JEE Exam  >  JEE Tests  >  JEE Main Part Test - 5 - JEE MCQ

JEE Main Part Test - 5 - JEE MCQ


Test Description

30 Questions MCQ Test - JEE Main Part Test - 5

JEE Main Part Test - 5 for JEE 2025 is part of JEE preparation. The JEE Main Part Test - 5 questions and answers have been prepared according to the JEE exam syllabus.The JEE Main Part Test - 5 MCQs are made for JEE 2025 Exam. Find important definitions, questions, notes, meanings, examples, exercises, MCQs and online tests for JEE Main Part Test - 5 below.
Solutions of JEE Main Part Test - 5 questions in English are available as part of our course for JEE & JEE Main Part Test - 5 solutions in Hindi for JEE course. Download more important topics, notes, lectures and mock test series for JEE Exam by signing up for free. Attempt JEE Main Part Test - 5 | 75 questions in 180 minutes | Mock test for JEE preparation | Free important questions MCQ to study for JEE Exam | Download free PDF with solutions
JEE Main Part Test - 5 - Question 1

The magnetic field and number of turns of the coil of an electric generator is doubled then the magnetic flux of the coil will:

Detailed Solution for JEE Main Part Test - 5 - Question 1

Given: N = 2N1 and B = 2B1
The magnetic flux through the electric generator when the magnetic field is B, the Area is A, and the number of turns is N
φ = N B A cos θ ....(1)
The magnetic flux through the electric generator when the magnetic field and the number of turns of the coil of an electric generator is doubled
φ1 = N1 B1 A cosθ   ...(2)
⇒ φ= (2N)(2B) A cos θ = 4 N B A cos θ = 4φ [∵φ = NBA cos θ]

*Multiple options can be correct
JEE Main Part Test - 5 - Question 2

AB and CD are smooth parallel rails, separated by a distance l, and inclined to the horizontal at an angle q. A uniform magnetic field of magnitude B, directed vertically upwards, exists in the region. EF is a conductor of mass m, carrying a current i. For EF to be in equilibrium,

               

Detailed Solution for JEE Main Part Test - 5 - Question 2

Force on EF,
Fmag​​=i∫(dl×B)=iLBsin(90−θ)=iLBcosθ
Fmag​​ up the inclined plane.
Component of weight of EF down the inclined plane: mgsinθ
For EF to be in equilibrium, iLBcosθ=mgsinθ
∴iLB=mgtanθ
For Fmag​ to be up the inclined plane, it needs to flow from E to F.

*Multiple options can be correct
JEE Main Part Test - 5 - Question 3

Two different arrangements in which two square wire frames of same resistance are placed in a uniform constantly decreasing magnetic field B.

                     

                    

The direction of induced current in the case II is

Detailed Solution for JEE Main Part Test - 5 - Question 3

JEE Main Part Test - 5 - Question 4

The power factor of an RL circuit . If the frequency of a.c. is doubled, what will be the power factor?​

Detailed Solution for JEE Main Part Test - 5 - Question 4

JEE Main Part Test - 5 - Question 5

What is the average power/cycle in a capacitor?​

Detailed Solution for JEE Main Part Test - 5 - Question 5

The average power consumed/cycle in an ideal capacitor is 0.
The average power consumed in an ideal capacitor is given as based on the instantaneous power which is supplied to the capacitor:
pc = iv= (im cos ωt)(vm sin ωt)
pc = imvm (cos ωt sin ωt)
pc=(imvm/2)sin2ωt
We know that sin ωt = 0
Therefore, average power = 0

JEE Main Part Test - 5 - Question 6

Directions : In the following questions, A statement of Assertion (A) is followed by a statement of Reason (R). Mark the correct choice as.

Assertion (A): The mirror formula 1/v + 1/u = 1/f is valid for mirrors of small aperture.

Reason (R): Laws of reflection of light is valid for only plane surface and not for large spherical surface.

Detailed Solution for JEE Main Part Test - 5 - Question 6
The mirror formula is derived under the consideration that the incident rays are paraxial which means that the rays lie very close to the principal axis. Hence the mirror aperture is considered to be small. So, the assertion is true.

Laws of reflection are valid for any surface plane or spherical. Hence the reason is false.

JEE Main Part Test - 5 - Question 7

Directions : In the following questions, A statement of Assertion (A) is followed by a statement of Reason (R). Mark the correct choice as.

Assertion (A): If the objective lens and the eyepiece lens of a microscope are interchanged, it works as a telescope.

Reason (R): Objective lens of telescope require large focal length and eyepiece lens require small focal length.

Detailed Solution for JEE Main Part Test - 5 - Question 7
Magnification of microscope is inversely proportional to focal lengths of objective lens and the eyepiece lens. Hence both the focal lengths are small. On the other hand, magnification of microscope is inversely proportional to focal lengths of eyepiece lens and directly proportional to the objective lens. So, the focal length of the objective lens is large and the focal length of the eyepiece lens is small.

Hence, if the objective lens and the eyepiece lens of a microscope are interchanged that will not meet the criterion of the telescope.

So, the reason is true. But the assertion is false.

JEE Main Part Test - 5 - Question 8

Which of the following statement is correct regarding AC generators?

Detailed Solution for JEE Main Part Test - 5 - Question 8

AC generator works on the principle of Faraday's Law. The AC Generator's input supply is mechanical energy supplied by steam turbines, gas turbines and combustion engines. The output is alternating electrical power in the form of alternating voltage and current.

AC generators convert mechanical energy into electrical energy. The generated energy is in the form of a sinusoidal waveform (alternating current).

So, all the statements regarding AC generators correct.

JEE Main Part Test - 5 - Question 9

In the series LCR circuit, the power dissipation is through:

Detailed Solution for JEE Main Part Test - 5 - Question 9

The AC circuit containing a resistor, inductor, and a capacitor is called an LCR circuit.

The meanings of inductor, capacitor and resistance are as follows:

  • The device which stores magnetic energy in a magnetic field is called an inductor.
  • The device that stores electrostatic energy in an electric field is called a capacitor.
  • The properties of a conductor which opposes the flow of current are called resistance.

The capacitor and inductor are the storage devices that store the energy in it.

The inductor and capacitor can’t dissipate energy. As the resistance opposes the flow of electric current. So, the resistance of any circuit dissipates the power.

JEE Main Part Test - 5 - Question 10

In the given figure a metallic plate A is allowed to swing like a simple pendulum between the magnetic poles and it comes to rest after time t. If a slot is cut in the plate A and then it is allowed to swing with the same initial velocity as before then the time taken by it to come to rest will be:

Detailed Solution for JEE Main Part Test - 5 - Question 10

In the given figure, when the metallic plate A is allowed to swing like a simple pendulum between the magnetic poles, the magnetic flux associated with the plate keeps on changing as the plate moves in and out of the region between magnetic poles.

Due to this changing magnetic flux, the eddy currents induced in the plate oppose the motion of the plate. If a slot is cut in plate A area then the area available to the flow of eddy currents is less.

Thus, the pendulum plate with holes or slots reduces electromagnetic damping, and the plate swings more freely.

Therefore, the times taken to by the plate to come to rest will increase when a slot is cut in the plate.

JEE Main Part Test - 5 - Question 11

During the magnetic braking of trains if the north and the south poles are replaced with each other, then the velocity of the train will:

Detailed Solution for JEE Main Part Test - 5 - Question 11
  • Strong electromagnets are situated above the rails in some electrically powered trains.
  • When the electromagnets are activated, the eddy currents induced in the rails oppose the motion of the train.
  • When a changing magnetic flux is applied to a bulk piece of conducting material then circulating currents called eddy currents are induced in the material.
  • So, by the above explanation, we can understand that the generation of eddy current depends on the magnetic field but it is independent of the direction of the magnetic field.
  • Therefore, the eddy current will also generate when the north and the south poles are replaced with each other and that eddy currents induced in the rails oppose the motion of the train. So, the velocity of the train will decrease.
JEE Main Part Test - 5 - Question 12

A coil of wire of radius R has 200 turns and self – inductance of 108 mH. The self – inductance of a similar coil of 500 turns will be:

Detailed Solution for JEE Main Part Test - 5 - Question 12

Given: Self-inductance of first coil (L1) = 108 mH, Radius of both coils are same i.e., r1 = r2 = r, Number of turns of the first coil (N1) = 200, and Number of turns of the second coil (N2) = 500
The self-inductance for the first coil is:

The Self-induction for the second coil is:

On dividing equation (1) and (2), we get:

JEE Main Part Test - 5 - Question 13

The value of alternating emf E in the given circuit will be:

Detailed Solution for JEE Main Part Test - 5 - Question 13

Given:
Voltage across the Resistor R (VR) = 80 V
Voltage across the Inductor L (VL) = 40 V
Voltage across the Capacitor C (VC) = 100 V
For a series LCR circuit, the total potential difference of the circuit is given by:

Putting all the above values in the equation,

JEE Main Part Test - 5 - Question 14

In the second experiment of Faraday and Henry, the primary coil is connected to the galvanometer and the secondary coil is connected to a battery. If the primary coil is rotated about its axis, then:

Detailed Solution for JEE Main Part Test - 5 - Question 14

According to the second experiment of Faraday and Henry, we can say that when a current-carrying coil is moved towards or away from another coil then an emf gets induced in the coil.

If the circuit is closed in which the coil is connected then a current will also get induced in the coil. The relative motion between the two coils is required to induce a current in the coil.

In the given case when the primary coil is rotated about its axis there will be no relative motion between the primary and the secondary coil.

Since, there is no relative motion between the primary and the secondary coil so no current will induce in the primary coil.

JEE Main Part Test - 5 - Question 15

When the north pole of a magnet is moved towards a coil that is connected to a circuit, consider the following statement:

a. North pole will be formed on the magnet side of the coil.
b. South pole will be formed on the magnet side of the coil.
c. Direction of Induced current will be clockwise when the coil is seen from the magnet side.
d. Direction of Induced current will be anti-clockwise when the coil is seen from the magnet side.

Detailed Solution for JEE Main Part Test - 5 - Question 15
  • The Lenz law states that the induced emf in a coil due to a changing magnetic flux is such that the magnetic field created by the induced emf opposes the change in a magnetic field.
  • When the north pole of a magnet is moved towards a coil that is connected to a circuit, the distance between the magnet and the coil will reduce, and magnetic flux associated with the coil is increased.
  • Due to this change in magnetic flux, an emf will induce in the coil and the direction of the induced emf will be such that it tries to stop the change of magnetic flux.
  • Therefore, the direction of current will be such that it stops the motion of the magnet and it is only possible when the north pole is formed on the magnet side of the coil so that the coil can repel the magnet.
  • We know that if the current in the coil is clockwise, the face of the coil towards the observer behaves as the south pole and if the current in the coil is anti-clockwise, the face of the coil towards the observer behaves as the north pole.
  • So, for the formation of the north pole on the magnet side, the current in the coil will be anti-clockwise when the coil is seen from the magnet side.
JEE Main Part Test - 5 - Question 16

Two long solenoids Sand S2 have equal lengths and the solenoid S1 is placed co-axially inside the solenoid S2. If the current in both the solenoids is doubled, then the mutual inductance of both the solenoids will become:

Detailed Solution for JEE Main Part Test - 5 - Question 16

We know that if there are two solenoids of equal length and one solenoid is placed coaxially inside the other solenoid then the mutual inductance of solenoid 1 with respect to solenoid 2 will be equal to the mutual inductance of solenoid 2 with respect to solenoid 1.
The mutual inductance of both the solenoids is given as,

Where, n1 = number of turns per unit length of solenoid 1, n2 = number of turns per unit length of solenoid 2, r1 = radius of the inner solenoid, and l = length of both the solenoids
By equation (1) it is clear that the mutual inductance of both the solenoids does not depend on the current in the solenoids.
Therefore, when the current in both the solenoids is doubled, the mutual inductance of both the solenoids S1 and S2 will remain unchanged. 

JEE Main Part Test - 5 - Question 17

An ideal transformer has 500 and the 1000 turns in the primary and the secondary coil. If the DC voltage of 120 V is applied to the primary coil, then the emf produced at the secondary coil will be:

Detailed Solution for JEE Main Part Test - 5 - Question 17

Given: DC voltage EP = 120 V (Primary coil)

  • The transformer works on the principle of mutual inductance.
  • To induce emf in the secondary coil of the transformer, the magnetic flux associated with the secondary coil must change with respect to time.
  • When the DC voltage is applied at the primary coil of the transformer, the magnetic flux associated with the coil will remain constant with respect to time. So the emf will not induce at the secondary coil.
  • Therefore, when the DC voltage is applied at the primary coil, the induced emf in the secondary coil will be zero.
JEE Main Part Test - 5 - Question 18

A magnet NS is suspended from a spring and while it oscillates, the magnet moves in and out of the coil. The coil is connected to a galvanometer G. Then, as the magnet oscillates,

Detailed Solution for JEE Main Part Test - 5 - Question 18
  • When the magnet oscillates in and out of the spring, it induces an EMF, the direction in which EMF is getting induced will be different.
  • Due to the induced EMF, a current will be set up in the coil which will deflect the pointer in the galvanometer in the opposite directions, as the magnet oscillates in and out of the spring an eddy current is set up in it decreases the amplitude of oscillation.
  • In short, the EMF will be induced in opposite directions, i.e., Left and Right, as the magnet oscillates in and out of the spring also the eddy current will reduce the amplitude of oscillation as the time goes on (Damping).
JEE Main Part Test - 5 - Question 19

Which of the following electromagnetic waves have the longest wavelength?

Detailed Solution for JEE Main Part Test - 5 - Question 19
  • Radiowaves electromagnetic waves have the longest wavelength.
  • An electromagnetic wave is a wave radiated by an accelerated or oscillatory charge in which a varying magnetic field is the source of electric field and varying electric field is the source of magnetic field. In simple words we can say that the electromagnetic waves are composed of oscillating magnetic fields and electric fields. The abbreviation for electromagnetic waves is EM waves.
  • Charged particles—such as electrons and protons—create electromagnetic fields when they move, and these fields transport the type of energy we call electromagnetic radiation, or light.
  • There are basically seven types of electromagnetic waves which are a part of the electromagnetic spectrum. These are radio waves, microwaves, infrared waves, X-rays, gamma rays, ultraviolet waves and visible rays.
  • In all these seven electromagnetic waves, radio waves have the longest wavelength and the shortest frequency whereas gamma rays have the shortest wavelength and the shortest frequency.
  • So, the final answer is that the radio waves have the longest wavelength among all the electromagnetic waves.
JEE Main Part Test - 5 - Question 20

Maxwell’s displacement current is a response to

Detailed Solution for JEE Main Part Test - 5 - Question 20

Maxwell’s displacement current is a response to the inconsistency in Ampere’s law.

Maxwell showed that Ampere's circuital law is logically inconsistent. He considered a parallel plate capacitor being charged by a battery. He showed inconsistency of the law in the regions outside the plates of the capacitor and just between the plates. To resolve this inconsistency displacement current was introduced by Maxwell.

*Answer can only contain numeric values
JEE Main Part Test - 5 - Question 21

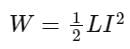
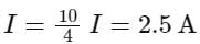
A coil has an inductance of 2H and resistance of 4Ω. A 10V is applied across the coil. The energy stored in the magnetic field after the current has built up to its equilibrium value will be ___________ × 10−2 J.


Detailed Solution for JEE Main Part Test - 5 - Question 21

To find the energy stored in the magnetic field after the current has built up to its equilibrium value, we first need to find the steady-state current in the coil.

When the current reaches its equilibrium value, the coil behaves like a resistor because the back-emf induced by the changing magnetic field is zero. Ohm's law can be applied:

I = V/R

where
I is the current
V is the voltage across the coil (10 V)
R is the resistance of the coil (4 Ω)

Plugging in the values:

Now that we have the steady-state current, we can find the energy stored in the magnetic field using the formula:

where
W is the energy stored in the magnetic field
L is the inductance of the coil (2 H)
I is the steady-state current (2.5 A)

Plugging in the values:

To express this in terms of 10−2 J, divide by 10−2:
6.25 ÷ 10−2 = 625 
Therefore, the energy stored in the magnetic field after the current has built up to its equilibrium value is 625 × 10−2 J.

*Answer can only contain numeric values
JEE Main Part Test - 5 - Question 22

A point source of light is placed at the centre of curvature of a hemispherical surface. The source emits a power of 24 W. The radius of curvature of hemisphere is 10 cm and the inner surface is completely reflecting. The force on the hemisphere due to the light falling on it is ____________ × 10−8 N.


Detailed Solution for JEE Main Part Test - 5 - Question 22

A point source at the center of curvature of a hemispherical surface (radius R = 0.1 m) emits power P = 24 W. The inner surface is perfectly reflecting. We need to calculate the force on the hemisphere due to light.

For a perfectly reflecting surface, the force due to radiation pressure is:

F = 2P / c

where P is the power incident on the surface, and c = 3 × 10⁸ m/s is the speed of light. Since the source is at the center of curvature, the light is emitted isotropically, and the hemisphere subtends half the solid angle (2π steradians).

The power incident on the hemisphere is:

Pₕₑₘᵢ = P / 2 = 24 / 2 = 12 W

The force on the reflecting hemisphere is:

F = 2Pₕₑₘᵢ / c = 2 × 12 / (3 × 10⁸) = 24 / (3 × 10⁸) = 8 × 10⁻⁸ N

Expressed as F = x × 10⁻⁸ N, we have:

x = 8

*Answer can only contain numeric values
JEE Main Part Test - 5 - Question 23

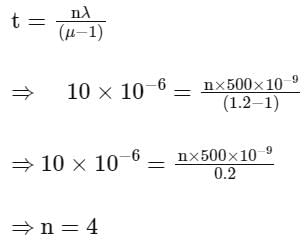
As shown in the figure, in Young's double slit experiment, a thin plate of thickness t = 10μm and refractive index μ = 1.2  is inserted infront of slit S1. The experiment is conducted in air (μ = 1) and uses a monochromatic light of wavelength λ = 500 nm. Due to the insertion of the plate, central maxima is shifted by a distance of x β0. β0 is the fringe-width befor the insertion of the plate. The value of the x is _____________.


Detailed Solution for JEE Main Part Test - 5 - Question 23

Given t = 10 × 10-6 m
μ = 1.2
λ = 500 × 10-9 m
When the glass slab inserted infront of one slit then the shift of central fringe is obtained by

*Answer can only contain numeric values
JEE Main Part Test - 5 - Question 24

A conducting circular loop is placed in a uniform magnetic field of 0.4 T with its plane perpendicular to the field. Somehow, the radius of the loop starts expanding at a constant rate of 1 mm / s . The magnitude of induced emf in the loop at an instant when the radius of the loop is 2 cm will be ___________ μV.


Detailed Solution for JEE Main Part Test - 5 - Question 24

The problem involves a conducting circular loop placed in a uniform magnetic field with its plane perpendicular to the field.

The radius of the loop is expanding at a constant rate, and we are asked to find the magnitude of the induced emf in the loop at an instant when the radius of the loop is 2 cm.

The magnetic flux through a circular loop of radius r and area A = πr2 placed in a uniform magnetic field B perpendicular to the plane of the loop is given by:


The induced emf in the loop is given by Faraday's law of electromagnetic induction:

In this case, the radius of the loop is expanding at a constant rate of 10−3 m / s , which means that the rate of change of the area of the loop is:

The magnetic flux through the loop is changing at this rate, and the induced emf in the loop is given by:

Therefore, the magnitude of the induced emf in the loop at an instant when the radius of the loop is 2 cm is 50.24 ≃ 50 μV.

JEE Main Part Test - 5 - Question 25

The correct IUPAC name of [Fe(C5H5)2] is

Detailed Solution for JEE Main Part Test - 5 - Question 25

The correct answer is option B.

The I.U.P.A.C. name for Fe(C5H5)2 is bis(η5 -cyclopentadienyl) iron(II) 
The oxidation state of iron is +2 and is written in parenthesis in roman numerals. Two cyclopentadienyl ligands are coordinated to Fe. The prefix bis indicates 2. η5 indicates that the cyclopentadienyl ligands are penta coordinates.

JEE Main Part Test - 5 - Question 26

Type of isomerism exhibited by [Cr(NCS)(NH3)5] [ZnCl4] :

Detailed Solution for JEE Main Part Test - 5 - Question 26


Since both cation & anion constitute coordination sphere so it exhibit coordination isomerism and contains ambident ligand so, it shows linkage isomerism

JEE Main Part Test - 5 - Question 27

A complex compound in which the oxidation number of a metal is zero is

Detailed Solution for JEE Main Part Test - 5 - Question 27

A complex compound in which the oxidation number of metal is zero is [Ni(CO)4​]. In this complex, the oxidation number of both metal and ligand is zero.

The oxidation number of metal in the complexes K4​[Fe(CN)6​], K3​[Fe(CN)6​] and [Pt(NH3)4]Clare +2, +3 and +2 respectively.

JEE Main Part Test - 5 - Question 28

Trioxalato aluminate (III) and tetrafluorido-borate (III) ions are respectively :

Detailed Solution for JEE Main Part Test - 5 - Question 28

O. N. of Al = +3
O. N. of B = + 3
[BF4]-
[Al(C2O3)3]3-

JEE Main Part Test - 5 - Question 29

Which of the ligand can show linkage isomerism and acts as flexidentate ligand:

Detailed Solution for JEE Main Part Test - 5 - Question 29

The correct answer is B: CNS⁻.

Explanation:

  • Linkage isomerism occurs when a ligand can coordinate to the central metal ion through two different atoms, leading to different isomers.

  • Flexidentate ligands are ligands that can form multiple bonds to the metal centre via different donor atoms.

CNS⁻ (Thiocyanate) is an example of a ligand that can exhibit linkage isomerism. The thiocyanate ion (CNS⁻) can bind to the metal through the nitrogen atom (N) or the sulfur atom (S), leading to two different isomers:

  1. N-bonded thiocyanate (also called isothiocyanate),

  2. S-bonded thiocyanate.

This makes CNS⁻ a flexidentate ligand, as it can coordinate through two different donor atoms (N or S), showing linkage isomerism.

Thus, the correct answer is B: CNS⁻.

JEE Main Part Test - 5 - Question 30

Consider the following statements, "According the Werner's theory. :

(1) Ligands are connected to the metal ions by covalent bonds.

(2) Secondary valencies have directional properties.

(3) Secondary valencies are non-ionisable.

(4) Secondary valencies are satisfied by either neutral or negative legands.

Of these statements.

Detailed Solution for JEE Main Part Test - 5 - Question 30

Werner’s coordination theory describes primary and secondary valencies in coordination compounds:

  • Ligands are connected to the metal ions by covalent bonds: Incorrect. Werner proposed that ligands are bound by coordinate (dative) bonds, not covalent bonds (Statement 1 is false).

  • Secondary valencies have directional properties: Correct. Secondary valencies (coordination number) determine the geometry of the complex (e.g., octahedral, tetrahedral), which is directional (Statement 2 is true).

  • Secondary valencies are non-ionizable: Correct. Secondary valencies involve ligands bound to the metal within the coordination sphere, which do not ionize in solution (Statement 3 is true).

  • Secondary valencies are satisfied by either neutral or negative ligands: Correct. Secondary valencies are satisfied by ligands like NH₃ (neutral) or Cl⁻ (negative) (Statement 4 is true).

Thus, statements 2, 3, and 4 are correct.

Answer: A

View more questions
Information about JEE Main Part Test - 5 Page
In this test you can find the Exam questions for JEE Main Part Test - 5 solved & explained in the simplest way possible. Besides giving Questions and answers for JEE Main Part Test - 5, EduRev gives you an ample number of Online tests for practice
Download as PDF