Grade 9 Exam  >  Grade 9 Tests  >  Test: Algebraic Identities Cubic Type - Grade 9 MCQ

Test: Algebraic Identities Cubic Type - Grade 9 MCQ


Test Description

20 Questions MCQ Test - Test: Algebraic Identities Cubic Type

Test: Algebraic Identities Cubic Type for Grade 9 2025 is part of Grade 9 preparation. The Test: Algebraic Identities Cubic Type questions and answers have been prepared according to the Grade 9 exam syllabus.The Test: Algebraic Identities Cubic Type MCQs are made for Grade 9 2025 Exam. Find important definitions, questions, notes, meanings, examples, exercises, MCQs and online tests for Test: Algebraic Identities Cubic Type below.
Solutions of Test: Algebraic Identities Cubic Type questions in English are available as part of our course for Grade 9 & Test: Algebraic Identities Cubic Type solutions in Hindi for Grade 9 course. Download more important topics, notes, lectures and mock test series for Grade 9 Exam by signing up for free. Attempt Test: Algebraic Identities Cubic Type | 20 questions in 20 minutes | Mock test for Grade 9 preparation | Free important questions MCQ to study for Grade 9 Exam | Download free PDF with solutions
Test: Algebraic Identities Cubic Type - Question 1

Expansion and simplification of 8(3h - 4) + 5(h - 2) gives

Detailed Solution for Test: Algebraic Identities Cubic Type - Question 1

Now, 8 (3h - 4) + 5 (h - 2)

= 24h - 32 + 5h - 10, the expansion

= 24h + 5h - 32 - 10

= 29h - 42, the simplification

Test: Algebraic Identities Cubic Type - Question 2

Evaluate (11)3

Detailed Solution for Test: Algebraic Identities Cubic Type - Question 2

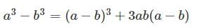
(a+b)3 = a3 + b3 + 3ab(a + b)
11³= (10+1)³=1000+1+30(11)=1001+330=1331

Test: Algebraic Identities Cubic Type - Question 3

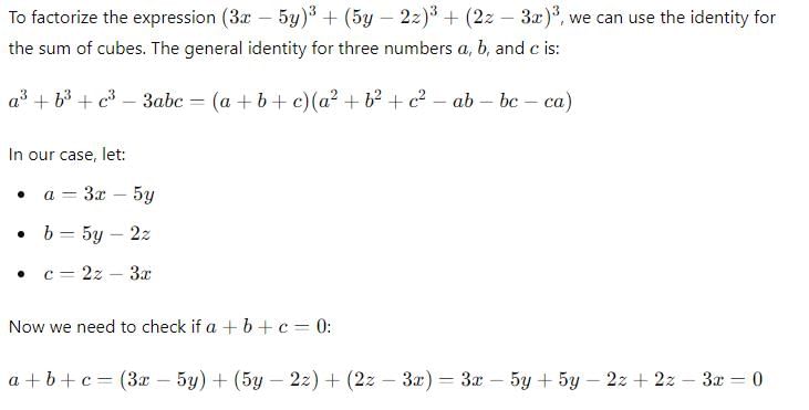
Factorise:(3x- 5y)3+ (5y – 2z)3 + (2z – 3x)3

Detailed Solution for Test: Algebraic Identities Cubic Type - Question 3

 

 

Test: Algebraic Identities Cubic Type - Question 4

Evaluate: 53 – 23 – 33

Detailed Solution for Test: Algebraic Identities Cubic Type - Question 4

53 - 23 - 33​​​​​​​
= 125 - 8 - 27
= 90

Test: Algebraic Identities Cubic Type - Question 5

Factorise : 8a3+ b3 + 12a2b + 6a b2

Detailed Solution for Test: Algebraic Identities Cubic Type - Question 5

8a3 + b3+ 12a2b + 6ab2
8a3 + b3+ 12a2b + 6ab2
= (2a)3 + (b)3 + 3(2a)(b) (2a + b)
= (2a + b)3 | Using Identity VI
= (2a + b)(2a + b)(2a + b)

Test: Algebraic Identities Cubic Type - Question 6

Evaluate (x+y+z)2

Detailed Solution for Test: Algebraic Identities Cubic Type - Question 6

(x + y + z)2 = (x + y + z)(x + y + z)

Expanding the expression:

x(x + y + z) + y(x + y + z) + z(x + y + z)

= x2 + xy + xz + yx + y2 + yz + zx + zy + z2

Combining like terms:

= x2 + y2 + z2 + 2xy + 2xz + 2yz

Test: Algebraic Identities Cubic Type - Question 7

Factorise : 8a3 + b3 + 12a2 b + 6ab2

Detailed Solution for Test: Algebraic Identities Cubic Type - Question 7

8a3 + b3+ 12a2b + 6ab2
8a3 + b3+ 12a2b + 6ab2
= (2a)3 + (b)3 + 3(2a)(b) (2a + b)
= (2a + b)3 | Using Identity VI
= (2a + b)(2a + b)(2a + b)

Test: Algebraic Identities Cubic Type - Question 8

p3+ q3 + r3 – 3pqr = ?​

Detailed Solution for Test: Algebraic Identities Cubic Type - Question 8

(p + q + r)(p2 + q2 + r2 – pq – qr - pr)

 

We know the cubic identity according to which,

p3+ q3 + r3 – 3pqr = (p + q + r)(p2 + q2 + r2 – p q – q r - pr)

Test: Algebraic Identities Cubic Type - Question 9

Factorize: 125a3 – 27b3 – 225a2b + 135ab2.​

Detailed Solution for Test: Algebraic Identities Cubic Type - Question 9

Observe that the given expression matches the expansion of (5a – 3b)3. Expanding:
(5a – 3b)3 = (5a)3 – 3·(5a)2·(3b) + 3·(5a)·(3b)2 – (3b)3
= 125a3 – 225a2b + 135ab2 – 27b3,
which exactly matches the original expression. Hence the factorization is (5a – 3b)3.

Test: Algebraic Identities Cubic Type - Question 10

Evaluate (104)3

Detailed Solution for Test: Algebraic Identities Cubic Type - Question 10

(104)³ 
=(100 + 4)³ 
Use ( a +b)³ = a³ + b³ + 3ab( a + b)
then,
( 100 + 4)³ = ( 100)³ +(4)³ +3(100)(4)(100+4)
=(10²)³ + 64 + 1200(104)
=1000000 + 64 + 124800
=1124864.

Test: Algebraic Identities Cubic Type - Question 11

Factorize: (x – y)3 + (y – z)3 + (z – x)3

Detailed Solution for Test: Algebraic Identities Cubic Type - Question 11

Test: Algebraic Identities Cubic Type - Question 12

Factorise: x7y + xy7

Detailed Solution for Test: Algebraic Identities Cubic Type - Question 12

x⁷y + xy⁷
= xy(x⁶ + y⁶)
= xy{(x²)³ + (y²)³}
= xy(x² + y²)(x⁴ − x²y² + y⁴)

Test: Algebraic Identities Cubic Type - Question 13

What is the value 83 – 33 (without solving the cubes)?​

Detailed Solution for Test: Algebraic Identities Cubic Type - Question 13

Test: Algebraic Identities Cubic Type - Question 14

p3+ q3 = ?​

Detailed Solution for Test: Algebraic Identities Cubic Type - Question 14
To determine the correct factorization of p3 + q3, we use the sum of cubes formula: p3 + q3 = (p + q)(p2 - pq + q2). This matches option C, which is (p + q)(p2 + q2 - pq). Thus, the correct answer is: C. Explanation of Options: - Option A: Expands to p3 + 3p2q + 3pq2 + q3, which includes extra terms. - Option B: Incorrectly adds pq instead of subtracting it. - Option D: Adds an extra term 3pq, making it incorrect for the given expression. Final Answer: p3 + q3 = (p + q)(p2 + q2 - pq) which corresponds to option C.
Test: Algebraic Identities Cubic Type - Question 15

What is the value of 53 – 13(without solving cube)?

Detailed Solution for Test: Algebraic Identities Cubic Type - Question 15

53 - 13 can be solved using the identity ;

(a3 - b3) = (a - b) (a2 + b2 + ab)

53 - 13 = ( 5 - 1 ) ( 52 + 12 + 5*1)

=(4) (25 + 1 + 5)

= (4) (31)

= 124

Test: Algebraic Identities Cubic Type - Question 16

Factorize: 27x3 – 125y3

Detailed Solution for Test: Algebraic Identities Cubic Type - Question 16
To factorize 27x3 - 125y3, recognize it as a difference of cubes since both terms are perfect cubes. 1. Express each term as a cube: 27x3 = (3x)3 and 125y3 = (5y)3. 2. Apply the difference of cubes formula a3 - b3 = (a - b)(a2 + ab + b2): - Here, a = 3x and b = 5y. - The first factor is (3x - 5y). 3. Compute the quadratic term: a2 + ab + b2 = (3x)2 + (3x)(5y) + (5y)2 = 9x2 + 15xy + 25y2. 4. Combine both factors to get the factorization: 27x3 - 125y3 = (3x - 5y)(9x2 + 15xy + 25y2). Thus, the correct answer is option C: (3x - 5y)(9x2 + 25y2 + 15xy).
Test: Algebraic Identities Cubic Type - Question 17

a3 – b3 equals​

Detailed Solution for Test: Algebraic Identities Cubic Type - Question 17

It is the identity equation

In the fraction equation

Test: Algebraic Identities Cubic Type - Question 18

Evaluate: 303 + 203 – 503.​

Detailed Solution for Test: Algebraic Identities Cubic Type - Question 18

We have to find the value of

Test: Algebraic Identities Cubic Type - Question 19

If  , the value of x3 – y3 is :

Detailed Solution for Test: Algebraic Identities Cubic Type - Question 19
  1. Create a common denominator:

    • Multiply both sides of the equation by xy to get rid of the fractions:
      • x² + y² = -xy
  2. Rearrange the equation:

    • Add xy to both sides:
      • x² + xy + y² = 0
  3. Substitute the values in:  x³ - y³ = (x - y)(x² + xy + y²)

  4.            We also know x² + xy + y² = 0 from step 2.

                Substitute these values into the identity:
    • x³ - y³ = (x-y)(0) = 0

Therefore, the value of x³ - y³ is 0.

So, the correct answer is option 3.

Test: Algebraic Identities Cubic Type - Question 20

Factorization of 103²-9 yields

Detailed Solution for Test: Algebraic Identities Cubic Type - Question 20
To find the value of 1032 - 9, we recognize it as a difference of squares: 1032 - 32 = (103 - 3)(103 + 3). Calculating, we get (100)(106) = 10,600, which matches option B.
Information about Test: Algebraic Identities Cubic Type Page
In this test you can find the Exam questions for Test: Algebraic Identities Cubic Type solved & explained in the simplest way possible. Besides giving Questions and answers for Test: Algebraic Identities Cubic Type , EduRev gives you an ample number of Online tests for practice
Download as PDF