JEE Exam  >  JEE Tests  >  JEE Main Practice Test- 3 - JEE MCQ

JEE Main Practice Test- 3 - JEE MCQ


Test Description

30 Questions MCQ Test - JEE Main Practice Test- 3

JEE Main Practice Test- 3 for JEE 2025 is part of JEE preparation. The JEE Main Practice Test- 3 questions and answers have been prepared according to the JEE exam syllabus.The JEE Main Practice Test- 3 MCQs are made for JEE 2025 Exam. Find important definitions, questions, notes, meanings, examples, exercises, MCQs and online tests for JEE Main Practice Test- 3 below.
Solutions of JEE Main Practice Test- 3 questions in English are available as part of our course for JEE & JEE Main Practice Test- 3 solutions in Hindi for JEE course. Download more important topics, notes, lectures and mock test series for JEE Exam by signing up for free. Attempt JEE Main Practice Test- 3 | 75 questions in 180 minutes | Mock test for JEE preparation | Free important questions MCQ to study for JEE Exam | Download free PDF with solutions
JEE Main Practice Test- 3 - Question 1

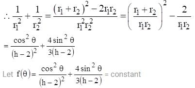
A point object moves on a circular path such that distance covered by it is given by function  Meter (t in second). The ratio of the magnitude of acceleration at t = 2 sec. And t = 5 sec. is 1: 2 then radius of the circle is

Detailed Solution for JEE Main Practice Test- 3 - Question 1

JEE Main Practice Test- 3 - Question 2

At time t = 0, a 2 kg particle has position vector m relative to the origin. Its velocity is given by  The torque acting on the particle about the origin at t = 2s, is :

Detailed Solution for JEE Main Practice Test- 3 - Question 2

Angular momentum is given by

JEE Main Practice Test- 3 - Question 3

A box is floating in the river of speed 5m/s. The position of the block is shown in the figure at t=0. A stone is thrown from point O at time t = 0 with a velocity  Find the value of v1, v2 such that the stone hits the box.

Detailed Solution for JEE Main Practice Test- 3 - Question 3

Position vector of box and stone are

When stone hits the block,

JEE Main Practice Test- 3 - Question 4

A luminous point object is moving along the principal axis of a concave mirror of focal length 12 cm towards it. When its distance from the mirror is 20 cm its velocity is 4 cm/s . The velocity of the image in cm/s at that instant

Detailed Solution for JEE Main Practice Test- 3 - Question 4

VI = -9cm/s towards right.
So away from the mirror.

JEE Main Practice Test- 3 - Question 5

A uniform electric field E is present horizontally along the paper throughout the region and uniform magnetic field B0 is present horizontally (perpendicular to plane of paper in inward direction) right to the line AB. A charge particle having charge q and mass m is projected vertically upward and it crosses the line AB after time t0. Find the speed of projection if particle moves with constant velocity after t0 . (Given qE = mg)

Detailed Solution for JEE Main Practice Test- 3 - Question 5

Let velocity of particle at ‘P’ is ‘v’ making an angle ‘θ’ with x-axis
(P is the point where particle is crossing AB line)
⇒As after reaching point ‘P’, velocity of particle remain constant, so net force acting on particle will be zero at ‘P’

Now, horizontal velocity at point ‘P’ is due to Electric force qE Only

JEE Main Practice Test- 3 - Question 6

Two blocks P and Q are connected by a light inextensible string passing over a smooth pulley fixed as shown in the Figure. The coefficient of friction of blocks P and Q to the table is μ = 0.3; the mass of the block Q is 20 kg. The mass of the block P for the block just to slip is

Detailed Solution for JEE Main Practice Test- 3 - Question 6

From F.B.D of P
N + T sin θ = mg ... (1)
T cos θ = fmax = μN ... (2)
From (1), N = mg − T sin θ ... (3)
From (2) and (3),
T cos θ = μ (mg − T sin θ)
T (cos θ + μ sin θ) = μ mg ... (4)
From F.B.D. of Q
T = 20 g ... (5)

JEE Main Practice Test- 3 - Question 7

A monochromatic light source of wavelength λ is placed at S. Three slits S1, S2 and S3 are equidistant from the source S and the point P on the screen. S1P-S2P=λ/6 and S1P-S3P = 2λ/3. If I be the intensity at P when only one slit is open, the intensity at P when all the three slits are open is

Detailed Solution for JEE Main Practice Test- 3 - Question 7

Take base SS3P

JEE Main Practice Test- 3 - Question 8

On a hypothetical planet satellite can only revolve in quantized energy level i.e. magnitude of energy of a satellite is integer multiple of a fixed energy. If two successive orbit have radius R and 3R/2 what could be maximum radius of satellite

Detailed Solution for JEE Main Practice Test- 3 - Question 8

For energy in radius 

Where n is integer and k is constant energy,
now

Now this implies that for Rmax , K=1

JEE Main Practice Test- 3 - Question 9

In a transistor amplifier when the signal changes by 2 V, the base current changes by 150 μA and collector current by 15 mA. If collector load Find the voltage gain of amplifier.

Detailed Solution for JEE Main Practice Test- 3 - Question 9

Current gain of the circuit is 

Input impedance of the circuit is 

Load AC resistance is

JEE Main Practice Test- 3 - Question 10

Copper and iron wires of same length and diameter are in series and connected across a battery. The resistivity of copper is about one-sixth of the iron. If E1 and E2 are the electric fields in the copper and iron wires respectively, then which of the following is correct?

Detailed Solution for JEE Main Practice Test- 3 - Question 10

(where symbols have standard meaning)

Since current is same (series)

JEE Main Practice Test- 3 - Question 11

E, m, p and G denote energy, mass, angular momentum and gravitational constant. Then has the dimensions of

Detailed Solution for JEE Main Practice Test- 3 - Question 11

JEE Main Practice Test- 3 - Question 12

A circular conducting loop of radius R carries a current I. Another straight infinite conductor carrying current I passes through the diameter of this loop as shown in the figure. The magnitude of force exerted by the straight conductor on the loop is :-

Detailed Solution for JEE Main Practice Test- 3 - Question 12

Take an arc of angle which make angle ‘θ’ with vertical. (dθ very small → point ‘P’)

⇒ Magnetic field due to infinite wire at this point

 (where r = R sinθ i.e. perpendicular distance of ‘P’ from line)

⇒ force dF on this Point (Arc of length dl = Rdθ) is 

Point (small arc) symmetric to point ‘P’ will also have same force dF

Force balancing on the arc having angle 2θ

Total force = 2 dF sinθ

Force on whole circular loop

JEE Main Practice Test- 3 - Question 13

Find the intensity of electromagnetic wave if the electric field in electromagnetic wave is 

Detailed Solution for JEE Main Practice Test- 3 - Question 13

Electric field of electromagnetic wave Intensity of Electromagnetic wave in terms of maximum electric field is

JEE Main Practice Test- 3 - Question 14

The displacement of a particle is represented by the equation y= 40cosωt. The motion is

Detailed Solution for JEE Main Practice Test- 3 - Question 14

JEE Main Practice Test- 3 - Question 15

In the circuit shown in figure find the current in branch BD of the circuit :

Detailed Solution for JEE Main Practice Test- 3 - Question 15

JEE Main Practice Test- 3 - Question 16

A particle undergoes from position O(0, 0, 0) to A (a, 2a, 0) via path in x-y plane under the action of a force which varies with particle’s (x, y, z) coordinate as  Work done by the force  is: (all symbols have their usual meaning and they are in SI unit.)

Detailed Solution for JEE Main Practice Test- 3 - Question 16

JEE Main Practice Test- 3 - Question 17

One million small identical drops of water, all charged to the same potential, are combined to form a single large drop. If E is the sum of the electrostatic energy of each small drop, the combined energy of the large drop is

Detailed Solution for JEE Main Practice Test- 3 - Question 17

Energy of one drop

where q = CV is the charge of one drop, C is the capacitance.
Energy of 106 drops,

Potential on the combined drop
= (potential of each initial drop) × (n2/3)
V′ = V (106)2/3 = 104 V
Energy of combined drop,

JEE Main Practice Test- 3 - Question 18

An unknown particle  originally at rest emits 5 alpha particles with speed 11385 km/h. Find the recoil speed of the unknown daughter nucleus.

Detailed Solution for JEE Main Practice Test- 3 - Question 18

when particle Za emits 5 alpha then

Using conservation of linear momentum

JEE Main Practice Test- 3 - Question 19

The number of AM broadcast stations that can be accommodated at a 150 kHz band width, if the highest frequency modulating carrier is 5 kHz is

Detailed Solution for JEE Main Practice Test- 3 - Question 19

Total bandwidth = 150 kHz
fa(max) = 5 kHz
Any station being modulated by a 5 kHz will produce an upper-side frequency 5 kHz above its carrier and a lower-side frequency 5 kHz below its carrier.
Thus  one station needs a bandwidth of 10 kHz.
Number of stations accommodated = Total BW /BW per station
=(150×103)/(10×103)=15

*Answer can only contain numeric values
JEE Main Practice Test- 3 - Question 20

When a certain metallic surface is illuminated with monochromatic light of wavelength λ, the stopping potential for photoelectric current is 3V0 and when the same surface is illuminated with light of wavelength 2λ, the stopping potential is V0. The threshold wavelength of this surface for photoelectric effect is Kλ. Calculate the value of K.


Detailed Solution for JEE Main Practice Test- 3 - Question 20

*Answer can only contain numeric values
JEE Main Practice Test- 3 - Question 21

A monochromatic beam of electrons accelerated by a potential difference V falls normally on the plane containing two narrow slits separated by a distance d. The interference pattern is observed on a screen parallel to the plane of the slits and at a distance of D from the slits. Fringe width is found to be w1w1. When electron beam is accelerated by the potential difference 4V the fringe width becomes ω2. Find the ratio  (Given d << D)


Detailed Solution for JEE Main Practice Test- 3 - Question 21

Fringe with proportional to wave length 

*Answer can only contain numeric values
JEE Main Practice Test- 3 - Question 22

A target element A is bombarded with electrons and the wavelengths of the characteristic spectrum and measured. A second characteristic spectrum is also obtained, because of an impurity in the target. The wavelength of the Ka lines are 196 pm (element A) and 169 pm (impurity). If the atomic number of impurity is z = (10 x – 1). Find the value of x. (atomic number of element A is 27).


Detailed Solution for JEE Main Practice Test- 3 - Question 22

*Answer can only contain numeric values
JEE Main Practice Test- 3 - Question 23

What is the minimum height (in 102 m) of a brick column of uniform cross section for which column breaks due to its own weight?
[Patmospheric = 100 kPa, ρ = 1.8 × 103kg/m3. Breaking stress σ = 3.7 M Pa]


Detailed Solution for JEE Main Practice Test- 3 - Question 23

*Answer can only contain numeric values
JEE Main Practice Test- 3 - Question 24

A sound source emits frequency of 175 Hz when moving towards a rigid wall with speed 5 m/s and observer is moving away from wall with same speed 5 m/s. Both source and observer moves on a straight line which is perpendicular to the wall. The number of beats per second heard by the observer will be [Speed of sound = 355 m/s] Source is in between observer and wall.


Detailed Solution for JEE Main Practice Test- 3 - Question 24

Frequency of direct sound heared by observer 
Wave length of reflected sound wave  

No. of beats heared by person

JEE Main Practice Test- 3 - Question 25

Which of the following can act as reducing agent

Detailed Solution for JEE Main Practice Test- 3 - Question 25

Stability of metal carbonyl is deduced from EAN rule.
EAN rules states – those complex’s in which effective atomic number is numerically equal to atomic number of noble gas element found in same period in which metal is situated, are most stable.
EAN (effective atomic number) =

A. [Co(CO)4]
EAN = 27 – (–1) + 2 × 4
= 36 (inert gas atomic number)
Since, it already has EAN = 36 so it won’t give up or take in any electron.
B. EAN = 25 – (0) + 2 × 6 = 37
It has EAN = 37 so to attain inert gas electronic configuration it will donate one electron

EAN = 25 – (+1) + 2 × 6 = 36
It will act as reducing agent.
C. [Mn(CO)5]
EAN = 25 – (0) + 2 × 5 = 35
To gain inert gas electronic configuration, it will accept one electron.

It will act as oxidizing agent.
D. [Cr(CO)6]
EAN = 24 – (0) + 2 × 6 = 36
It already has inert gas configuration so it won’t exchange electrons.
Hence option (B) is correct.

JEE Main Practice Test- 3 - Question 26

If P,Q,R and S are elements of 3rd period of p–block in modern periodic table and among these one element is metal and rest are non-metal and their order of electronegativity is also given as
P < Q < R < S .Then in which of the following release of H+ is relatively easier.

Detailed Solution for JEE Main Practice Test- 3 - Question 26

In any X – O – H, we take into account electronegative difference between X and O, and O and H. If electronegative difference between X and O is greater than O and H, X – O bond will be more polar and will break easily giving OH. If electronegative difference between O and H is larger than X and O, O – H bond will be more polar and easier to break.
Electronegativity of S is largest, so electronegative difference between S and O will be least in S – O – H. It will be easier to break O – H bond, giving

Hence option (B) is correct.

JEE Main Practice Test- 3 - Question 27

In which of the following ‘meta form’ of ‘-ic acid’ is not possible.

Detailed Solution for JEE Main Practice Test- 3 - Question 27

For meta form of an acid to exist it must be capable of giving one H2O molecule and also contain at least one ‘H’ after donation of water.

JEE Main Practice Test- 3 - Question 28

Bakelite is a

Detailed Solution for JEE Main Practice Test- 3 - Question 28

Structure of bakelite

JEE Main Practice Test- 3 - Question 29

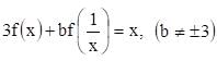
If mechanism of reaction is

Where k is rate constant then, what is 

Detailed Solution for JEE Main Practice Test- 3 - Question 29

JEE Main Practice Test- 3 - Question 30

which of the following species undergo non–redox thermal decomposition reaction on heating

Detailed Solution for JEE Main Practice Test- 3 - Question 30

Non–redox decomposition implies no change in oxidation number
On taking a look at these options we observe only in option (D) there has been no change in oxidation number.
Hence, option (D) is correct

View more questions
Information about JEE Main Practice Test- 3 Page
In this test you can find the Exam questions for JEE Main Practice Test- 3 solved & explained in the simplest way possible. Besides giving Questions and answers for JEE Main Practice Test- 3, EduRev gives you an ample number of Online tests for practice
Download as PDF