JEE Exam  >  JEE Tests  >  JEE Advanced Part Test- 2 - JEE MCQ

JEE Advanced Part Test- 2 - JEE MCQ


Test Description

30 Questions MCQ Test - JEE Advanced Part Test- 2

JEE Advanced Part Test- 2 for JEE 2025 is part of JEE preparation. The JEE Advanced Part Test- 2 questions and answers have been prepared according to the JEE exam syllabus.The JEE Advanced Part Test- 2 MCQs are made for JEE 2025 Exam. Find important definitions, questions, notes, meanings, examples, exercises, MCQs and online tests for JEE Advanced Part Test- 2 below.
Solutions of JEE Advanced Part Test- 2 questions in English are available as part of our course for JEE & JEE Advanced Part Test- 2 solutions in Hindi for JEE course. Download more important topics, notes, lectures and mock test series for JEE Exam by signing up for free. Attempt JEE Advanced Part Test- 2 | 66 questions in 180 minutes | Mock test for JEE preparation | Free important questions MCQ to study for JEE Exam | Download free PDF with solutions
JEE Advanced Part Test- 2 - Question 1

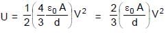
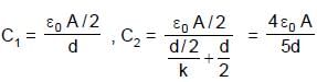
In the figure shown a parallel plate capacitor has a dielectric of width d/2 and dielectric constant K = 2. The other dimensions of the dielectric are same as that of the plates. The plates P1 and P2 of the capacitor have area 'A' each. The energy of the capacitor is :

Detailed Solution for JEE Advanced Part Test- 2 - Question 1


 

JEE Advanced Part Test- 2 - Question 2

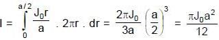
A rod of length l having uniformly distributed charge Q is rotated about one end with constant frequency ' f '. Its magnetic moment.    

Detailed Solution for JEE Advanced Part Test- 2 - Question 2

 Charge on the differential element dx,
equivalent current di = f dq
∴ magnetic moment of this element 

dμ = (di) NA (N = 1)
 
⇒ 

JEE Advanced Part Test- 2 - Question 3

Two identical spheres of same mass and specific gravity (which is the ratio of density of a substance and density of water) 2.4 have different charges of Q and – 3Q. They are suspended from two strings of same length l fixed to points at the same horizontal level, but distant l from each other. When the entire set up is transferred inside a liquid of specific gravity 0.8, it is observed that the inclination of each string in equilibrium remains unchanged. Then the dielectric constant of the liquid is

Detailed Solution for JEE Advanced Part Test- 2 - Question 3

 
 ⇒ 

JEE Advanced Part Test- 2 - Question 4

Two infinitely long parallel wires are a distance d apart and carry equal parallel currents I in the same direction as shown in the figure. If the wires are located on y axis (normal to x-y plane) at y = d/2 and y = -d/2, then the magnitude of x-coordinate of the point on x-axis where the magnitude of magnetic field is maximum is (Consider points on x-axis only)

Detailed Solution for JEE Advanced Part Test- 2 - Question 4

The magnetic field at point P is  where  are magnetic field at P due to wire 1 and 2.


where r2 = x2 + (d/2)2
∵ field is along +y direction at point
P and its magnitude is

JEE Advanced Part Test- 2 - Question 5

Figure shows a uniformly charged hemispherical shell. The direction of electric field at point p, that is off-centre (but in the plane of the largest circle of the hemisphere), will be along     

Detailed Solution for JEE Advanced Part Test- 2 - Question 5

Let electric field at point. 'p' has both x and y component.
So similar electric field will be, for other hemisphere (upper half).
Now lets overlap both.


(Enet)p = 2 Ex and it should be zero (as E inside a full shell = 0).
So Ex = 0, So electric field at 'p' is purely in y direction.

JEE Advanced Part Test- 2 - Question 6

A wooden stick of length 3l is rotated about an end with constant angular velocity ω in a uniform magnetic field B perpendicular to the plane of motion. If the upper one third of its length in coated with copper, the potential difference across the copper coating of the stick is 

Detailed Solution for JEE Advanced Part Test- 2 - Question 6

When the rod rotates, there will be an induced current in the rod. The given situation can be treated as if a rod 'A' of length '3l' rotating in the clockwise direction, while an other rod 'B' of length '2l' rotating in the anticlockwise direction with same angular speed 'ω'.

 
For ‘A’ :  
Resultant induced emf will be : 

⇒ 
⇒ 

JEE Advanced Part Test- 2 - Question 7

The resistance of each straight section is r. Find the equivalent resistance between A and B.

Detailed Solution for JEE Advanced Part Test- 2 - Question 7

From symmetry, the current distribution in branches LP, MP, NP and OP are as shown in figure 1. Therefore junction at P can be broken as shown in figure 2


⇒ 
Hence equivalent resistance is 3.5 r.

JEE Advanced Part Test- 2 - Question 8

PQ is an infinite current carrying conductor. AB and CD are smooth conducting rods on which a conductor EF moves with constant velocity V as shown. The force needed to maintain constant speed of EF is.

Detailed Solution for JEE Advanced Part Test- 2 - Question 8


⇒  ⇒ 
⇒ 
⇒ 

*Multiple options can be correct
JEE Advanced Part Test- 2 - Question 9

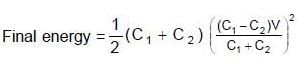
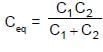
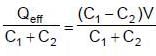
Two capacitors C1 & C2 are charged to same potential V, but with opposite polarity as shown in fig. The switch S1 & S2 are then closed.

Detailed Solution for JEE Advanced Part Test- 2 - Question 9

Net charge on both the capacitors is = C1V - C2V
The effective capacitance of system is C1 + C2 because both are in parallel.

Therefore p.d a cro ss the system is 


Therefore ratio of final to initial energy is 

*Multiple options can be correct
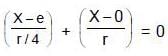
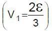
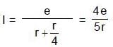
JEE Advanced Part Test- 2 - Question 10

In the figure shown ‘R’ is a fixed conducting ring of negligible resistance and radius ‘a’. PQ is a uniform rod of resistance r. It is hinged at the centre of the ring and rotated about this point in clockwise direction with a uniform angular velocity ω. There is a uniform magnetic field of strength ‘B’ pointing inwards. ‘r’ is a stationary resistance, then choose correct statements

Detailed Solution for JEE Advanced Part Test- 2 - Question 10

Equivalent circuit :

 (∵ Radius = a)
By nodal equation
 
5X = 4e

⇒ 
also direction of current in ‘r’ will be towards negative terminal i.e. from rim to origin
Alternately; by equivalent of cells (figure (ii)) :

*Multiple options can be correct
JEE Advanced Part Test- 2 - Question 11

In the circuit shown in figure, E1 and E2 are two ideal sources of unknown emfs. Some currents are shown. Potential difference appearing across 6? resistance is VA – VB = 10V. 

  

Detailed Solution for JEE Advanced Part Test- 2 - Question 11


after redrawing the circuit

(a) I4 = 5A ,
(b) , (c) From loop (1) - 8(3) + E1 - 4(3) = 0 
⇒ E1 = 36 volt
from loop (2) + 4(5) + 5(2) - E2 + 8(3) = 0 
E2 = 54 volt
(d) from loop (3) - 2R - E1 + E2 = 0

*Multiple options can be correct
JEE Advanced Part Test- 2 - Question 12

A proton of charge 'e' and mass 'm' enters a uniform and constant magnetic field  with an initial velocity Which of the following will be correct at any later time 't' :

Detailed Solution for JEE Advanced Part Test- 2 - Question 12

The x-component of velocity, being parallel to magnetic field, shall remain unchanged.The component of velocity perpendicular to x-axis will always have magnitude Voy,
and at any time t it shall make an angle θ =ωt with y-axis as shown. so y-component of velocity is Voy cosωt and z-component of velocity along negative z-direction at any time t is Voy sinωt. Where ω = qB/m

JEE Advanced Part Test- 2 - Question 13

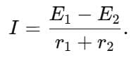
Satement-1 : Two cells of unequal emf E1 and E2 having internal resistances r1 and r2 are connected as shown in figure. Then the potential difference across any cell cannot be zero.                            

Satement-2 : If two cells having nonzero internal resistance and unequal emf are connected across each other as shown, then the current in the  and it flows from the cell of higher emf to the cell of lower emf.

Detailed Solution for JEE Advanced Part Test- 2 - Question 13

When the two unequal cells (internal resistances r1,r2​) are connected across each other, the loop current is

Thus Statement - 2 yields the current that proves statement - 1. so statement - 2 is a correct explanation of statement - 1.

JEE Advanced Part Test- 2 - Question 14

Satement-1 : A pendulum made of an insulated rigid massless rod of length l is attached to a small sphere of mass m and charge q. The pendulum is undergoing oscillations of small amplitude having time period T. Now a uniform horizontal magnetic field  out of plane of page is switched on. As a result of this change, the time period of oscillations does not change.          

Satement-2 : A force acting along the string on the bob of a simple pendulum (such that tension in string is never zero) does not produce any restoring torque on the bob about the hinge.

Detailed Solution for JEE Advanced Part Test- 2 - Question 14

The magnetic force on bob does not produce any restoring torque on bob about the hinge. Hence this force has no effect on time period of oscillation. Therefore both statements are correct and statement-2 is the correct

JEE Advanced Part Test- 2 - Question 15

In the shown circuit involving a resistor of resistance R W, capacitor of capacitance C farad and an ideal cell of emf E volts, the capacitor is initially uncharged and the key is in position 1. At t = 0 second the key is pushed to position 2 for t0 = RC seconds and then key is pushed back to position 1 for t0 = RC seconds. This process is repeated again and again. Assume the time taken to push key from position 1 to 2 and vice versa to be negligible.

Q. The charge on capacitor at t = 2RC second is 

Detailed Solution for JEE Advanced Part Test- 2 - Question 15

For t = 0 to t0 = RC seconds, the circuit is of charging type. The charging equation for this time is


Therefore the charge on capacitor at time t0 = RC is q0 
For t = RC to t = 2RC seconds, the circuit is of discharging type. The charge and current equation for this time are

 and  
Hence charge at t = 2 RC and current at t = 1.5 RC are

and 

Since the capacitor gets more charged up from t = 2RC to t = 3RC than in the interval  t = 0 to t = RC, the graph representing the charge variation is as shown in figure 

JEE Advanced Part Test- 2 - Question 16

In the shown circuit involving a resistor of resistance R W, capacitor of capacitance C farad and an ideal cell of emf E volts, the capacitor is initially uncharged and the key is in position 1. At t = 0 second the key is pushed to position 2 for t0 = RC seconds and then key is pushed back to position 1 for t0 = RC seconds. This process is repeated again and again. Assume the time taken to push key from position 1 to 2 and vice versa to be negligible.

Q. The current through the resistance at t = 1.5 RC seconds is 

Detailed Solution for JEE Advanced Part Test- 2 - Question 16

For t = 0 to t0 = RC seconds, the circuit is of charging type. The charging equation for this time is


Therefore the charge on capacitor at time t0 = RC is q0 
For t = RC to t = 2RC seconds, the circuit is of discharging type. The charge and current equation for this time are

 and  
Hence charge at t = 2 RC and current at t = 1.5 RC are

and 

Since the capacitor gets more charged up from t = 2RC to t = 3RC than in the interval  t = 0 to t = RC, the graph representing the charge variation is as shown in figure 

JEE Advanced Part Test- 2 - Question 17

In the shown circuit involving a resistor of resistance R W, capacitor of capacitance C farad and an ideal cell of emf E volts, the capacitor is initially uncharged and the key is in position 1. At t = 0 second the key is pushed to position 2 for t0 = RC seconds and then key is pushed back to position 1 for t0 = RC seconds. This process is repeated again and again. Assume the time taken to push key from position 1 to 2 and vice versa to be negligible.

Q. Then the variation of charge on capacitor with time is best represented by 

Detailed Solution for JEE Advanced Part Test- 2 - Question 17

For t = 0 to t0 = RC seconds, the circuit is of charging type. The charging equation for this time is


Therefore the charge on capacitor at time t0 = RC is q0 
For t = RC to t = 2RC seconds, the circuit is of discharging type. The charge and current equation for this time are

 and  
Hence charge at t = 2 RC and current at t = 1.5 RC are

and 

Since the capacitor gets more charged up from t = 2RC to t = 3RC than in the interval  t = 0 to t = RC, the graph representing the charge variation is as shown in figure 

JEE Advanced Part Test- 2 - Question 18

Matrix Match

A charged particle having non zero velocity is subjected to certain conditions given in Column I . Column II gives possible trajectories of the particle. Match the conditions in column I with the results in Column II

Detailed Solution for JEE Advanced Part Test- 2 - Question 18

(A) Uniform electric field exerts constant force on the charged particle, hence the particle may move in straight line or a parabolic path.
(B) Under action of uniform magnetic field, the charged particle may move in straight line when projected along or opposite to direction of magnetic field. The charged particle moves in circle when it is projected perpendicular to the magnetic field. If the initial velocity of the charged particle makes an angle between 0° and 180° (except 90°) with magnetic field, the particle moves along a helical path of uniform pitch.
(C) If charged particle is shot parallel to both fields it moves along a straight line. If the charged particle is shot at any angle with both the field (except 0° and 180°) , the particle moves along a helix with non-uniform pitch.
(D) from results of A and B all the given paths are possible.

*Answer can only contain numeric values
JEE Advanced Part Test- 2 - Question 19

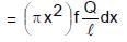
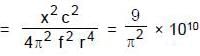
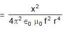
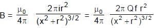
A uniformly charged ring of radius 0.1 m rotates at a frequency of 104 rps about its axis. The ratio of energy density of electric field to the energy density of the magnetic field at a point on the axis at distance 0.2 m from the centre is in form X × 109. Find the value of X. (Use speed of light c = 3 × 108 m/s, π2 = 10)


Detailed Solution for JEE Advanced Part Test- 2 - Question 19

Electric field at P is

Magnetic field at P is 

f = frequency of revolution.
Electric energy density  Magnetic energy density 
 

*Answer can only contain numeric values
JEE Advanced Part Test- 2 - Question 20

In the circuit shown S1 and S2 are switches. S2 remains closed for a long time and S1 open. Now S1 is also closed. It is given that R = 10Ω , L = 1 mH and ε = 3V. Just after S1 is closed, the magnitude of rate of change of current (in ampere/sec.) that is  , in the inductor L is x × 102 A/s find x


Detailed Solution for JEE Advanced Part Test- 2 - Question 20



∴ 


⇒ 
∴ Potential difference 
And 

*Answer can only contain numeric values
JEE Advanced Part Test- 2 - Question 21

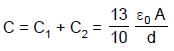
The equivalent capacitance between terminals ‘A’ and ‘B’ is  Find x. The letters have their usual meaning.


Detailed Solution for JEE Advanced Part Test- 2 - Question 21



*Answer can only contain numeric values
JEE Advanced Part Test- 2 - Question 22

The current density  inside a long, solid, cylindrical wire of radius a = 12 mm is in the direction of the central axis and its magnitude varies linearly with radial distance r from the axis according to  where A/m2. Find the magnitude of the magnetic field at r = a/2 in μT.


Detailed Solution for JEE Advanced Part Test- 2 - Question 22

Current in the element = J (2πr . dr)

Current enclosed by Amperian loop of radius a/2


Applying Ampere's law

On putting values
B = 10 μT

JEE Advanced Part Test- 2 - Question 23

(half-life = 15 hrs.) is known to contain some radioactive impurity (half-life = 3 hrs.) in a sample. This sample has an initial activity of 1000 counts per minute, and after 30 hrs it shows an activity of 200 counts per minute. What percent of the initial activity was due to the impurity ?

Detailed Solution for JEE Advanced Part Test- 2 - Question 23

Let the activity due to impurity be ‘a’ cpm.
∴ due to Na it is (1000 - a) cpm.
After 30 hrs ‘a’ would be reduced to (1/2)10 a cpm and (1000 - a) would be reduced to  cpm
∴ total activity after 30 hrs would be

solving we get

∴  ⇒ a = 200 
Hence 20% activity was due to impurity.

JEE Advanced Part Test- 2 - Question 24

For the cell (at 298 K)

Ag(s) | AgCl(s) | Cl– (aq) || AgNO3 (aq) | Ag(s) 

Which of following is correct :

Detailed Solution for JEE Advanced Part Test- 2 - Question 24

It [Ag+]a = [Ag+]c then both the electrodes have same potential.
[Ag+] will increase in anodic compartment.
AgCI(s) precipitate in anodic compartment will increase.

JEE Advanced Part Test- 2 - Question 25

At 298K the standard free energy of formation of H2O(l) is –257.20 kJ/mole while that of its ionisation into H+ ions and OH ions is 80.35 kJ/mole, then the emf of the following cell at 298 K will be (Take F = 96500 C] :
H2(g,1 bar) | H+ (1M) || OH¯ (1M) | O2 (g, 1bar)

Detailed Solution for JEE Advanced Part Test- 2 - Question 25

Cell reaction
Cathode : 
Anode :  
________________________________________________


Also we have
 
 
Hence for cell reaction

JEE Advanced Part Test- 2 - Question 26

Consider the reaction, NH2NO2 (aq) ———? N2O(g) + H2O(l)

The concentration of nitramide as a function of time is shown below for a particular run.

Which line represents the correct tangent to the graph at the origin (t = 0) ?

Detailed Solution for JEE Advanced Part Test- 2 - Question 26




JEE Advanced Part Test- 2 - Question 27

In a hypothetical reaction

A(aq)  2B(aq) + C(aq)        (1st order decomposition)

'A' is optically active (dextro-rototory) while 'B' and 'C' are optically inactive but 'B' takes part in a titration reaction (fast reaction) with H2O2. Hence the progress of reaction can be monitored by measuring rotation of plane of plane polarised light or by measuring volume of H2O2 consumed in titration. 
In an experiment the optical rotation was found to be θ = 40° at t = 20 min and θ = 10° at t = 50 min. from start of the reaction. If the progress would have been monitored by titration method, volume of H2O2 consumed at t = 15 min. (from start) is 40 ml then volume of H2O2 consumed at t = 60 min will be:

Detailed Solution for JEE Advanced Part Test- 2 - Question 27

As only A is optically active. So concentration of A at t = 20 min ∝ 40°
While concentration of A at t = 50 min ∝ 10°, so t1/2 = 15 min.
So volume consumed of H2O2 at t = 15 min = t1/2 , is according to 50% production of B. at t = 60 min. production of B = 94.75% (four half lives)
So volume consumed  = 75 ml Ans.

JEE Advanced Part Test- 2 - Question 28

How many m.moles of sucrose should be dissolved in 500 grams of water so as to get a solution which has a difference of 103.57°C between boiling point and freezing point ?

(Kf = 1.86 K Kg mol–1, Kb = 0.52 K Kg mol–1)

Detailed Solution for JEE Advanced Part Test- 2 - Question 28

Boiling point of solution = boiling point + ΔTb = 100 + ΔTb
Freezing point of solution = freezing point - ΔTf = 0 - ΔTf
Difference in temperature (given) = 100 + ΔTb - (- ΔTf)
103.57 = 100 + ATb + ΔTf = 100 + molality x Kb + molality x Kf
= 100 + molality (0.52 + 1.86)




= 750mmoles

JEE Advanced Part Test- 2 - Question 29

When a graph is plotted between log x/m and log p, it is straight line with an angle 45° and intercept 0.6020 on y-axis. If initial pressure is 0.3 atm, what will be the amount of gas adsorbed per gram of adsorbent :

Detailed Solution for JEE Advanced Part Test- 2 - Question 29



JEE Advanced Part Test- 2 - Question 30

Diamond has face-centred cubic lattice. There are two atoms per lattice point, with the atoms at (000) and  coordinates. The ratio of the carbon-carbon bond distance to the edge of the unit cell is: 

Detailed Solution for JEE Advanced Part Test- 2 - Question 30

Carbon atoms are at corners and are at alternate corners. So from geometry.

So required ratio

View more questions
Information about JEE Advanced Part Test- 2 Page
In this test you can find the Exam questions for JEE Advanced Part Test- 2 solved & explained in the simplest way possible. Besides giving Questions and answers for JEE Advanced Part Test- 2, EduRev gives you an ample number of Online tests for practice
Download as PDF