GATE Exam  >  GATE Tests  >  Chemical Engineering - (CH) 2018 GATE Paper (Practice Test) - GATE MCQ

Chemical Engineering - (CH) 2018 GATE Paper (Practice Test) - GATE MCQ


Test Description

30 Questions MCQ Test - Chemical Engineering - (CH) 2018 GATE Paper (Practice Test)

Chemical Engineering - (CH) 2018 GATE Paper (Practice Test) for GATE 2025 is part of GATE preparation. The Chemical Engineering - (CH) 2018 GATE Paper (Practice Test) questions and answers have been prepared according to the GATE exam syllabus.The Chemical Engineering - (CH) 2018 GATE Paper (Practice Test) MCQs are made for GATE 2025 Exam. Find important definitions, questions, notes, meanings, examples, exercises, MCQs and online tests for Chemical Engineering - (CH) 2018 GATE Paper (Practice Test) below.
Solutions of Chemical Engineering - (CH) 2018 GATE Paper (Practice Test) questions in English are available as part of our course for GATE & Chemical Engineering - (CH) 2018 GATE Paper (Practice Test) solutions in Hindi for GATE course. Download more important topics, notes, lectures and mock test series for GATE Exam by signing up for free. Attempt Chemical Engineering - (CH) 2018 GATE Paper (Practice Test) | 65 questions in 180 minutes | Mock test for GATE preparation | Free important questions MCQ to study for GATE Exam | Download free PDF with solutions
Chemical Engineering - (CH) 2018 GATE Paper (Practice Test) - Question 1

“When she fell down the _______, she received many _______ but little help.”

The words that best fill the blanks in the above sentence are

Chemical Engineering - (CH) 2018 GATE Paper (Practice Test) - Question 2

“In spite of being warned repeatedly, he failed to correct his _________ behaviour.”

The word that best fills the blank in the above sentence is

Chemical Engineering - (CH) 2018 GATE Paper (Practice Test) - Question 3

For are both decreasing functions in the interval ________.

Chemical Engineering - (CH) 2018 GATE Paper (Practice Test) - Question 4

The area of an equilateral triangle is √3. What is the perimeter of the triangle?

Chemical Engineering - (CH) 2018 GATE Paper (Practice Test) - Question 5

Arrange the following three-dimensional objects in the descending order of their volumes:
(i) A cuboid with dimensions 10 cm, 8 cm and 6 cm
(ii) A cube of side 8 cm
(iii) A cylinder with base radius 7 cm and height 7 cm
(iv) A sphere of radius 7 cm

Chemical Engineering - (CH) 2018 GATE Paper (Practice Test) - Question 6

An automobile travels from city A to city B and returns to city A by the same route. The speed of the vehicle during the onward and return journeys were constant at 60 km/h and 90 km/h, respectively. What is the average speed in km/h for the entire journey?

Chemical Engineering - (CH) 2018 GATE Paper (Practice Test) - Question 7

A set of 4 parallel lines intersect with another set of 5 parallel lines. How many parallelograms are formed?

Chemical Engineering - (CH) 2018 GATE Paper (Practice Test) - Question 8

To pass a test, a candidate needs to answer at least 2 out of 3 questions correctly. A total of 6,30,000 candidates appeared for the test. Question A was correctly answered by 3,30,000 candidates. Question B was answered correctly by 2,50,000 candidates. Question C was answered correctly by 2,60,000 candidates. Both questions A and B were answered correctly by 1,00,000 candidates. Both questions B and C were answered correctly by 90,000 candidates. Both questions A and C were answered correctly by 80,000 candidates. If the number of students answering all questions correctly is the same as the number answering none, how many candidates failed to clear the test?

Chemical Engineering - (CH) 2018 GATE Paper (Practice Test) - Question 9

If �� 2 + �� − 1 = 0 what is the value of

Chemical Engineering - (CH) 2018 GATE Paper (Practice Test) - Question 10

 In a detailed study of annual crow births in India, it was found that there was relatively no growth during the period 2002 to 2004 and a sudden spike from 2004 to 2005. In another unrelated study, it was found that the revenue from cracker sales in India which remained fairly flat from 2002 to 2004, saw a sudden spike in 2005 before declining again in 2006. The solid line in the graph below refers to annual sale of crackers and the dashed line refers to the annual crow births in India. Choose the most appropriate inference from the above data.

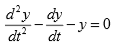
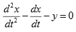
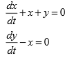
Chemical Engineering - (CH) 2018 GATE Paper (Practice Test) - Question 11

Consider the following two equations:

The above set of equations is represented by

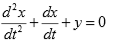
Chemical Engineering - (CH) 2018 GATE Paper (Practice Test) - Question 12

The fourth order Runge-Kutta (RK4) method to solve an ordinary differential equation

 For a special case when the function f depends solely on x, the above RK4 method reduces to

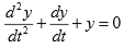
Chemical Engineering - (CH) 2018 GATE Paper (Practice Test) - Question 13

A watch uses two electronic circuits (ECs). Each EC has a failure probability of 0.1 in one year of operation. Both ECs are required for functioning of the watch. The probability of the watch functioning for one year without failure is 

Chemical Engineering - (CH) 2018 GATE Paper (Practice Test) - Question 14

The figure which represents  (x in radians) is

Chemical Engineering - (CH) 2018 GATE Paper (Practice Test) - Question 15

The terminal velocity of a spherical particle in gravitational settling under Stokes’ regime varies

Chemical Engineering - (CH) 2018 GATE Paper (Practice Test) - Question 16

Critical speed of a ball mill depends on 

Chemical Engineering - (CH) 2018 GATE Paper (Practice Test) - Question 17

Economy of evaporators used for concentrating sugarcane juice is

Chemical Engineering - (CH) 2018 GATE Paper (Practice Test) - Question 18

Segmental baffles in a 2-4 shell and tube heat exchanger

Chemical Engineering - (CH) 2018 GATE Paper (Practice Test) - Question 19

In connection with petroleum refining, identify the incorrect statement among the following options.

Chemical Engineering - (CH) 2018 GATE Paper (Practice Test) - Question 20

Polyvinyl chloride is produced by

Chemical Engineering - (CH) 2018 GATE Paper (Practice Test) - Question 21

The molecular formula of the predominant chemical compound in commercial sugar is

Chemical Engineering - (CH) 2018 GATE Paper (Practice Test) - Question 22

Two packed towers are designed for the same mass velocity of the gas. The first has liquid and gas flow rates of 30 kg/s and 1.2 kg/s, respectively, while the corresponding flow rates in the second tower are 67.5 kg/s and 1.8 kg/s. The ratio of the design diameter of the wider tower to that of the narrower tower is

Chemical Engineering - (CH) 2018 GATE Paper (Practice Test) - Question 23

The Annual Fixed Charges (AFC) and Annual Utilities Costs (AUC) of a distillation column being designed are expressed in terms of the reflux ratio (R) as

The reflux ratio (Ropt) for optimizing the total cost of the distillation column may be found by solving

Chemical Engineering - (CH) 2018 GATE Paper (Practice Test) - Question 24

Consider the following properties:
(P) temperature
(Q) specific gravity
(R) chemical potential
(S) volume

The option which lists ALL the intensive properties is

Chemical Engineering - (CH) 2018 GATE Paper (Practice Test) - Question 25

Liquid phase isomerization of o-xylene to p-xylene using a zeolite catalyst was carried out in a CSTR. Three sets of kinetic data at different temperatures and stirring speeds were obtained as shown below.

The operating condition at which the reaction rate is not controlled by external mass transfer resistance is

Chemical Engineering - (CH) 2018 GATE Paper (Practice Test) - Question 26

Choose the correct statement In viscose rayon manufacturing process, 

Chemical Engineering - (CH) 2018 GATE Paper (Practice Test) - Question 27

The reactant (M) is converted into product (N) in the presence of catalyst in a fixed bed reactor. All the flow rates (F, G, H, P and R) in mol/s, and mole fraction of reactant (M) in these streams (xF, xG, xH, xP and xR) are shown in the diagram.

The overall fractional conversion is

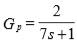
Chemical Engineering - (CH) 2018 GATE Paper (Practice Test) - Question 28

A first-order process having a transfer function,  is controlled by a proportional controller with gain of 3.2 .  The process time constant is in minutes.  Addition of the integral control action with an integral time constant of 5 minutes leads to increase in

Chemical Engineering - (CH) 2018 GATE Paper (Practice Test) - Question 29

According to the surface renewal theory, the unit of fractional rate of surface renewal is

Chemical Engineering - (CH) 2018 GATE Paper (Practice Test) - Question 30

For absorption of H2S from a mixture with hydrocarbon vapour into an aqueous alkanolamine solution, the liquid phase mass transfer resistance is

View more questions
Information about Chemical Engineering - (CH) 2018 GATE Paper (Practice Test) Page
In this test you can find the Exam questions for Chemical Engineering - (CH) 2018 GATE Paper (Practice Test) solved & explained in the simplest way possible. Besides giving Questions and answers for Chemical Engineering - (CH) 2018 GATE Paper (Practice Test), EduRev gives you an ample number of Online tests for practice
Download as PDF