For a satellite moving in an orbit around Earth, the ratio of kinetic energy to potential energy is
An elastic ball is dropped from a height h and it rebounds many times from the floor. If the coefficient of restitution is e, the time interval between the second and the third impacts, is
The dipole moment of a short bar magnet is 1.25 ampere - metre2. The magnetic field on its axis at a distance of 0.5 metre from the centre of the magnet is
The amount of liquid flowing per second in the tubes (1), (2) and (3) are 10 m3/s, 5 m3/s and 8 m3/s respectively. The velocity of liquid in the tube (4) having cross-section of 0.5 m2 is

A U-tube containing a liquid is accelerated horizontally with a constant acceleration a. If the separation between the two vertical limbs is
, then the difference in the heights of the liquid in the two arms is
On the Fahrenheit scale, the temperature rise of nine degree is equivalent to how much degree rise in Celsius scale?
(+) and (−) forms of optically active compounds are different in
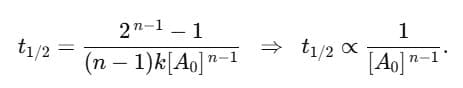
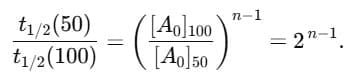
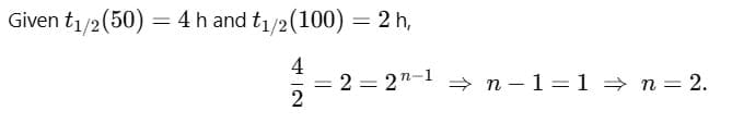
The half-life period for catalytic decomposition of AB3 at 50 mm of Hg is found to be 4 hrs and at 100 mm of Hg it is 2 hrs. The order of the reaction is:
f the quantum numbers of the electron having the highest energy in an atom are n = 3, l = 1, ml = +1, s = +1 / 2, the element belongs to
If both male and female flowers are present on the same plant, such as castor and maize
If an angiospermic female plant is diploid and male plant is tetraploid, the ploidy of PEN and zygote respectively would be
Read the following statements w.r.t. synapse
A. Chemical synapse may allow two-way transmission of impulses
B. Neurotransmitters are mandatory for transmission of impulses in all synapse
C. It is always formed by the membranes of a pre-synaptic neuron and a post-synaptic
neuron
D. Electrical synapses are rare in our body
State these statements as true(T) or false(F) and choose the correct option.
In a particular food chain, which species will have the highest biomass?
The process of a muscle contracting is a complex process. Which of the following statements does not characterise muscle contraction in humans?
Which of the following statements is/are false?
a. The expansion of diaphragm decreases the volume of thoracic chamber in the antero-posterior axis.
b. On an average, 1100 mL to 1200 mL volume of air remains in the lungs even after a forcible expiration.
c. Humans can increase the strength of breathing with the help of additional muscles in the abdomen.
Complete the analogy Eye of Octopus :
Eye of mammals : : Flippers of penguin : _______
1 videos|19 docs|61 tests |