NEET Exam  >  NEET Test  >  Physics Class 11  >  Test: Dimensional Formulae & Dimensional Equations (NCERT) - NEET MCQ

Test: Dimensional Formulae & Dimensional Equations (NCERT) - NEET MCQ


Test Description

5 Questions MCQ Test Physics Class 11 - Test: Dimensional Formulae & Dimensional Equations (NCERT)

Test: Dimensional Formulae & Dimensional Equations (NCERT) for NEET 2026 is part of Physics Class 11 preparation. The Test: Dimensional Formulae & Dimensional Equations (NCERT) questions and answers have been prepared according to the NEET exam syllabus.The Test: Dimensional Formulae & Dimensional Equations (NCERT) MCQs are made for NEET 2026 Exam. Find important definitions, questions, notes, meanings, examples, exercises, MCQs and online tests for Test: Dimensional Formulae & Dimensional Equations (NCERT) below.
Solutions of Test: Dimensional Formulae & Dimensional Equations (NCERT) questions in English are available as part of our Physics Class 11 for NEET & Test: Dimensional Formulae & Dimensional Equations (NCERT) solutions in Hindi for Physics Class 11 course. Download more important topics, notes, lectures and mock test series for NEET Exam by signing up for free. Attempt Test: Dimensional Formulae & Dimensional Equations (NCERT) | 5 questions in 5 minutes | Mock test for NEET preparation | Free important questions MCQ to study Physics Class 11 for NEET Exam | Download free PDF with solutions
Test: Dimensional Formulae & Dimensional Equations (NCERT) - Question 1

In a certain system, there are only two fundamental quantities - force and time. If their dimensions are [F] and [T] respectively, what are the dimensions of linear momentum in this system?

Detailed Solution for Test: Dimensional Formulae & Dimensional Equations (NCERT) - Question 1

Test: Dimensional Formulae & Dimensional Equations (NCERT) - Question 2

If E, m, l and G denote energy, mass, angular momentum and gravitational constant respectively, the quantity  has the dimensions of

Detailed Solution for Test: Dimensional Formulae & Dimensional Equations (NCERT) - Question 2

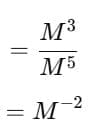
Simplifying the numerator and denominator:

Now, cancel the common terms (L6T−4):

So, option (a) is the correct answer.

Test: Dimensional Formulae & Dimensional Equations (NCERT) - Question 3

If power (P), surface tension (S) and Planck’s constant (h) are arranged so that the dimensions of time in their dimensional formulae are in ascending order, then which of the following is correct?

Detailed Solution for Test: Dimensional Formulae & Dimensional Equations (NCERT) - Question 3



The ascending order of dimensions of time in their dimensional formulae is P, S, h.

Test: Dimensional Formulae & Dimensional Equations (NCERT) - Question 4

The dimensions of Planck’s constant are the same as that of

Detailed Solution for Test: Dimensional Formulae & Dimensional Equations (NCERT) - Question 4

Energy of a photon, E = hυ
where h is the Planck's constant and υ is the frequency.

Angular momentum = Moment of inertia x Angular velocity (Angular momentum) 
= [ML2][T−1] = [ML2T−1]

Test: Dimensional Formulae & Dimensional Equations (NCERT) - Question 5

Match the Column I with Column II.

Detailed Solution for Test: Dimensional Formulae & Dimensional Equations (NCERT) - Question 5

(A) Pa s = [ML−1 T−2][T] = [ML−1T−1]
A - r

97 videos|376 docs|102 tests
Information about Test: Dimensional Formulae & Dimensional Equations (NCERT) Page
In this test you can find the Exam questions for Test: Dimensional Formulae & Dimensional Equations (NCERT) solved & explained in the simplest way possible. Besides giving Questions and answers for Test: Dimensional Formulae & Dimensional Equations (NCERT), EduRev gives you an ample number of Online tests for practice
97 videos|376 docs|102 tests
Download as PDF