NEET Exam  >  NEET Tests  >  NEET Practice Test - 19 - NEET MCQ

NEET Practice Test - 19 - NEET MCQ


Test Description

30 Questions MCQ Test - NEET Practice Test - 19

NEET Practice Test - 19 for NEET 2025 is part of NEET preparation. The NEET Practice Test - 19 questions and answers have been prepared according to the NEET exam syllabus.The NEET Practice Test - 19 MCQs are made for NEET 2025 Exam. Find important definitions, questions, notes, meanings, examples, exercises, MCQs and online tests for NEET Practice Test - 19 below.
Solutions of NEET Practice Test - 19 questions in English are available as part of our course for NEET & NEET Practice Test - 19 solutions in Hindi for NEET course. Download more important topics, notes, lectures and mock test series for NEET Exam by signing up for free. Attempt NEET Practice Test - 19 | 180 questions in 200 minutes | Mock test for NEET preparation | Free important questions MCQ to study for NEET Exam | Download free PDF with solutions
NEET Practice Test - 19 - Question 1

CNis a strong field ligand. This is due to the fact that

Detailed Solution for NEET Practice Test - 19 - Question 1
CN is a strong field ligand as it is a pseudohalide ion. These ions are strong coordinating ligands and hence have the tendency to form σ-bond (from the pseudo halide to the metal) and ?-bond, (from the metal to pseudo halide)
NEET Practice Test - 19 - Question 2

Which property of white phosphorus is common to red phosphorous?

Detailed Solution for NEET Practice Test - 19 - Question 2
Except (a) all other properties are shown by white phosphorous.
NEET Practice Test - 19 - Question 3

0.4 moles of HCl and 0.2 moles of CaCl2 were dissolved in water to have 500 mL of solution, the molarity of Cl ion is:

Detailed Solution for NEET Practice Test - 19 - Question 3

Total Cl- moles = 0.4 + 0.4 = 0.8 moles

Molarity = Moles / Vol.in L

∴ Molarity of Cl- = 0.8/0.5 = 1.6 M.

NEET Practice Test - 19 - Question 4

Inductive effect involves

Detailed Solution for NEET Practice Test - 19 - Question 4
Inductive effect involves displacement of σ-electrons.
NEET Practice Test - 19 - Question 5

The decreasing order of stability of alkyl carbonium ion is in the order of:

Detailed Solution for NEET Practice Test - 19 - Question 5
Tertiary carbonium ion has highest stability followed by secondary and then primary carbonium ions. So, option (a) is correct.
NEET Practice Test - 19 - Question 6

Which of the following reagents convert propene to 1-propanol?

Detailed Solution for NEET Practice Test - 19 - Question 6
We know that

NEET Practice Test - 19 - Question 7

Which one of the following is NOT a buffer solution?

Detailed Solution for NEET Practice Test - 19 - Question 7
Buffer solution contains weak base + salt of weak base with strong acid or weak acid + salt of weak acid with strong base.

In option (d) the acid used is HClO4 which is a strong acid and KClO4 is salt of this acid with a strong base. So it is not an example of a buffer solution.

NEET Practice Test - 19 - Question 8

Which one of the following is expected to exhibit optical isomerism?

(en = ethylenediamine)

Detailed Solution for NEET Practice Test - 19 - Question 8

NEET Practice Test - 19 - Question 9

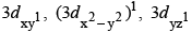
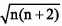
[Cr(H2O)6]Cl3 (at no. of Cr = 24) has a magnetic moment of 3.83 B. M. The correct distribution of 3d electrons in the Chromium of the complex is

Detailed Solution for NEET Practice Test - 19 - Question 9

3 .83 =

on solving n = 3

As per magnetic moment, it has three unpaired electrons

Cr3+ will have configuration as

Cr 1s2 Is2 2p6 3s2 3p6 3d4 4s2

Cr3+ 1s2 2s2 2p6 3s2 3p6 3d3.

So

NEET Practice Test - 19 - Question 10

Identify the reaction which does not liberate hydrogen:

Detailed Solution for NEET Practice Test - 19 - Question 10
(a) Lithium hydride reacts with diborane to produce lithium borohydride.

2LiH + B2H6 → 2LiBH4

NEET Practice Test - 19 - Question 11

When concentrated HCl is added to an aqueous solution of CoCl2, its colour changes from reddish pink to deep blue. Which complex ion gives blue colour in this reaction?

Detailed Solution for NEET Practice Test - 19 - Question 11
Aqueous solution of CoCl2 contains [Co(H20)6]2+ which is pinkish in colour so option (d) is incorrect.

Reduction potential of Co3+ > Co2+ is high so option(b) is incorrect. Co2+ does not oxidize easily to Co3+.

It is a general case that symmetrical substituted octahedral complexes are less deeper in colour than tetrahedral complexes. So [CoCL]2- is deep blue in colour.

NEET Practice Test - 19 - Question 12

Hydrogen has an ionisation energy of 1311 kJ mol–1 and for chlorine it is 1256 kJ mol–1.

Hydrogen forms H+ (aq) ions but chlorine does not form Cl+ (aq) ions because.

Detailed Solution for NEET Practice Test - 19 - Question 12
Hydration energy of Cl+ is very less than H+ hence it doesn’t form Cl+ (aq) ion.
NEET Practice Test - 19 - Question 13

Equivalent weight of KMnO4 acidic medium, neutral medium and concentrated alkaline medium respectively are M/5, M/1, M/3. Reduced products can be

Detailed Solution for NEET Practice Test - 19 - Question 13

NEET Practice Test - 19 - Question 14

Which of the following statements is not correct for sigma and pi-bonds formed between two carbon atoms?

Detailed Solution for NEET Practice Test - 19 - Question 14
As sigma bond is stronger than the ?(pi) bond, so it must be having higher bond energy than ? (pi) bond.
NEET Practice Test - 19 - Question 15

The reactivity of metals with water is in the order of

Detailed Solution for NEET Practice Test - 19 - Question 15
There activity m a y be attributed to size factor, larger is the size, higher is tendency to lose electron (lowI.E.). Zn is the last element of the 3d series and it has larger size than Cu due to (3d104s2) configurations. Hence, the reactivity order is

N a > M g > Z n > F e > C u .

NEET Practice Test - 19 - Question 16

In Cannizzaro reaction given below

the slowest step is:

Detailed Solution for NEET Practice Test - 19 - Question 16

NEET Practice Test - 19 - Question 17

The rapid change of pH near the stoichiometric point of an acid-base titration is the basis of indicator detection. pH of the solution is related to ratio of the concentrations of the conjugate acid (HIn) and base (In) forms of the indicator by the expression

Detailed Solution for NEET Practice Test - 19 - Question 17
For an acid-base indicator

or

Taking negative on both sides

or we can write pH =

or

NEET Practice Test - 19 - Question 18

An ideal gas expands in volume from 1×10–3 to 1 × 10–2 m3 at 300 K against a constant pressure of 1×105 Nm–2. The work done is

Detailed Solution for NEET Practice Test - 19 - Question 18
w = - PΔV = - 105(1x 10-2 - 1 x 10-3)

= -900J

NEET Practice Test - 19 - Question 19

Which one of the following statement is not true?

Detailed Solution for NEET Practice Test - 19 - Question 19
The ideal value of D.O for growth of fishes is 8 mg/L. 7mg/ L is the desirable range, below this value fishes get susceptible to disease. A value of 2 mg/L or below is lethal for fishes.
NEET Practice Test - 19 - Question 20

The heats of neutralisation of CH3COOH, HCOOH, HCN and H2S are – 13.2, – 13.4, – 2.9 and – 3.8 kcal per equivalent respectively. Arrange the acids in increasing order of strength

Detailed Solution for NEET Practice Test - 19 - Question 20
The greater the (negative value) of heat of neutralisation, the more is the strength of the acid. Hence,

HCOOH > CH3COOH > H2S >HCN

NEET Practice Test - 19 - Question 21

In sodium fusion test of organic compounds, the nitrogen of the organic compound is converted into

Detailed Solution for NEET Practice Test - 19 - Question 21
Sodium cyanide (Na + C + N —> NaCN).
NEET Practice Test - 19 - Question 22

Arrange the following elements in the order of ease of detection of wave properties, in the de Broglie experiment.

H, Li, Be, B, K

Detailed Solution for NEET Practice Test - 19 - Question 22
The wavelengths of elements decreases with increase in their mass.

NEET Practice Test - 19 - Question 23

Aluminium vessels should not be washed with materials containing washing soda since

Detailed Solution for NEET Practice Test - 19 - Question 23
Washing soda reacts with A1 to form soluble aluminate

2AI + Na2CO3 + 3H2O → 2NaAlO2 + CO2 + 3H2,

NEET Practice Test - 19 - Question 24

The following reactions take place in the blast furnace in the preparation of impure iron. Identify the reaction pertaining to the formation of the slag.

Detailed Solution for NEET Practice Test - 19 - Question 24
In blast furnace at about 1270K, calcium carbonate is almost completely decomposed to give CaO which acts as a flux and combines with SiO2 present as impurity (gangue) in the ore to form calcium silicate (fusible slag)

CaO(s) (basic flux) + SiO2 (s) (acidic flux) → CaSiO3 (s) (slag)

NEET Practice Test - 19 - Question 25

Which of the following statements is false?

Detailed Solution for NEET Practice Test - 19 - Question 25
The most abundant rare gas found in the atmosphere is argon and not helium.
NEET Practice Test - 19 - Question 26

The unpaired electrons in Ni(CO)4 are

Detailed Solution for NEET Practice Test - 19 - Question 26
Ni(CO)4. The O.S. of Ni is zero. Electronic configuration is [Ar] 3d84s24p° . In presence of strong ligand CO the pairing of electrons takes place and electronic configuration will be [Ar] 3d10,4s0 4p°. Hence unpaired electrons are zero.
NEET Practice Test - 19 - Question 27

Which one of the following cannot function as an oxidising agent?

Detailed Solution for NEET Practice Test - 19 - Question 27
If an electronegative element is in its lowest possible oxidation state in a compound or in free state. It cannot function as a powerful oxidising agent, e.g. I-
NEET Practice Test - 19 - Question 28

Which of the following compounds has the highest boiling point?

Detailed Solution for NEET Practice Test - 19 - Question 28
Molecules having higher molecular weight and less branching have higher boiling point.
NEET Practice Test - 19 - Question 29

Which one of the following statements is not true?

Detailed Solution for NEET Practice Test - 19 - Question 29
(Lactose contains p -glycosidic linkage between galactose and C4 of glucose.
NEET Practice Test - 19 - Question 30

The number of enantiomers of the compound CH3CH(Br)CH(Br)COOH is :

(a)2

(c)4

Detailed Solution for NEET Practice Test - 19 - Question 30
No, of asymmetric carbon = 2

No. of enantiomers = 22 = 4.

View more questions
Information about NEET Practice Test - 19 Page
In this test you can find the Exam questions for NEET Practice Test - 19 solved & explained in the simplest way possible. Besides giving Questions and answers for NEET Practice Test - 19, EduRev gives you an ample number of Online tests for practice
Download as PDF