JEE Exam  >  JEE Tests  >  JEE Advanced Part Test- 1 - JEE MCQ

JEE Advanced Part Test- 1 - JEE MCQ


Test Description

30 Questions MCQ Test - JEE Advanced Part Test- 1

JEE Advanced Part Test- 1 for JEE 2025 is part of JEE preparation. The JEE Advanced Part Test- 1 questions and answers have been prepared according to the JEE exam syllabus.The JEE Advanced Part Test- 1 MCQs are made for JEE 2025 Exam. Find important definitions, questions, notes, meanings, examples, exercises, MCQs and online tests for JEE Advanced Part Test- 1 below.
Solutions of JEE Advanced Part Test- 1 questions in English are available as part of our course for JEE & JEE Advanced Part Test- 1 solutions in Hindi for JEE course. Download more important topics, notes, lectures and mock test series for JEE Exam by signing up for free. Attempt JEE Advanced Part Test- 1 | 66 questions in 180 minutes | Mock test for JEE preparation | Free important questions MCQ to study for JEE Exam | Download free PDF with solutions
JEE Advanced Part Test- 1 - Question 1

A simple pendulum is oscillating in a vertical plane. If resultant acceleration of bob of mass m at a point A is in horizontal direction, find the tangential force at this point in terms of tension T and mg.

Detailed Solution for JEE Advanced Part Test- 1 - Question 1


When the acceleration of bob is horizontal, net vertical force on the bob will be zero.
T cos θ – mg = 0
The tangential force at that instant is 

JEE Advanced Part Test- 1 - Question 2

Hailstones falling vertically with a speed of 10 m/s, hit the wind screen (wind screen makes an angle 30° with the horizontal) of a moving car and rebound elastically. The velocity of the car if the driver finds the hailstones rebound vertically after striking is :

Detailed Solution for JEE Advanced Part Test- 1 - Question 2

For the driver to observe the rain move vertically upward after the elastic collision, rain should come at angle 30º with the horizontal (as clear from figure).

Let, velocity of rain w.e.t. car be Vm//c

But , since rain fall vertically down.


[Since ; VR/G(y) = – 10 m/s ; VC/G(y) = 0
⇒ V sin 30° = 10 ⇒ V = 20 m/s.
Substituting V = 20 m/s in equation (i)

JEE Advanced Part Test- 1 - Question 3

A water tank stands on the roof of a building as shown. Then the value of 'h' for which the distance covered by the water 'x'  is greatest is - 

a

Detailed Solution for JEE Advanced Part Test- 1 - Question 3

 

the roots of x are (0,4) and the maximum of x is at h = 2.
The permitted value of h is 0 to 1 clearly h = 1 will give the maximum value of x is this interval. 
Aliter : If the column of water itself were from ground upto a height of 4m, h = 2m would give the maximum range x. Farther the hole is from this midpoint ,lower the range.Here the nearest point possible to this midpoint is the base of the container. Hence h = 1m.

JEE Advanced Part Test- 1 - Question 4

A U-tube of base length “l” filled with same volume of two liquids of densities ρ and 2ρ is moving with an acceleration “a” on the horizontal plane. If the height difference between the two surfaces (open to atmosphere) becomes zero, then the height h is given by:

 

Detailed Solution for JEE Advanced Part Test- 1 - Question 4


For the given situation, liquid of density 2ρ should be behind that of ρ. From right limb : 


.......(1)
But from left limb : Pc = Patm + (2ρ) gh  ....(2)
From (1) and (2) : 

JEE Advanced Part Test- 1 - Question 5

A particle A of mass 10/7 kg is moving in the positive direction of x. Its initial position is x = 0 & initial velocity is 1 m/s. The velocity at x = 10 is: (use the graph given)

Detailed Solution for JEE Advanced Part Test- 1 - Question 5

Area under P-x graph 

from graph ; area  
v = 4m/s
ALITER : from graph 
 
or

or 

Now integrate both sides, 

JEE Advanced Part Test- 1 - Question 6

The string of a step rolling wheel is pulled by applying force F with different lines of action in two  situations as shown. The wheel starts rolling without slipping due to application of the force :   

Detailed Solution for JEE Advanced Part Test- 1 - Question 6


(Pure rotation about instantaneous point of contact)
Note : If line action passes through point of contact, it only spins.

JEE Advanced Part Test- 1 - Question 7

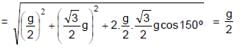
Two particles start together from a point O and slide down straight smooth wires inclined at 30º & 60º to the vertical & in the same vertical plane as in figure. The relative acceleration of second with respect to first will be (in magnitude & direction) as : 

Detailed Solution for JEE Advanced Part Test- 1 - Question 7


Resultant Acceleration 
 α = 30°
i.e. Resulting acceleration is in vertical direction. 

JEE Advanced Part Test- 1 - Question 8

Two points A & B on a disc have velocities v1 & v2 at some moment. Their directions make angles 60° and 30° respectively with the line of separation as shown in figure. The angular velocity of disc is :

Detailed Solution for JEE Advanced Part Test- 1 - Question 8

For rigid body separation between two point remains same.




JEE Advanced Part Test- 1 - Question 9

In the figure shown ADB & BEF are two fixed circular paths. A block of mass m enters in the tube ADB through point A with minimum velocity to reach point B. From there it moves on another circular path of radius R'. There it is just able to complete the circle.

Detailed Solution for JEE Advanced Part Test- 1 - Question 9

For minimum velocity. at A ;




For looping the loop ;

 

*Multiple options can be correct
JEE Advanced Part Test- 1 - Question 10

The displacement of a body from a reference point is given by, (√x) = 2t-3  where ' x ' is in metres and t in seconds. This shows that the body : 

Detailed Solution for JEE Advanced Part Test- 1 - Question 10


Vel c = dx/dt = 2(2t - 3) x 2 = 4 (2t - 3)
if v = 0  t = 3/2
acceleration

so correct ans is (A) and (B)

*Multiple options can be correct
JEE Advanced Part Test- 1 - Question 11

If the resultant force on a system of particles is non-zero, then :    

Detailed Solution for JEE Advanced Part Test- 1 - Question 11

The resultant force can be accelerating or decelerating, hence the momentum can increase or decrease. Hence (A) is wrong.
Since Fnet = M acm
∴ acm  ≠ 0 ;
hence vcm must change
Hence (B) is correct.
In case of a circular motion of centre of mass about a point the distance of centre of mass will remain constant. Hence (C) is correct.
Kinetic energy of some particles may increase and of some particles may decrease at the same time. 

*Multiple options can be correct
JEE Advanced Part Test- 1 - Question 12

A painter is applying force himself to raise him and the box with an  cceleration of 5 m/s2 by a massless rope and pulley arrangement as shown in figure. Mass of painter is 100 kg and that of box is 50 kg. If g = 10 m/s2, then : 

Detailed Solution for JEE Advanced Part Test- 1 - Question 12

For the whole system, 2T – 1500 = 150 x 5 ⇒ T = 1125 N
For the person, T – 1000 + N = 100 x 5 N = 1500 – 1125 = 375 N 

JEE Advanced Part Test- 1 - Question 13

Statement-1 : For a disc undergoing fixed axis rotation, the magnitude of angle between velocity and acceleration vector of any moving point on disc at a particular instant of time are same.
Statement-2 : Each moving point on a disc undergoing fixed axis rotation has same angular speed and same angular acceleration at an instant of time. Hence the ratio of magnitude of tangential acceleration and magnitude of centripetal acceleration is same for all moving points at an instant of time. 

Detailed Solution for JEE Advanced Part Test- 1 - Question 13

Statement-1 is True, Statement-2 is True; Statement-2 is a correct explanation for Statement-1

JEE Advanced Part Test- 1 - Question 14

Statement-1 : The equation of distance travelled by a particle moving in a straight line with constant acceleration in nth second is  where letters have usual meaning, is dimensionally incorrect. 

Statement-2 : For every equation relating physical quantities to be true, it must have dimensional homogenity.

Detailed Solution for JEE Advanced Part Test- 1 - Question 14

The equation of distance travelled in nth second is dimensionally correct because the interval of time 1 second has already been substituted into the equation and its dimension should be taken into account. Therefore statement-1 is false.

JEE Advanced Part Test- 1 - Question 15

Figure shows block A of mass 0.2 kg sliding to the right over a frictionless elevated surface at a speed of 10 m/s. The block undergoes a collision with stationary block B, which is connected to a nondeformed spring of spring constant 1000 Nm–1. The coefficient of restitution between the blocks is 0.5. After the collision, block B oscillates in SHM with a period of 0.2 s, and block A slides off the left end of the elevated surface, landing a distance 'd' from the base of that surface after falling height 5m. (use π2 = 10; g = 10 m/s2). Assume that the spring does not affect the collision. 

Mass of the block B is  

Detailed Solution for JEE Advanced Part Test- 1 - Question 15

JEE Advanced Part Test- 1 - Question 16

Figure shows block A of mass 0.2 kg sliding to the right over a frictionless elevated surface at a speed of 10 m/s. The block undergoes a collision with stationary block B, which is connected to a nondeformed spring of spring constant 1000 Nm–1. The coefficient of restitution between the blocks is 0.5. After the collision, block B oscillates in SHM with a period of 0.2 s, and block A slides off the left end of the elevated surface, landing a distance 'd' from the base of that surface after falling height 5m. (use π2 = 10; g = 10 m/s2) Assume that the spring does not affect the collision. 

Amplitude of the SHM as being executed by block B-spring system, is -

Detailed Solution for JEE Advanced Part Test- 1 - Question 16

Immediately after the collision, suppose velocities of the blocks are V1 and V1 as shown 1/2 vel. of approach = velocity of separation.

⇒ 5 = V2 - V1 .... (1)
Using principle of conservation of momentum for the collision
2 = 0.2 V1 + V2
or  10 = V1 + 5V2   .....(2)
On solving V2 = 2.5 m/s; V1 = - 2.5 m/s
Hence block A moves leftward after the collision with speed 2.5 m/s. And the block B moves towards right with speed 2.5 m/s. 
The maximum velocity of B = 2.5 = ωA 
⇒ 

JEE Advanced Part Test- 1 - Question 17

Figure shows block A of mass 0.2 kg sliding to the right over a frictionless elevated surface at a speed of 10 m/s. The block undergoes a collision with stationary block B, which is connected to a nondeformed spring of spring constant 1000 Nm–1. The coefficient of restitution between the blocks is 0.5. After the collision, block B oscillates in SHM with a period of 0.2 s, and block A slides off the left end of the elevated surface, landing a distance 'd' from the base of that surface after falling height 5m. (use π2 = 10; g = 10 m/s2) Assume that the spring does not affect the collision. 

The distance 'd' will be equal to - 

Detailed Solution for JEE Advanced Part Test- 1 - Question 17

JEE Advanced Part Test- 1 - Question 18

                                                                       Matrix Match Type

This section contains 1 questions. Each question has four statements (A, B, C and D) given in Column-I and five statements (p,q,r, s and t) in Column-II. Any given statement in Column-I can have correct matching with ONE OR MORE statement(s) in Column-II. The answers to these questions have to be appropriately marked as illustrated in the following example. If the correct matches are A-p, A-r, B-p, B-s, C-r, C-s, D-q and D-t then the answer should be written as : A→ p,r ; B→ p, s ; C → r, s ; D → q, t

Q. A uniform disc of mass M and radius R lies on a fixed rough horizontal surface at time t = 0. Initial angular velocity ωo of each disc (magnitude and sense of rotation) and horizontal velocity v0 of centre of mass is shown for each situation of column-I. Match each situation in column-I with the results given in column-II.

Detailed Solution for JEE Advanced Part Test- 1 - Question 18

In all four situation of column-I, angular momentum of the disc about a point on ground is conserved. Take angular momentum out of the paper as positive

(A) Initial angular momentum about its point of contact on ground = 1/2 {mR2ωo–mR(2Rωo )} = negative. Hence final state of the disc is as shown if figure B.

 

Hence angular velocity shall first decrease and then increase in opposite sense. The velocity of centre shall decrease till the disc starts rolling without slipping.

(B) The initial angular momentum about its point of contact on ground =0.

 

Hence angular speed and velocity of centre simultaneously reduce to zero without a change in direction.

(C) Because v0 > Rω0, velocity of centre of mass will decrease and angular velocity will increase without a change in direction till disc starts rolling without slipping.

 

(D) Because v0 < Rω0, velocity of centre of mass will increase and angular velocity will decrease without a change in direction till disc starts rolling without slipping.?

JEE Advanced Part Test- 1 - Question 19

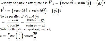
Two particles are projected simultaneously with the same speed vv in the same vertical plane with angles of elevation θ, and 2θ, where θ<45. At what time will velocities be parallel?

Detailed Solution for JEE Advanced Part Test- 1 - Question 19

*Answer can only contain numeric values
JEE Advanced Part Test- 1 - Question 20

A man can swim in still water with a speed of 3 m/s. x and y axis are drawn along and normal to the bank of river flowing to right with a speed of 1 m/s. The man starts swimming from origin O at t = 0 second. Assume size of man to be negligible. Locus of all the possible points where man can reach at t = 1 sec. is (x–a)2 + y2 = c2  Find value of ac2.


Detailed Solution for JEE Advanced Part Test- 1 - Question 20

Method -1
If the river is still, the man will be at a distance 3 metres from origin O after 1 second. The locus of all the point where man can reach at t = 1 second is a semicircle of radius 3 and centre at O (dotted semicircle shown in figure). 
The river flows to right with a speed 1 m/s. Hence there shall be additional shift in position by 1 m/s x 1 sec = 1m towards right. Hence the locus of all points giving possible position after one second will be the dotted semicircle shifted to right by 1 m as shown in figure.

Hence locus all the points where the man can be at t = 1 sec. is a semicircle of radius 3 and centre at 0' (1 m, 0 m)
∴ Equation of locus of all the points is
(x - 1)2 + (y - 0)2 = 32
or (x - 1)2 + y2 = 9

Method - 2
Let the relative velocity of the man make angle 'θ' with the x-axis.
Then at time 't' :
x = (3 cosθ + 1) t
and y = 3 sinθ t
⇒(x - t)2 + y2 = (3 cosθ)2 t2 + (3 sinθ)2 t2
(x - t)2 + y2 = 9t2
at t = 1 sec. the required equation is
(x - 1)2 + y2 = 9. 

*Answer can only contain numeric values
JEE Advanced Part Test- 1 - Question 21

In the figure shown a small block ‘B’ of mass ‘m’ is released from the top of a smooth movable wedge ‘A’ of the same mass ‘m’. ‘B’ ascends another movable smooth wedge ‘C’ of the same mass. Neglecting friction any where the maximum height attained by ‘B’ on ‘C’ is h/2x  Find the value of  x .


Detailed Solution for JEE Advanced Part Test- 1 - Question 21

Let u and v be the speed of wedge A and block B at just after the block B gets off the wedge A. Applying conservation of momentum in horizontal direction, we get. mu = mv       ..............(1)  Applying conservation of energy between initial and final state as shown in fig (1), we get  


solving (1) and (2) we get 
 .......(3)

At the instant block B reaches maximum height h' on the wedge C (figure 2),the speed of block B and Wedge C are v'. Applying conservation momentum in horizontal direction,we get mv= (m+m)v'................(4)  

Applying conservation of energy between initial and final state
......... (4)
Solving equations (3) (4) and (5) we get  h' = h/4.

*Answer can only contain numeric values
JEE Advanced Part Test- 1 - Question 22

A cylinder rotating at an angular speed of 50 rev/s is brought in contact with an identical stationary cylinder. Because of the kinetic friction, torques act on the two cylinders, accelerating the stationary one and decelerating the moving one. If the common magnitude of the acceleration and deceleration be one revolution per second square, how long will it take before the two cylinders have equal angular speed ?


Detailed Solution for JEE Advanced Part Test- 1 - Question 22

fR = lα1 fR = lα2
α1 = α2 = 2p red/sec2 
For A cylinder : ω = ω0 - αt    ω = 100π - 2πt ...(i)
For B cylinder ω = ω0  αt  ω0 = 0
ω = αt   ω = 27πt ....(ii)
From (i) and (ii) ω= 100 π - ω
2ω = 100π
ω = 50π
From (ii) euqation 50 π = 2 πt
t = 25 sec 

JEE Advanced Part Test- 1 - Question 23

The volume occupied  by 2.0 mole of N2 at 200K and 8.21 atm pressure, if is

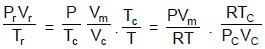
Detailed Solution for JEE Advanced Part Test- 1 - Question 23



So 
So Volume of 2 moles = 3.6 L

JEE Advanced Part Test- 1 - Question 24

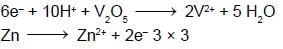
If 10 gram of V2O5 is dissolved in acid and is reduced to V2+ by zinc metal, how many mole of I2 could be reduced by the resulting solution if it is further oxidised to VO2+ ions ? 
[Assume no change in state of Zn2+ions] (V = 51, O = 16, I = 127) :

Detailed Solution for JEE Advanced Part Test- 1 - Question 24


________________________________________
  ....(1)
Now 

_____________________________________________
So we have 1 moles of V2O5 will reduce 2 moles of iodine
So  moles of I2 will be reduced by given amount of V2O5 = 0.11 moles of I2 

JEE Advanced Part Test- 1 - Question 25

0.5 mole each of two ideal gas A(C= 3/2 R) and B(C= 5/2 R) are taken in a container and expanded reversibley and adiabatically from V = 1 litre to V = 4 litre starting from initial temperature t = 300K. ΔH for the process (in cal/mol) is

Detailed Solution for JEE Advanced Part Test- 1 - Question 25





JEE Advanced Part Test- 1 - Question 26

When a weak acid is titrated against a strong base. The pH of solution keeps on changing with amount of base added. In this titration there is a formation of buffer also. If the buffer capacity (here defined as the volume of base  of a particular concentration  added per unit change in pH), is plotted against volume of base added for titration of 25 ml, 0.1 M HA (weak acid) solution with 0.1 M strong base solution, then the most appropriate curve will be :

Detailed Solution for JEE Advanced Part Test- 1 - Question 26

Initially solution will have low buffer capacity,will have maximum buffer capacity at half neutralisation and will be close to zero at equivalence point.After equivalence point the buffer capacity will keep on  increasing with increase in concentration of base

JEE Advanced Part Test- 1 - Question 27

One mole of an ideal monoatomic gas expands isothermally against constant external pressure of 1 atm from initial volume of 1L to a state where its final pressure becomes equal to external pressure. If initial temperature of gas is 300 K then total entropy change of system in the above process is : 
[R = 0.082 L atm mol–1 K–1 = 8.3 J mol–1K–1].

Detailed Solution for JEE Advanced Part Test- 1 - Question 27

JEE Advanced Part Test- 1 - Question 28

An electron in a hydrogen like atom makes transition from a state in which its de-Broglie wavelength is λ1 to a state where its de-Broglie wavelength is λ2 then wavelength of photon (λ) generated will be : where m is mass of the electron, c is speed of light in vaccum.

Detailed Solution for JEE Advanced Part Test- 1 - Question 28



⇒ 
⇒ 

JEE Advanced Part Test- 1 - Question 29

Given 

Find out the negative of logarithm of the solubility of solid Zn(OH)2 at 25°C ,at pH=6.Consider Zn(OH)makes saturated solution at 25°C.

Detailed Solution for JEE Advanced Part Test- 1 - Question 29

Dissolved [Zn(OH)2] = [Zn+2]aq + [Zn(OH)+]aq + (Zn(OH)2)aq + [Zn(OH)3-] + [Zn(OH)4]2-
Now, [Zn(OH)2]aq = 10-6 M in saturated solution. 
so. 
Dissolved Zn (OH)2 + 10-6 + 10-3 [OH-] + 10-2 [OH-]2

 + 10-6 + 10-3 x 10-8 = 10-18 = 10-1 + 10-5 + 10-6 + 10-11 = 10-1

JEE Advanced Part Test- 1 - Question 30

The curve of pressure volume (PV) against pressure (P) of the gas at a particular temperature is as shown, according to the graph which of the following is / are incorrect (in the low pressure region):

Detailed Solution for JEE Advanced Part Test- 1 - Question 30

If Z > 1 positive deviation
Z < 1 negative deviation

View more questions
Information about JEE Advanced Part Test- 1 Page
In this test you can find the Exam questions for JEE Advanced Part Test- 1 solved & explained in the simplest way possible. Besides giving Questions and answers for JEE Advanced Part Test- 1, EduRev gives you an ample number of Online tests for practice
Download as PDF