JEE Exam  >  JEE Tests  >  JEE Main Part Test - 4 - JEE MCQ

JEE Main Part Test - 4 - JEE MCQ


Test Description

30 Questions MCQ Test - JEE Main Part Test - 4

JEE Main Part Test - 4 for JEE 2025 is part of JEE preparation. The JEE Main Part Test - 4 questions and answers have been prepared according to the JEE exam syllabus.The JEE Main Part Test - 4 MCQs are made for JEE 2025 Exam. Find important definitions, questions, notes, meanings, examples, exercises, MCQs and online tests for JEE Main Part Test - 4 below.
Solutions of JEE Main Part Test - 4 questions in English are available as part of our course for JEE & JEE Main Part Test - 4 solutions in Hindi for JEE course. Download more important topics, notes, lectures and mock test series for JEE Exam by signing up for free. Attempt JEE Main Part Test - 4 | 75 questions in 180 minutes | Mock test for JEE preparation | Free important questions MCQ to study for JEE Exam | Download free PDF with solutions
JEE Main Part Test - 4 - Question 1

Two point charges 3 × 10-6 C and 8 × 10-6 C repel each other by a force of 6 × 10-3 N. If each of them is given an additional charge of -6 × 10-6 C, then the force between them will be

Detailed Solution for JEE Main Part Test - 4 - Question 1

Key Idea: Like charges repel each other while unlike charges attract each other.

From Coulomb's law, the force of attraction/repulsion between two point charges q1 and q2 placed a distance r apart is given by

When similar charges are taken

q1 = 3 × 10-6 C, q2 = 8 × 10-6 C

When an additional charge - 6 × 106 C is given to each charge, then


Dividing Eq. (ii) by Eq. (i), we get

Negative sign indicates, force is attractive.

JEE Main Part Test - 4 - Question 2

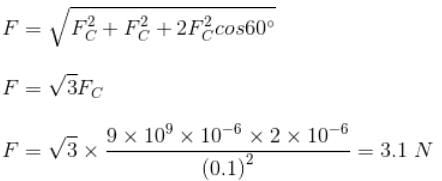
Three charges 1 μC, 1μC and 2 μC are respectively kept at the vertices A, B and C of an equilateral triangle ABC of side 10 cm. The resultant force on the charge at C is

Detailed Solution for JEE Main Part Test - 4 - Question 2


Here, FCA = FCB = FC

Hence, the resultant force on the charge at C is

JEE Main Part Test - 4 - Question 3

If the inward flux and outward electric flux from a closed surface respectively are 8 × 103 units and 4 × 103 units, then what is the net charge inside the closed surface?

Detailed Solution for JEE Main Part Test - 4 - Question 3

The charge inside the closed surface is given by
q = net electric flux pass through the surface × ε0
= (4 × 103 - 8 × 103) ε0
Therefore, q = -4 × 103 ε0 coulomb

JEE Main Part Test - 4 - Question 4

A metallic solid sphere is placed in a uniform electric field as shown. Which path will the lines of force follow?

Detailed Solution for JEE Main Part Test - 4 - Question 4
  • The electric field is always perpendicular to the surface of a conductor.
  • On the surface of a metallic solid sphere, the electric field is perpendicular to the surface and directed towards the centre of the sphere.

Hence, the correct option is (d).

JEE Main Part Test - 4 - Question 5

An electric dipole placed in a non-uniform electric field experiences

Detailed Solution for JEE Main Part Test - 4 - Question 5

The correct option is (c). In a non-uniform electric field, a dipole experiences a force, which gives it a translational motion, and a torque, which gives it a rotational motion.

JEE Main Part Test - 4 - Question 6

Directions: In the following questions, A statement of Assertion (A) is followed by a statement of Reason (R). Mark the correct choice as.

Assertion (A): In a cavity in a conductor, the electric field is zero.

Reason (R): Charges in a conductor reside only at its surface.

Detailed Solution for JEE Main Part Test - 4 - Question 6

The charge enclosed by the Gaussian surface surrounding the cavity is zero. Hence, the electric field is also zero. So, the assertion is true. Charges in a conductor reside only at its surface. So, in the cavity there is no charge. So, the reason is also true and properly explains the assertion.

JEE Main Part Test - 4 - Question 7

Directions: These questions consist of two statements, each printed as Assertion and Reason. While answering these questions, you are required to choose any one of the following four responses.

Assertion : The Coulomb force is the dominating force in the universe.

Reason : The Coulomb force is weaker than the gravitational force.

Detailed Solution for JEE Main Part Test - 4 - Question 7

Gravitational force is the dominating force in the universe so assertion is false. Gravitational force is weaker than Coulombic force so, reason is false

JEE Main Part Test - 4 - Question 8

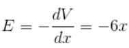
The potential of the electric field produced by a point charge at any point (x, y, z) is given by V = 3x2 + 5, where x, y and z are in metres and V is in volts. The intensity of the electric field at (–2, 1, 0) is

Detailed Solution for JEE Main Part Test - 4 - Question 8

Given potential,
V = 3x2 + 5
Electric field intensity,

At x = -2,
E = -6 (-2) = +12V/m

JEE Main Part Test - 4 - Question 9

A capacitor of capacitance C1 is charged by connecting it to a battery. The battery is then removed and this capacitor is connected to a second uncharged capacitor of capacitance C2. If the charge gets distributed equally on the two capacitors, then the ratio of the total energy stored in the capacitors, after connection to the total energy stored in them before connection, is

Detailed Solution for JEE Main Part Test - 4 - Question 9

If Q is the initial charge on capacitor C1, then the initial energy is given by Ui = Q2/2C1.

As the two capacitors are connected together and the charge is distributed equally, the charge on each capacitor is Q/2.

Since the potential difference (in a parallel connection) across the two capacitors is also the same, it follows that their capacitance are equal (since C = Q/V).

Thus, C1 = C2 = C (say)

Also, Q1 = Q2 = Q/2

Therefore, the final energy stored in the two capacitors is

JEE Main Part Test - 4 - Question 10

Directions: In the following question, two statements are given. One is assertion and the other is reason. Examine the statements carefully and mark the correct answer according to the instructions given below.

Assertion: A parallel plate capacitor is charged by a battery. The battery is then disconnected. If the distance between the plates is increased, then the energy stored in the capacitor will decrease.

Reason: Work has to be done to increase the separation between the plates of a charged capacitor.

Detailed Solution for JEE Main Part Test - 4 - Question 10

The charge Q remains unchanged as the battery is disconnected. The capacitance C decreases if the separation between the plates is increased.
Now, energy stored U = Q2/2C
Since Q remains the same and C is decreased, U will increase.
Also, work has to be done to increase the separation between the plates of a charged capacitor.
Hence, option d is correct.

JEE Main Part Test - 4 - Question 11

Three point charges of 1 C, 2 C and 3 C are placed at the corners of an equilateral triangle of side 1 m. The work done (in joules) in bringing these charges to the vertices of a smaller similar triangle of side 0.5 m is

Detailed Solution for JEE Main Part Test - 4 - Question 11

JEE Main Part Test - 4 - Question 12

Three capacitors, each of capacity 4 µF, are to be connected in such a way that the effective capacitance is 6 µF. This can be done by

Detailed Solution for JEE Main Part Test - 4 - Question 12

To get equivalent capacitance 6 μF, out of the three, 4 μF capacitances, two are connected in series and the third one is connected in parallel.

JEE Main Part Test - 4 - Question 13

A 3 μF capacitor is charged to a potential of 300 V and a 2 μF capacitor is charged to a potential of 200 V. The capacitors are then connected in parallel with plates of opposite polarity joined together. What amount of charge will flow when the plates are so connected

Detailed Solution for JEE Main Part Test - 4 - Question 13

Before connections,
C1 = 3µF, V1 = 300V
Charge on C1,
Q1 = 900μC
C2 = 2µF, V1 = 200V
Charge on C2,
Q2 = 400μC
When the positive terminal of C1 is connected with the negative terminal of C2, common potential of the system is:

Substituting the values, we get
V = 100V
New charge on positive plate of C1,
Q'= 3 x 100 = 300µC
So, charge Q1 - Q'1 = 600 µC has flown from the positive plate of the C1 to the negative plate of C2.

JEE Main Part Test - 4 - Question 14

An insulator plate is passed through the plates of a capacitor as shown. The current

Detailed Solution for JEE Main Part Test - 4 - Question 14

As insulator plate is passed between the plates of the capacitor, its capacity increases first and then decreases as the plate slips out. As a result, positive charge on plate A increase first and then decreases, hence, current in outer circuit flows from B to A and then from A to B.

JEE Main Part Test - 4 - Question 15

Directions: These questions consist of two statements, each printed as Assertion and Reason. While answering these questions, you are required to choose any one of the following four responses.

Assertion: The electric flux of the electric field ∮ E.dA is zero. The electric field is zero everywhere on the surface.

Reason: The charge inside the surface is zero.

Detailed Solution for JEE Main Part Test - 4 - Question 15

By Gauss’s law:
∮ E ⋅ dA = Qenc / ε₀

If ∮ E ⋅ dA = 0, then Qenc = 0, so the reason is true. However, the assertion is false: zero flux does not imply E = 0 everywhere on the surface (e.g., a dipole with no net charge produces non-zero field).

Thus, both are not correct, and the correct answer is D: Assertion is false, Reason is true.

JEE Main Part Test - 4 - Question 16

Directions: These questions consist of two statements, each printed as Assertion and Reason. While answering these questions, you are required to choose any one of the following four responses.

Assertion: On bringing a positively charged rod near the uncharged conductor, the conductor gets attracted towards the rod.

Reason: The electric field lines of the charged rod are perpendicular to the surface of the conductor.

Detailed Solution for JEE Main Part Test - 4 - Question 16

Though the net charge on the conductor is still zero but due to induction the negatively charged region is nearer to the rod as compared to the positively charged region. That is why the conductor gets attracted towards the rod

JEE Main Part Test - 4 - Question 17

Two parallel, large and thin metal plates have equal surface charge densities (σ = 26.4 x 10-12 C/m2) of opposite signs. The electric field between these plates is

Detailed Solution for JEE Main Part Test - 4 - Question 17

JEE Main Part Test - 4 - Question 18

When a conductor is placed in an electric field; its free charge carriers adjust itself in order to oppose the electric field. This happen until

Detailed Solution for JEE Main Part Test - 4 - Question 18
  • When an external electric field is applied to the conductor, the free electrons in the conductor move in an opposite direction to that of the applied electric field.
  • This movement of electrons induces another electric field inside the conductor which opposes the original external electric field.
  • This continues until the induced electric field cancels out the external field. 
JEE Main Part Test - 4 - Question 19

The electric field inside a dielectric decreases, when it is placed in an external electric field. This happens due to ________

Detailed Solution for JEE Main Part Test - 4 - Question 19

The external electric field polarizes the dielectric and an electric field is produced.
The net electric field inside the dielectric decreases due to polarization.

JEE Main Part Test - 4 - Question 20

The magnetic field inside a toroidal solenoid of radius R is B. If the current through it is doubled and its radius is also doubled keeping the number of turns per unit length the same; magnetic field produced by it will be:

Detailed Solution for JEE Main Part Test - 4 - Question 20

*Answer can only contain numeric values
JEE Main Part Test - 4 - Question 21

In the given circuit, the potential difference (v) across PQ will be nearest to
(Round off up to 1 decimal place)


Detailed Solution for JEE Main Part Test - 4 - Question 21

Potential difference across PQ, i.e. potential difference across the resistance of 20Ω, is

∴ V = 0.16 × 20 = 3.2 V

*Answer can only contain numeric values
JEE Main Part Test - 4 - Question 22

If the current flowing in a coil of resistance 90Ω is to be reduced to 90%, what value of resistance (in ohms) should be connected in series with it? (In integer)


Detailed Solution for JEE Main Part Test - 4 - Question 22

Let the voltage supply be V volts.

Let the current flowing initially be i amperes.

Now, by Ohm's law, i = V/90

Let the final resistance be R ohms.

As the final current is 90% of the initial value,

Or R = 100 ohms

Let the resistance added in series be r ohms.

Now, r + 90 = 100

Or r = 10

Thus, 10 ohms resistance ought to be connected in series to the given resistor.

*Answer can only contain numeric values
JEE Main Part Test - 4 - Question 23

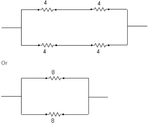
The equivalent resistance (in ohms) across A and B is


Detailed Solution for JEE Main Part Test - 4 - Question 23


The above arrangement is a balanced wheatstone bridge, so no current will pass through the 10 ohm resistance.
Or

Or 
 ohms is the equivalent resistance.

*Answer can only contain numeric values
JEE Main Part Test - 4 - Question 24

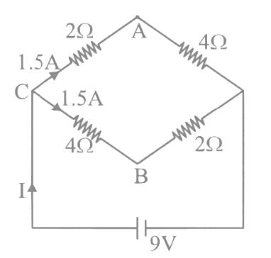
A network of four resistances is connected to 9 V battery, as shown in figure. The magnitude of voltage difference between the points A and B is ___________V.


Detailed Solution for JEE Main Part Test - 4 - Question 24


In the circuit I = 9/3 = 3A
VC - VA = 2 × 1.5 = 3 .... (I)
Vc - VB = 4 × 1.5 = 6 .....  (II)
Eqn(II) - Eqn(I)
VA - VB = 6 - 3 = 3 Volt

*Answer can only contain numeric values
JEE Main Part Test - 4 - Question 25

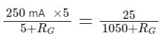
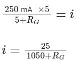
When a resistance of 5Ω is shunted with a moving coil galvanometer, it shows a full scale deflection for a current of 250 mA, however when 1050Ω resistance is connected with it in series, it gives full scale deflection for 25 volt. The resistance of galvanometer is _________ Ω.


Detailed Solution for JEE Main Part Test - 4 - Question 25

Given:

Equating the two expressions for current, i,

This equation simplifies to:
100 (5 + RG) =  1050 x 5 + RG x 5
Solving for the resistance of the galvanometer, RG:
95 RG = 4750
RG = 50Ω
So, the resistance of the galvanometer is 50Ω.

JEE Main Part Test - 4 - Question 26

For the following cell with hydrogen electrodes at two different  pressure pand p

 emf is given by

Detailed Solution for JEE Main Part Test - 4 - Question 26

For SHE E°SHE = 0.00 V
Oxidation at anode (left)

Reduction at cathode (right) 
Net

This is the type of the cell in which electrodes at different pressures are dipped in same electrolyte and connectivity is made by a salt-bridge.

Reaction Quotient (Q) 

∵ 

JEE Main Part Test - 4 - Question 27

For the cell,

Thus (x/y) is

Detailed Solution for JEE Main Part Test - 4 - Question 27

This is a type of concentration cell using hydrogen electrode as anode and cathode.





JEE Main Part Test - 4 - Question 28

The correct order of thermal stability of the hydrides of group 16 elements is

Detailed Solution for JEE Main Part Test - 4 - Question 28



Thermal stability ∝ bond dissociation energy 
(where, E = group 16 elements)
On moving down the group, bond dissociation energy decreases due to increase in bond length. Thus, the order of bond dissociation energy or thermal stability is 
H2O > H2S > H2Se > H2Te > H2PO

*Multiple options can be correct
JEE Main Part Test - 4 - Question 29

Which of the following statements regarding ozone are correct?

Detailed Solution for JEE Main Part Test - 4 - Question 29

Ozone is thermodynamically unstable w.r.t oxygen since, its decomposition into oxygen results in liberation of heat.

JEE Main Part Test - 4 - Question 30

The solubility of CO2 in water increases with

Detailed Solution for JEE Main Part Test - 4 - Question 30

This is in accordance with Henry's law.
'At a constant temperature, the amount of a given gas that dissolves in a given type and volume of liquid is directly proportional to partial pressure of that gas in equilibrium with that liquid.'

View more questions
Information about JEE Main Part Test - 4 Page
In this test you can find the Exam questions for JEE Main Part Test - 4 solved & explained in the simplest way possible. Besides giving Questions and answers for JEE Main Part Test - 4, EduRev gives you an ample number of Online tests for practice
Download as PDF