Banking Exams Exam  >  Banking Exams Tests  >  Syndicate Bank PO Mock Test - 7 - Banking Exams MCQ

Syndicate Bank PO Mock Test - 7 - Banking Exams MCQ


Test Description

30 Questions MCQ Test - Syndicate Bank PO Mock Test - 7

Syndicate Bank PO Mock Test - 7 for Banking Exams 2025 is part of Banking Exams preparation. The Syndicate Bank PO Mock Test - 7 questions and answers have been prepared according to the Banking Exams exam syllabus.The Syndicate Bank PO Mock Test - 7 MCQs are made for Banking Exams 2025 Exam. Find important definitions, questions, notes, meanings, examples, exercises, MCQs and online tests for Syndicate Bank PO Mock Test - 7 below.
Solutions of Syndicate Bank PO Mock Test - 7 questions in English are available as part of our course for Banking Exams & Syndicate Bank PO Mock Test - 7 solutions in Hindi for Banking Exams course. Download more important topics, notes, lectures and mock test series for Banking Exams Exam by signing up for free. Attempt Syndicate Bank PO Mock Test - 7 | 200 questions in 120 minutes | Mock test for Banking Exams preparation | Free important questions MCQ to study for Banking Exams Exam | Download free PDF with solutions
Syndicate Bank PO Mock Test - 7 - Question 1

Statements: Some pens are books. Some books are pencils.

Conclusions:

  1. Some pens are pencils.
  2. Some pencils are pens.
  3. All pencils are pens.
  4. All books are pens.

Detailed Solution for Syndicate Bank PO Mock Test - 7 - Question 1

So Option E is correct

Syndicate Bank PO Mock Test - 7 - Question 2

Statements: All the books are pencils. No pencil is eraser.

Conclusions:

  1. All the pencils are books.
  2. Some erasers are books.
  3. No book is eraser.
  4. Some books are erasers.

Detailed Solution for Syndicate Bank PO Mock Test - 7 - Question 2

So Option A is correct

Syndicate Bank PO Mock Test - 7 - Question 3

Statements: All the research scholars are psychologists. Some psychologists are scientists.

Conclusions:

  1. All the research scholars are scientists.
  2. Some research scholars are scientists.
  3. Some scientists are psychologists.
  4. Some psychologists are research scholars.

Detailed Solution for Syndicate Bank PO Mock Test - 7 - Question 3

So Option A is correct

Syndicate Bank PO Mock Test - 7 - Question 4

Which one will replace the question mark ?

Detailed Solution for Syndicate Bank PO Mock Test - 7 - Question 4

(15 x 2 - 3) = 27,

(31 x 2 - 6) = 56

and (45 x 2 - 9) = 81

Syndicate Bank PO Mock Test - 7 - Question 5

Directions: In this question below is given a statement followed by two assumptions numbered I and II. Consider the statement and decide which of the given assumptions is implicit. 
Statement:
‘Smoking is injurious to health’ – A statutory warning printed on a cigarette box.
Assumptions: 
I. The warning will have a negative effect on the smoking habits of the people buying the product.
II. People will not pay heed to such notices.

Detailed Solution for Syndicate Bank PO Mock Test - 7 - Question 5

When such a warning is printed on a cigarette box (though only to abide by the law!) the assumption is clearly that it will have a negative effect on smoking habits of the people. Thus, it is a valid assumption. II cannot be an assumption as then such a notice would not have been printed on the cigarette boxes, and even the Government would not have asked the cigarette companies to do so.

Syndicate Bank PO Mock Test - 7 - Question 6

Directions: In this question below is given a statement followed by two assumptions numbered I and II. Consider the statement and decide which of the given assumptions is implicit. 
Statement:
‘I do not think the use or misuse of expensive gadgets, modern technology and the likes defines our generation. On the other hand, we are also intellectually superior than our previous generations as we’re more receptive to change, we like experimenting and the gadgets and technology are just the culmination of such traits.’– Mr Prakash during a debate on ‘Whether we control technology or the technology controls us’.
Assumptions: 
I. Being receptive to change and continuous experimentation leads to intellectual superiority.
II. The use of expensive gadgets leads to intellectual superiority.

Detailed Solution for Syndicate Bank PO Mock Test - 7 - Question 6

Mr Prakash is clearly connecting ‘being receptive to change’ and ‘being intellectually superior’ since he uses the words ‘as’ to connect these two traits (as we’re more receptive to change). Thus, it is a valid assumption. However, no connection or co-relation has been shown between use of gadgets and intellectual superiority. Thus, II is not an assumption in this statement.

Syndicate Bank PO Mock Test - 7 - Question 7

Directions: Study the following information carefully and answer the question given below.

In a certain code language:
'remix magic ball jack' is written as '8@X 8!C 7$L 7*K'.
'male rail bank jug' is written as '7!E 7@L 7$K 6*G'.
'jam back rat mail' is written' as '6*M 7$K 6@T 7!L'.
'jeep mad bad rain' is written as '7*P 6!D 6$D 7@N'.

Q. What does the code '8@O 8!C 8$T' represent?

Detailed Solution for Syndicate Bank PO Mock Test - 7 - Question 7

The code for each word consists of three elements.
First element is the number which is three more than the number of letters in the word.
Second element is a symbol assigned to the first letter of the word. Symbols are assigned as per the following table:

Third element is the last letter of the word.
'8@O' is the code for a 5-letter word starting with R and ending with O.
'8!C' is the code for a 5-letter word starting with M and ending with C.
'8$T' is the code for a 5-letter word starting with B and ending with T.

Syndicate Bank PO Mock Test - 7 - Question 8

Directions: Study the following information carefully and answer the question that follows.

'A + B' means A is father of B.
'A # B' means A is sister of B.
'A - B' means A is husband of B.
'A @ B' means A is brother of B.
'A = B' means A is mother of B.

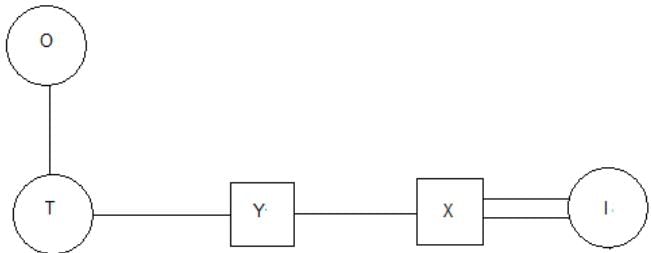
Q. If O = T # Y @ X - I, then which of the following is true?

Detailed Solution for Syndicate Bank PO Mock Test - 7 - Question 8

O = T # Y @ X - I, means O is the mother of T, who is the sister of Y, who is the brother of X, who is the husband of I.

According to this, O is the mother-in-law of I.

Syndicate Bank PO Mock Test - 7 - Question 9

Directions: Study the following information carefully and answer the given question.

When a word and number arrangement machine is given an input line of words and numbers, it arranges them following a particular rule. The following is an illustration of input and rearrangement.

Input: engineer 30 marble famous 41 52 seven 61 rough 36 89 jump
Step 1: engineer famous 30 marble 41 52 seven 61 rough 36 89 jump
Step 2: engineer famous 89 61 30 marble 41 52 seven rough 36 jump
Step 3: engineer famous 89 61 jump marble 30 41 52 seven rough 36
Step 4: engineer famous 89 61 jump marble 52 41 30 seven rough 36
Step 5: engineer famous 89 61 jump marble 52 41 rough seven 30 36
Step 6: engineer famous 89 61 jump marble 52 41 rough seven 36 30

Step 6 is the last step of the above input.

Now, as per the rules followed in the above steps, answer the given question based on the following input:
Input: bone 11 alluring 25 major 47 81 enough 49 simple 16 anxious

Q. In Step 6, if 'enough' and 'major', and '11' and '49' are interchanged, then how many elements will be placed between '49' and 'enough'?

Detailed Solution for Syndicate Bank PO Mock Test - 7 - Question 9

Input: bone 11 alluring 25 major 47 81 enough 49 simple 16 anxious
Step 1: alluring anxious bone 11 25 major 47 81 enough 49 simple 16
Step 2: alluring anxious 81 49 bone 11 25 major 47 enough simple 16
Step 3: alluring anxious 81 49 bone enough 11 25 major 47 simple 16
Step 4: alluring anxious 81 49 bone enough 47 25 11 major simple 16
Step 5: alluring anxious 81 49 bone enough 47 25 major simple 11 16
Step 6: alluring anxious 81 49 bone enough 47 25 major simple 16 11
Rule: In Step 1, two words are picked and arranged in alphabetical order and placed at the left corner and in Step 2, two numbers are picked and arranged in descending order, next to the words arranged in alphabetical order and so on.
After interchanging,
Step 6: alluring anxious 81 11 bone major 47 25 enough simple 16 49
There are two elements between 49 and enough.

Syndicate Bank PO Mock Test - 7 - Question 10

Directions: In the illustration below, an input is followed by the steps performed on it. Carefully observe the changes and find the pattern to answer the question.

Input: 50 75 183 135 57 234 230 whether you not are in here our

Step 1: you 230 50 75 183 135 57 234 whether not are in here our
Step 2: you 230 our 234 50 75 183 135 57 whether not are in here
Step 3: you 230 our 234 whether 135 50 75 183 57 not are in here
Step 4: you 230 our 234 whether 135 in 183 50 75 57 not are here
Step 5: you 230 our 234 whether 135 in 183 not 75 50 57 are here
Step 6: you 230 our 234 whether 135 in 183 not 75 are 57 50 here
Step 7: you 230 our 234 whether 135 in 183 not 75 are 57 here 50

Step 7 is the last step.

Now, following the same pattern, solve the given input and answer the question below:

Input: us 9 enter 10 out 25 rather punch 87 mint 40 27 15 kill

Q. What will be Step 4 of the given input?

Detailed Solution for Syndicate Bank PO Mock Test - 7 - Question 10

The following considerations are made while arranging the input:
The pattern involves arranging two sets alternately. One set consists of words starting with consonants, arranged in reverse alphabetical order, followed by the multiples by 5, arranged in descending order. The other set consists of words starting with vowels, arranged in reverse alphabetical order, followed by the multiples of 3, arranged in descending order.

Input: us 9 enter 10 out 25 rather punch 87 mint 40 27 15 kill
Step 1: rather 40 us 9 enter 10 out 25 punch 87 mint 27 15 kill
Step 2: rather 40 us 87 9 enter 10 out 25 punch mint 27 15 kill
Step 3: rather 40 us 87 punch 25 9 enter 10 out mint 27 15 kill
Step 4: rather 40 us 87 punch 25 out 27 9 enter 10 mint 15 kill
Step 5: rather 40 us 87 punch 25 out 27 mint 15 9 enter 10 kill
Step 6: rather 40 us 87 punch 25 out 27 mint 15 enter 9 10 kill
Step 7: rather 40 us 87 punch 25 out 27 mint 15 enter 9 kill 10

This option is Step 4 of the input.

Syndicate Bank PO Mock Test - 7 - Question 11

Find the number of triangles in the given figure.

Detailed Solution for Syndicate Bank PO Mock Test - 7 - Question 11

The figure may be lebelled as shown.

  • The simplest triangles are AHL, LHG, GHM, HMB, GMF, BMF, BIF, CIF, FNC, CNJ, FNE, NEJ, EKJ and JKD i.e. 14 in number.
  • The triangles composed of two components each are AGH, BHG, HBF, BFG, HFG, BCF, CJF, CJE, JEF, CFE and JED i.e. 11 in number.
  • The triangles composed of four components each are ABG, CBG, BCE and CED i.e. 4 in number.

∴ Total number of triangles in the given figure = 14 + 11 + 4 = 29.

Hence, option C is correct.

Syndicate Bank PO Mock Test - 7 - Question 12

If the digits in the number '578462139' are arranged in ascending order, then how many digits remain in the same place?

Detailed Solution for Syndicate Bank PO Mock Test - 7 - Question 12

The given number:
5 7 8 4 6 2 1 3 9
After arranging all the digits in ascending order, we get:
1 2 3 4 5 6 7 8 9
Hence, there are two such digits whose positions are remained unchanged.
Hence, the correct answer is option B.

Syndicate Bank PO Mock Test - 7 - Question 13

69 ÷ 3 * 0.85+ 14.5 – 3 = ?

Detailed Solution for Syndicate Bank PO Mock Test - 7 - Question 13

69 ÷ 3 * 0.85 = 23 * 0.85 = 19.55
19.55 + 14.5 – 3 = 31.05

So option E is correct

Syndicate Bank PO Mock Test - 7 - Question 14

Pipe A and B can fill a Tank alone in 48 Hours and 24 Hours respectively. Another Pipe C can empty the same Tank alone in 36 Hours. In an empty Tank for the First hour, Pipe A is opened alone, Second Hour pipe B is opened alone, Third Hour pipe C is opened alone. This process is continued until the Tank is filled. Then Pipe B is opened for How many Hours?

Detailed Solution for Syndicate Bank PO Mock Test - 7 - Question 14

3 Hours work = (1/48+1/24-1/36) = 5/144 28* 3hours = 140/144
remaining part = 4/144 = 1/36
Now it’s A turn = 1/36-1/48
= 1/144 left
Now it’s B turn = 1/144*24 = 1/6 hour = 10 min
Total B = 28 Hours + 10 Min

Syndicate Bank PO Mock Test - 7 - Question 15

Study the following table and answer the questions.

Classification of 100 Students Based on the Marks Obtained by them in Physics and Chemistry in an Examination.

Q. What is the different between the number of students passed with 30 as cut-off marks in Chemistry and those passed with 30 as cut-off marks in aggregate?

Detailed Solution for Syndicate Bank PO Mock Test - 7 - Question 15

Required difference
= (No. of students scoring 30 and above marks in Chemistry) - (Number of students scoring 30 and above marks in aggregate)
= 27 - 21
= 6.

Syndicate Bank PO Mock Test - 7 - Question 16

The given Line graph Data Interpretation Chart shows the sales of shoes (in thousands) from six stores in six different cities Kolkata, Patna, Dhanbad, Ranchi, Asansol, and Gaya during three consecutive years 2014, 2015 and 2016.

Q. What is the ratio of average sales of Campus shoes of all the stores for the year 2014 to average sales of Campus shoes of all the stores for the year 2015?

Detailed Solution for Syndicate Bank PO Mock Test - 7 - Question 16

Number of Campus shoes sales on Kolkata store in 2014 = 120
Number of Campus shoes sales on Patna store in 2014 = 80
Number of Campus shoes sales on Dhanbad store in 2014 = 140
Number of Campus shoes sales on Ranchi store in 2014 = 90
Number of Campus shoes sales on Asansol store in 2014 = 150
Number of Campus shoes sales on Gaya store in 2014 = 70
Average sales of Campus shoes of all the stores for the year 2014

Number of Campus shoes sales on Kolkata store in 2015 = 250
Number of Campus shoes sales on Patna store in 2015 = 120
Number of Campus shoes sales on Dhanbad store in 2015 = 230
Number of Campus shoes sales on Ranchi store in 2015 = 180
Number of Campus shoes sales on Asansol store in 2015 = 210
Number of Campus shoes sales on Gaya store in 2015 = 160
Average sales of Campus shoes of all the stores for the year 2015

Syndicate Bank PO Mock Test - 7 - Question 17

The given Line graph Data Interpretation Chart shows the sales of shoes (in thousands) from six stores in six different cities Kolkata, Patna, Dhanbad, Ranchi, Asansol, and Gaya during three consecutive years 2014, 2015 and 2016.

Q. What percent of the average sales of Campus shoes on Kolkata store, Patna store and Dhanbad store in 2014 is the average sales of Campus shoes on Ranchi store, Asansol store and Gaya store in 2015?

Detailed Solution for Syndicate Bank PO Mock Test - 7 - Question 17

Number of Campus shoes sales on Kolkata store in 2014 = 120
Number of Campus shoes sales on Patna store in 2014 = 80
Number of Campus shoes sales on Dhanbad store in 2014 = 140
Total number of Campus shoes sales on Kolkata store, Patna store and Dhanbad store in 2014 = (120 + 80 + 140) = 340
Average of Campus shoes sales on Kolkata store, Patna store and Dhanbad store in 2014= 340/3 = 113.33
Number of Campus shoes sales on Ranchi store in 2015 = 180
Number of Campus shoes sales on Asansol store in 2015 = 210
Number of Campus shoes sales on Gaya store in 2015 = 160
Total number of Campus shoes sales on Ranchi store, Asansol store and Gaya store in 2015 = (180 + 210 + 160) = 550
Average of Campus shoes sales on Ranchi store, Asansol store and Gaya store in 2015= 550/3 = 183.33
Hence, required percentage = 

Syndicate Bank PO Mock Test - 7 - Question 18

In the following questions four alternatives are given for the idiom/phrase italicised and underlined in the sentence. Choose the alternative which best expresses the meaning of idiom/phrase. 

Q. He is out and out a reactionary.  

Detailed Solution for Syndicate Bank PO Mock Test - 7 - Question 18

out and out: in every respect; absolute.

Hence, the correct answer is option b i.e. thoroughly

Syndicate Bank PO Mock Test - 7 - Question 19

The recently discovered notes of the writer suddenly revealed that this most timidand shy of women was an intellectual giant guided in both emotional and spiritualactivities by a sharp sense of moral courage.

Detailed Solution for Syndicate Bank PO Mock Test - 7 - Question 19

This sentence clearly has to do with tense agreement. You can reduce the sentence down to the simple form: A woman was guided in x and y. Choice E uses different tenses. The use of ‘by’ in the part of the sentence which cannot be changed means that the verb before ‘by’ will be in the passive. E is active and changes the meaning by saying that she guided herself, rather then being guided by a sense of courage. ‘And’ in options A and C is more economical than ‘as well as’ in the other options. The use of ‘also’ in B is unnecessary. C is wordy. You could eliminate ‘and that she was’. D repeats this error. A is correct.

Syndicate Bank PO Mock Test - 7 - Question 20

Direction: Read the following passage carefully and answer the question that follows.

After a worrying pre-monsoon phase between March and May, when rainfall was scarce, the current robust season in most parts of coastal, western and central India augurs well for the entire economy. Aided apparently by beneficial conditions in the Indian Ocean, very heavy rainfall has been recorded, notably in Maharashtra, Gujarat, Rajasthan, the northeastern States, Karnataka, the Konkan coast, hilly districts of Kerala and Tamil Nadu. This pattern may extend into Chhattisgarh, Odisha, Bengal and other eastern regions. A normal Indian Summer Monsoon is bountiful overall, but as last year’s flooding in Kerala, and the Chennai catastrophe of 2015 showed, there can be a terrible cost in terms of lives and property lost, and people displaced. Distressing scenes of death and destruction are again being witnessed. Even in a rain-shadow region such as Coimbatore in Tamil Nadu, the collapse of a railway parcel office after a downpour has led to avoidable deaths. What this underscores is the need to prepare for the rainy season with harvesting measures, as advocated by the Centre’s Jal Shakti Abhiyan, and a safety audit of structures, particularly those used by the official agencies. In drafting their management plans, States must be aware of the scientific consensus: that future rain spells may be short, often unpredictable and very heavy influenced by a changing climate. They need to invest in reliable infrastructure to mitigate the impact of flooding and avert disasters that could have global consequences in an integrated economy.

The long-term trends for flood impact in India have been one of declining loss of lives and cattle since the decadal high of 1971-80, but rising absolute economic losses, though not as a share of GDP. It is important, therefore, to increase resilience through planning, especially in cities and towns which are expanding steadily. Orderly urban development is critical for sustainability, as the mega flood disasters in Mumbai and Chennai witnessed in this century make clear. It is worth pointing out that the response of State governments to the imperative is tardy and even indifferent. They are hesitant to act against encroachment of lake catchments, river courses and floodplains. The extreme distress in Chennai, for instance, has not persuaded the State government against allowing structures such as a police station being constructed on a lake bed, after reclassification of land. Granting such permissions is an abdication of responsibility and a violation of National Disaster Management Authority Guidelines to prevent urban flooding. As a nation that is set to become the most populous in less than a decade, India must address its crippling cycles of drought and flood with redoubled vigour. Scientific hydrology, coupled with the traditional wisdom of saving water through large innovative structures, will mitigate floods and help communities prosper.

Q. Which among the following is correct regarding the pattern of rainfall in the future as declared by the scientific community?

Detailed Solution for Syndicate Bank PO Mock Test - 7 - Question 20

Refer to, “States must be aware of the scientific consensus: that future rain spells may be short, often unpredictable and very heavy influenced by a changing climate.”

It is clear from the passage that the future rain spells will not be very much predictable since there will be rains sometime very heavily and it will mainly be because of the changing climate in India as well as in other areas of the world. The scientific community has already explained that it is going to be the future of monsoon and the states should be prepared to handle such situations. Among the given options, we can easily choose Option D for this since it gives us the correct information whereas the rest can be eliminated for being irrelevant in the context of the passage.

This makes Option D the correct choice among the given options.

Syndicate Bank PO Mock Test - 7 - Question 21

Which bank is the first bank to commence its operations in India?

Detailed Solution for Syndicate Bank PO Mock Test - 7 - Question 21

The banking system commenced in India with the foundation of the Bank of Hindustan in Calcutta (now Kolkata) in 1770 which ceased to operate in 1832.

Syndicate Bank PO Mock Test - 7 - Question 22

Under which Act is a Land Development Bank registered in our country?

Detailed Solution for Syndicate Bank PO Mock Test - 7 - Question 22

Land Development Banks (LDBs) are essentially co-operative institutions. All the LDBs are registered under the Co-operative Societies Act.

Syndicate Bank PO Mock Test - 7 - Question 23

Which department of RBI is responsible for issuing currency notes?

Detailed Solution for Syndicate Bank PO Mock Test - 7 - Question 23

Under the Reserve Bank of India Act, 1934, the Department of Currency Management is responsible for administering the Reserve Bank's currency management functions. Currency management is primarily concerned with the issuance of notes and coins, as well as the removal of unfit notes from circulation.

Syndicate Bank PO Mock Test - 7 - Question 24

At present (2015), the contribution of Government of India and Reserve Bank of India in the capital of NABARD is in the ratio

Detailed Solution for Syndicate Bank PO Mock Test - 7 - Question 24

NABARD was set up with an initial capital of 100 crore. Consequent to the revision in the composition of share capital between Government of India and RBI, the paid up capital as on 31 March 2015, stood at 5000 crore with Government of India holding 4,980 crore (99.60%) and Reserve Bank of India 20.00 crore (0.40%). RBI sold its stake in NABARD to the Government of India, which now holds 99% stake. So, the contribution of Government of India and Reserve Bank of India in the capital of NABARD is in the ratio 99 : 01

Syndicate Bank PO Mock Test - 7 - Question 25

As part of the Financial Inclusion the following acts as an alternative to the Branch Banking.

Detailed Solution for Syndicate Bank PO Mock Test - 7 - Question 25

Mobile Banking: It refers to the use of a mobile device to carry out financial transactions anywhere.

  • ​This service is provided by majorly all financial institutions, especially banks.
  • Mobile banking enables customers to carry out various transactions, which may vary depending upon institutions.
  • Mobile banking service can be categorized into, account information, transaction, investment, support service, content, and news.
  • It can be done either through the internet or SMS.
  • In 2002 mobile banking was started in India by a way through SMS.
Syndicate Bank PO Mock Test - 7 - Question 26

______________ are financial instruments in which an investor lends money to a corporation or government for a specific length of time in exchange for regular interest payments.

Detailed Solution for Syndicate Bank PO Mock Test - 7 - Question 26

Bonds are financial instruments in which an investor lends money to a corporation or government for a specific length of time in exchange for regular interest payments.

Syndicate Bank PO Mock Test - 7 - Question 27

Which among the following is defined as an Initial Public Offering?

Detailed Solution for Syndicate Bank PO Mock Test - 7 - Question 27
  • IPO stands for Initial Public Offering.
  • The Initial Public Offering IPO Process is where a previously unlisted company sells new or existing securities and offers them to the public for the first time.
  • Initial public offering is the process by which a private company can go public by sale of its stocks to the general public.
  • It could be a new, young company or an old company which decides to be listed on an exchange and hence goes public.
  • Companies can raise equity capital with the help of an IPO by issuing new shares to the public or the existing shareholders can sell their shares to the public without raising any fresh capital.
  • A company offering its shares to the public is not obliged to repay the capital to public investors.
  • The company which offers its shares, known as an 'issuer', does so with the help of investment banks.
  • After IPO, the company's shares are traded in an open market.
  • Those shares can be further sold by investors through secondary market trading.
Syndicate Bank PO Mock Test - 7 - Question 28

If a NPA remained for more than 12 months, then it is called ______________.

Detailed Solution for Syndicate Bank PO Mock Test - 7 - Question 28

If an NPA remained for more than 12 months is called Doubtful Assets.

Syndicate Bank PO Mock Test - 7 - Question 29

Which among the following is used as an identifier of mobile money?

Detailed Solution for Syndicate Bank PO Mock Test - 7 - Question 29

MMID is used as an identifier of mobile money.

Syndicate Bank PO Mock Test - 7 - Question 30

Which player defeated Viswanathan Anand in the eighth round of the 2023 SuperUnited Rapid and Blitz tournament?

Detailed Solution for Syndicate Bank PO Mock Test - 7 - Question 30

D Gukesh, a young Indian Grandmaster, achieved a memorable win over Viswanathan Anand in the eighth round of the tournament. This marked Gukesh's first victory against Anand and came in his debut tournament match against the five-time world champion.

View more questions
Information about Syndicate Bank PO Mock Test - 7 Page
In this test you can find the Exam questions for Syndicate Bank PO Mock Test - 7 solved & explained in the simplest way possible. Besides giving Questions and answers for Syndicate Bank PO Mock Test - 7, EduRev gives you an ample number of Online tests for practice
Download as PDF