pythagoras Theorem,
AC2 = AB2 + BC2 = 64 + 225 = 289 8 m ⇒ AC 17 cm

RD Sharma Test: Triangles - Question 25

In the given figure, DE || BC such that  . If AB = 4.8 cm then find AD.

Detailed Solution for RD Sharma Test: Triangles - Question 25

 Since DE || BC
∴ Using Basic Proportionality Theorem in Δ ABC, we have

459 tests
Information about RD Sharma Test: Triangles Page
In this test you can find the Exam questions for RD Sharma Test: Triangles solved & explained in the simplest way possible. Besides giving Questions and answers for RD Sharma Test: Triangles, EduRev gives you an ample number of Online tests for practice
Download as PDF