A cow runs 20 metres towards East and turns right, runs 10 metres and turns right, runs 9 metres and again turns left, runs 5 metres and then turns left, runs 12 metres and finally turns left and runs 6 metres. Now which direction is the cow facing?
If it is possible to make only one meaningful English word with the 6th, 7th, 8th, and 9th letters of the word APPRECIATE, which of the following will be the first letter of that word? If no such word can be made give ‘X’ as the answer and if more than one such word can be made give ‘Y’ as the answer.
In each of the questions given below, a group of digits/letter is given followed by four combinations of symbols numbered(a), (b), (c) and (d). You have to find out which of the four combinations correctly represents the group of digits/letters based on the symbol codes and the conditions given below. If none of the four combinations represents the group of digits correctly, give (e) i.e. 'Other than those given as options' as the answer.
Condition for coding the group elements:
(i) If the first letter is Vowel and the last digit is divisible by 2, then both are to be coded as +.
(ii) If the first as well as the last digit is odd, then both are to be coded by the code of the first digit.
(iii) If the first letter is a consonant and the last digit is odd number, then the code of first and last elements are to be interchanged.
WX6ZF1
In each of the questions given below, a group of digits/letter is given followed by four combinations of symbols numbered(a), (b), (c) and (d). You have to find out which of the four combinations correctly represents the group of digits/letters based on the symbol codes and the conditions given below. If none of the four combinations represents the group of digits correctly, give (e) i.e. 'Other than those given as options' as the answer.
Condition for coding the group elements:
(i) If the first letter is Vowel and the last digit is divisible by 2, then both are to be coded as +.
(ii) If the first as well as the last digit is odd, then both are to be coded by the code of the first digit.
(iii) If the first letter is a consonant and the last digit is odd number, then the code of first and last elements are to be interchanged.
FE1XI6
In each of the questions given below, a group of digits/letter is given followed by four combinations of symbols numbered(a), (b), (c) and (d). You have to find out which of the four combinations correctly represents the group of digits/letters based on the symbol codes and the conditions given below. If none of the four combinations represents the group of digits correctly, give (e) i.e. 'Other than those given as options' as the answer.
Condition for coding the group elements:
(i) If the first letter is Vowel and the last digit is divisible by 2, then both are to be coded as +.
(ii) If the first as well as the last digit is odd, then both are to be coded by the code of the first digit.
(iii) If the first letter is a consonant and the last digit is odd number, then the code of first and last elements are to be interchanged.
5L2IA1
In each of the questions given below, a group of digits/letter is given followed by four combinations of symbols numbered(a), (b), (c) and (d). You have to find out which of the four combinations correctly represents the group of digits/letters based on the symbol codes and the conditions given below. If none of the four combinations represents the group of digits correctly, give (e) i.e. 'Other than those given as options' as the answer.
Condition for coding the group elements:
(i) If the first letter is Vowel and the last digit is divisible by 2, then both are to be coded as +.
(ii) If the first as well as the last digit is odd, then both are to be coded by the code of the first digit.
(iii) If the first letter is a consonant and the last digit is odd number, then the code of first and last elements are to be interchanged.
E2ZA6
In each of the questions given below, a group of digits/letter is given followed by four combinations of symbols numbered(a), (b), (c) and (d). You have to find out which of the four combinations correctly represents the group of digits/letters based on the symbol codes and the conditions given below. If none of the four combinations represents the group of digits correctly, give (e) i.e. 'Other than those given as options' as the answer.
Condition for coding the group elements:
(i) If the first letter is Vowel and the last digit is divisible by 2, then both are to be coded as +.
(ii) If the first as well as the last digit is odd, then both are to be coded by the code of the first digit.
(iii) If the first letter is a consonant and the last digit is odd number, then the code of first and last elements are to be interchanged.
IZ2W2
In each of the questions below are given three statements, followed by two conclusions I and II. You have to take the given statements to be true even if they seem to be at variance with commonly known facts. Read the conclusions and then decide which of the given conclusions logically follows from the given statements disregarding commonly known facts.
Statements:
Only a few pens are books.
All books are sharpeners.
Some sharpeners are rubber.
Conclusions:
I. Some books are rubber.
II. Some sharpeners are pens.
In each of the questions below are given three statements, followed by two conclusions I and II. You have to take the given statements to be true even if they seem to be at variance with commonly known facts. Read the conclusions and then decide which of the given conclusions logically follows from the given statements disregarding commonly known facts.
Statements:
Only bags are boxes.
No bags are trucks.
All trucks are floor.
Conclusions:
I. Some bags are floor.
II. No boxes are floor.
In each of the questions below are given three statements, followed by two conclusions I and II. You have to take the given statements to be true even if they seem to be at variance with commonly known facts. Read the conclusions and then decide which of the given conclusions logically follows from the given statements disregarding commonly known facts.
Statements:
Few beds are bedsheets.
All bedsheets are stool.
No stool is cooler.
Conclusions:
I. Some beds are stool.
II. Some bedsheets are cooler.
In each of the questions below are given three statements, followed by two conclusions I and II. You have to take the given statements to be true even if they seem to be at variance with commonly known facts. Read the conclusions and then decide which of the given conclusions logically follows from the given statements disregarding commonly known facts.
Statements:
Some doors are windows.
Some windows are tablets.
Some tablets are stoves
Conclusions:
I. Some doors are stoves
II. Some windows are doors.
In each of the questions below are given three statements, followed by two conclusions I and II. You have to take the given statements to be true even if they seem to be at variance with commonly known facts. Read the conclusions and then decide which of the given conclusions logically follows from the given statements disregarding commonly known facts.
Statements:
All switches are bulbs.
Some bulbs are fans.
No fans are light.
Conclusions:
I. Some bulbs are light.
II. Some switches are bulbs.
Study the following information carefully and answer the given questions.
Five friends, P, Q, R, S and T travelled separately to five different cities namely Chennai, Kolkata, Delhi, Hyderabad and Mangalore by different mode of transportation, i.e., by bus, train, aeroplane, car and boat from Goa.
The person who travelled to Delhi did not travel by boat. R travelled to Mangalore by car and S travelled by boat. Q travelled to Kolkata by aeroplane and T travelled by train. Goa is not connected by bus to Delhi and Chennai.
S travelled to _____ by _____.
Study the following information carefully and answer the given questions.
Five friends, P, Q, R, S and T travelled separately to five different cities namely Chennai, Kolkata, Delhi, Hyderabad and Mangalore by different mode of transportation, i.e., by bus, train, aeroplane, car and boat from Goa.
The person who travelled to Delhi did not travel by boat. R travelled to Mangalore by car and S travelled by boat. Q travelled to Kolkata by aeroplane and T travelled by train. Goa is not connected by bus to Delhi and Chennai.
Q. Who amongst the following travelled to Delhi?
Study the following information carefully and answer the given questions.
Five friends, P, Q, R, S and T travelled separately to five different cities namely Chennai, Kolkata, Delhi, Hyderabad and Mangalore by different mode of transportation, i.e., by bus, train, aeroplane, car and boat from Goa.
The person who travelled to Delhi did not travel by boat. R travelled to Mangalore by car and S travelled by boat. Q travelled to Kolkata by aeroplane and T travelled by train. Goa is not connected by bus to Delhi and Chennai.
Q. Q is related to Kolkata in the same way S is:
Study the following information carefully and answer the given questions.
Five friends, P, Q, R, S and T travelled separately to five different cities namely Chennai, Kolkata, Delhi, Hyderabad and Mangalore by different mode of transportation, i.e., by bus, train, aeroplane, car and boat from Goa.
The person who travelled to Delhi did not travel by boat. R travelled to Mangalore by car and S travelled by boat. Q travelled to Kolkata by aeroplane and T travelled by train. Goa is not connected by bus to Delhi and Chennai.
Q. Which of the following combination of place and transport is correct?
Study the following information carefully and answer the given questions.
Five friends, P, Q, R, S and T travelled separately to five different cities namely Chennai, Kolkata, Delhi, Hyderabad and Mangalore by different mode of transportation, i.e., by bus, train, aeroplane, car and boat from Goa.
The person who travelled to Delhi did not travel by boat. R travelled to Mangalore by car and S travelled by boat. Q travelled to Kolkata by aeroplane and T travelled by train. Goa is not connected by bus to Delhi and Chennai.
Q. Which of the following combination is true for P?
Study the following information and answer the given questions.
Seven persons Priya, Lila, Riya, Miraj, Om, Nirav and Kiran were born on same date of different years among 1975, 1980, 1981, 1987, 1992, 2000 and 2001 but not necessarily in same order. Two persons were born between Om and Miraj. Om was born after 1987. Kiran was born just before Miraj. Lila was born five years before Priya. Nirav was born after Riya but not in 2001. Neither Lila nor Priya was born in 1987.
Q. Who was born in 1987?
Study the following information and answer the given questions.
Seven persons Priya, Lila, Riya, Miraj, Om, Nirav and Kiran were born on same date of different years among 1975, 1980, 1981, 1987, 1992, 2000 and 2001 but not necessarily in same order. Two persons were born between Om and Miraj. Om was born after 1987. Kiran was born just before Miraj. Lila was born five years before Priya. Nirav was born after Riya but not in 2001. Neither Lila nor Priya was born in 1987.
Q. How many persons were born after Priya?
Study the following information and answer the given questions.
Seven persons Priya, Lila, Riya, Miraj, Om, Nirav and Kiran were born on same date of different years among 1975, 1980, 1981, 1987, 1992, 2000 and 2001 but not necessarily in sa me order. Two persons were born between Om and Miraj. Om was born after 1987. Kiran was born just before Miraj. Lila was born five years before Priya. Nirav was born after Riya but not in 2001. Neither Lila nor Priya was born in 1987.
Q. How old is Lila now, considering 2020 as current year?
Study the following information and answer the given questions.
Seven persons Priya, Lila, Riya, Miraj, Om, Nirav and Kiran were born on same date of different years among 1975, 1980, 1981, 1987, 1992, 2000 and 2001 but not necessarily in same order. Two persons were born between Om and Miraj. Om was born after 1987. Kiran was born just before Miraj. Lila was born five years before Priya. Nirav was born after Riya but not in 2001. Neither Lila nor Priya was born in 1987.
Q. What is the age different between Riya and Om?
Study the following information and answer the given questions.
Seven persons Priya, Lila, Riya, Miraj, Om, Nirav and Kiran were born on same date of different years among 1975, 1980, 1981, 1987, 1992, 2000 and 2001 but not necessarily in same order. Two persons were born between Om and Miraj. Om was born after 1987. Kiran was born just before Miraj. Lila was born five years before Priya. Nirav was born after Riya but not in 2001. Neither Lila nor Priya was born in 1987.
Q. ___ was born after ___.
In each question below are four statements followed by two conclusions I and Il. You have to take the given statements to be true even if they seem to be at variance from commonly known facts and then decide which of the given conclusions logically follows from the two/three statements disregarding commonly known facts. Give your answer.
(1) If only conclusion I follows.
(2) If only conclusion II follows.
(3) If either conclusion I or II follows.
(4) If neither conclusion I nor II follows.
(5) If both conclusions I and II follow.
Statements:
Some schools are colleges.
Some colleges are universities.
All universities are institutes.
All institutes are classes.
Conclusions:
I. At least some colleges are classes.
II. All universities are classes.
In each question below are four statements followed by two conclusions I and Il. You have to take the given statements to be true even if they seem to be at variance from commonly known facts and then decide which of the given conclusions logically follows from the two/three statements disregarding commonly known facts. Give your answer.
(1) If only conclusion I follows.
(2) If only conclusion II follows.
(3) If either conclusion I or II follows.
(4) If neither conclusion I nor II follows.
(5) If both conclusions I and II follow.
Statements:
Some umbrellas are raincoats.
All raincoats are shirts.
No shirt is blazer.
Some blazers are suits.
Conclusions:
I. Some shirts are definitely not umbrellas.
II. Some suits are raincoats.
In each question below are four statements followed by two conclusions I and Il. You have to take the given statements to be true even if they seem to be at variance from commonly known facts and then decide which of the given conclusions logically follows from the two/three statements disregarding commonly known facts. Give your answer.
(1) If only conclusion I follows.
(2) If only conclusion II follows.
(3) If either conclusion I or II follows.
(4) If neither conclusion I nor II follows.
(5) If both conclusions I and II follow.
Statements:
Some computers are boards.
Some boards are chalks.
All chalks are bulbs.
No bulb is tube-light.
Conclusions:
I. At least some bulbs are computers.
II. No chalk is a tube-light.
In each question below are four statements followed by two conclusions I and Il. You have to take the given statements to be true even if they seem to be at variance from commonly known facts and then decide which of the given conclusions logically follows from the two/three statements disregarding commonly known facts. Give your answer.
(1) If only conclusion I follows.
(2) If only conclusion II follows.
(3) If either conclusion I or II follows.
(4) If neither conclusion I nor II follows.
(5) If both conclusions I and II follow.
Statements:
All doors are floors.
Some floors are tiles.
All tiles are paints.
Some paints are stones.
Conclusions:
I. At least floors are paints.
II. All doors being tiles is a possibility.
In each question below are four statements followed by two conclusions I and Il. You have to take the given statements to be true even if they seem to be at variance from commonly known facts and then decide which of the given conclusions logically follows from the two/three statements disregarding commonly known facts. Give your answer.
(1) If only conclusion I follows.
(2) If only conclusion II follows.
(3) If either conclusion I or II follows.
(4) If neither conclusion I nor II follows.
(5) If both conclusions I and II follow.
Statements:
Some leaves are petals.
Some petals are flowers.
All flowers are fruits.
Some fruits are nuts.
Conclusions:
I. At least some nuts are flowers.
II. No nut is flower.
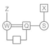
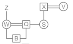
Study the following information carefully and answer the questions that follow.
There are seven members in a family B, W, Q, S, Z, X and V. There are two married couples in this family. Q is the son-in-law of Z. S is the sister-in-law of W, who is the only child of Z. X is the father-in-law of W, who has only one male child. B is the nephew of S and V is the paternal
grandmother of B.
Q. Who is the wife of X?
Study the following information carefully and answer the given questions.
E, F, G, H, I, J, K and L are sitting around a circular table facing the centre but not necessarily in the same order. Only three people sit between K and L. Only two people sit between L and H. Only three people sit between H and G. J sits second to the right of H. I is one of the immediate neighbours of H. F is neither an immediate neighbour of K nor G.
Q. If all the persons are made to sit in alphabetical order in clockwise direction, starting from E, the positions of how many, excluding E, would remain unchanged?
Study the following information carefully and answer the given questions.
E, F, G, H, I, J, K and L are sitting around a circular table facing the centre but not necessarily in the same order. Only three people sit between K and L. Only two people sit between L and H. Only three people sit between H and G. J sits second to the right of H. I is one of the immediate neighbours of H. F is neither an immediate neighbour of K nor G.
Q. Four of the following five are alike in a certain way based on their positions in the given arrangement and so form a group. Which is the one that does not belong to the group?