SSC Exams Exam  >  SSC Exams Tests  >  SSC Selection Post Mock Test - 3 - SSC Exams MCQ

SSC Selection Post Mock Test - 3 - SSC Exams MCQ


Test Description

30 Questions MCQ Test - SSC Selection Post Mock Test - 3

SSC Selection Post Mock Test - 3 for SSC Exams 2025 is part of SSC Exams preparation. The SSC Selection Post Mock Test - 3 questions and answers have been prepared according to the SSC Exams exam syllabus.The SSC Selection Post Mock Test - 3 MCQs are made for SSC Exams 2025 Exam. Find important definitions, questions, notes, meanings, examples, exercises, MCQs and online tests for SSC Selection Post Mock Test - 3 below.
Solutions of SSC Selection Post Mock Test - 3 questions in English are available as part of our course for SSC Exams & SSC Selection Post Mock Test - 3 solutions in Hindi for SSC Exams course. Download more important topics, notes, lectures and mock test series for SSC Exams Exam by signing up for free. Attempt SSC Selection Post Mock Test - 3 | 100 questions in 60 minutes | Mock test for SSC Exams preparation | Free important questions MCQ to study for SSC Exams Exam | Download free PDF with solutions
SSC Selection Post Mock Test - 3 - Question 1

Which of the following numbers will replace the questions mark (?) in the given series?

56, 59, 65, 68, 74, ?, 83

Detailed Solution for SSC Selection Post Mock Test - 3 - Question 1

The logic followed here is:

Hence, '77' is the correct answer,

SSC Selection Post Mock Test - 3 - Question 2

In the following question below are given some statements followed by some conclusions based on those statements. Taking the given statements to be true even if they seem to be at variance from commonly known facts. Read all the conclusions and then decide which of the given conclusion logically follows the given statements.
Statements:
I. No T is R.
II. Some K are R.
III. No T is J.
Conclusions:
I. No K is J.
II. Some J are not T.
III. Some R are J.

Detailed Solution for SSC Selection Post Mock Test - 3 - Question 2

The least possible Venn diagram for the given statements is as below:

Conclusions: 
1. No K is J → False (It is possible but not definite).
2. Some J are not T → True (As no T is J then some J is not T is also a definite conclusion).
3. Some R are J → False (It is possible but not definite).
Hence, the correct answer is "Only conclusion II follows".

SSC Selection Post Mock Test - 3 - Question 3

Which of the two signs in the following equation should be interchanged to make the equation correct?

8 ÷ 4 - 6 + 9 × 3 = 10

Detailed Solution for SSC Selection Post Mock Test - 3 - Question 3

Using options and making required changes:
8 ÷ 4 - 6 + 9 × 3 = 10
1) × and ÷
⇒ 8 × 4 - 6 + 9 ÷ 3 = 10
⇒ 32 - 6 + 3 = 10
⇒ 29 = 10 (INCORRECT)
2) - and ×
⇒ 8 ÷ 4 × 6 + 9 - 3 = 10
⇒ 12 + 9 - 3 = 10
⇒ 18 = 10 (INCORRECT)
3) ÷ and -
⇒ 8 - 4 ÷ 6 + 9 × 3 = 10
⇒ 8 - (2/3) + 27 = 10
⇒ (-59/3) = 10 (INCORRECT)
4) + and ÷
⇒ 8 + 4 - 6 ÷ 9 × 3 = 10
⇒ 8 + 4 - 2 = 10
⇒ 10 = 10 (CORRECT)
Hence, the correct answer is "Option (4)".

SSC Selection Post Mock Test - 3 - Question 4

In a certain code language, 'CLOWN' is written as 'XOLDM' and 'TOWEL' is written as 'GLDVO'. How will 'CLOTH' be written in that language?

Detailed Solution for SSC Selection Post Mock Test - 3 - Question 4

The positional value of the English alphabet is given below:

Logic:
Letters are changed to their opposite letters.
'CLOWN' is written as 'XOLDM'

And,
'TOWEL' is written as 'GLDVO'

Similarly, 
'CLOTH' is written as '?'

Hence, the code for CLOTH is XOLGS.

SSC Selection Post Mock Test - 3 - Question 5

Choose the correct answer figure which will complete the question figure. 
Question figure

Detailed Solution for SSC Selection Post Mock Test - 3 - Question 5

The figure that completes the pattern of the given figure is shown below:

Hence, 'option 3' is the correct answer.

SSC Selection Post Mock Test - 3 - Question 6

Write the following words according to the order in which they appear in the dictionary.

  1. Narcoanalyses
  2. Narcotization
  3. Narcoanalysis
  4. Narrowcasting
  5. Narrativizing
Detailed Solution for SSC Selection Post Mock Test - 3 - Question 6

The logic follows here is,
The arrangement of all the given words in the order in which they appear in an English dictionary is as shown below:
The three letters N, A and R are common in all words, so we will start arranging the word from the fourth letter as per alphabetical order.
1. Narcoanalyses
2. Narcoanalysis
3. Narcotization
5. Narrativizing
4. Narrowcasting
Hence, the correct answer is "13254".

SSC Selection Post Mock Test - 3 - Question 7

In a certain code language, 'ACTION' is written as '36' and 'PIZZA' is written as '25'. How will 'GALLERY' be written in that language?

Detailed Solution for SSC Selection Post Mock Test - 3 - Question 7

Here, we need to find the pattern
The logic here is: The code language is the square of the total number of letters in a word.
So, for the word ACTION = 6 letters = 62 = 36
And, for the word PIZZA = 5 letters = 52 = 25
Thus, for the word GALLERY = 7 letters = 72 = 49
Hence, the code language is 49 for the given word.

SSC Selection Post Mock Test - 3 - Question 8

Select the correct mirror image of the given figure when the mirror is placed at MN as shown below.

Detailed Solution for SSC Selection Post Mock Test - 3 - Question 8

The mirror image of the given figure when the mirror is placed at MN is shown below: 

The word ends with the letter P. So, the mirror image will start with mirror image P (q) however, options 2,3,4 are eliminated.
Hence, "Option 1" is the correct answer.

SSC Selection Post Mock Test - 3 - Question 9

The ratio of the ages of a child, his father and grandfather is 1 ∶ 5 ∶ 9. Three years hence, the child will be 10 years old. What is the present age of the grandfather?

Detailed Solution for SSC Selection Post Mock Test - 3 - Question 9

The ratio of the ages:
Child : Father : Grandfather = 1 : 5 : 9
Three years hence, the age of the child is = 10 years
The age of child in present time = (10 - 3) = 7 years
As per the given ratio:
⇒ Child = 1 = 7 years
⇒ Present age of the grandfather = 9 = (9 × 7) = 63 years
⇒ Present age of the grandfather = 63 years
Hence, the correct answer is "Option (2)".

SSC Selection Post Mock Test - 3 - Question 10

Four letter-clusters have been given out of which three are alike in some manner and one is different. Select the one that is different.

Detailed Solution for SSC Selection Post Mock Test - 3 - Question 10


The logic followed here is :- Difference between the first two and the last two letter's position value according to English alphabetic series is equal.
​So,

  • Option - (1) : SQO
  • Option - (2) : YWU
  • Option - (3) : MKI
  • Option - (4) : GED

Here, Only 'GED' difference between first two and last two letter's position value according to English alphabetic series is not equal.
Hence, the correct answer is "GED".

SSC Selection Post Mock Test - 3 - Question 11

A # B means 'A is the mother of B'.
A @ B means 'A is the son of B'.
A & B means 'A is the brother of B'.
A % B means 'A is the wife of B'.

Q. If W # Q @ T & Y @ M % K, then how is K related to W?

Detailed Solution for SSC Selection Post Mock Test - 3 - Question 11


Given :

Statement given : W # Q @ T & Y @ M % K
So,

  • W # Q → W is the mother of Q.
  • Q @ T → Q is the son of T.
  • T & Y → T is the brother of Y.
  • Y @ M → Y is the son of M.
  • M % K → M is the wife of K.

Thus, according to the final family tree K is the father-in-law of W.
Hence, "Father-in-law" is the correct answer.

SSC Selection Post Mock Test - 3 - Question 12

In a certain code, JUG is coded as 38 and WATER is coded as 67. How will GLASS be coded in the same code?

Detailed Solution for SSC Selection Post Mock Test - 3 - Question 12

The table shows the place value of the alphabet from A to Z and Z to A.

The logic followed here is:
Now, JUG is coded as 38 
 
WATER is coded as 67

Similarly,  GLASS be coded as 
Therefore, GLASS be coded as "58".
Hence, the correct answer is "Option (1)"

SSC Selection Post Mock Test - 3 - Question 13

In the question, below are two statements followed by two conclusions numbered I and II. You have to consider the statements to be true even if it seems to be at variance from commonly known facts. You have to decide which of the given conclusions, if any, follows from the given statements.
Statements:
All Balls are bats
Some bats are wickets
Conclusions:
I. Some wickets are bats
II. All balls are wickets

Detailed Solution for SSC Selection Post Mock Test - 3 - Question 13

The least possible venn diagram for the above statements is shown below.

For conclusions:
I. Some wickets are bats → True (As, some bats are wickets, some wickets are bats. Hence, it is true)
II.  All balls are wickets → False (As, All balls are bats, some bats are wickets, no relation given between balls and wickets. Hence, it is false)
Hence, "If only conclusion I follows" is the correct answer.

SSC Selection Post Mock Test - 3 - Question 14

How many triangles are there in the given figure?

Detailed Solution for SSC Selection Post Mock Test - 3 - Question 14

The number of triangles can be calculated by naming each corner as follows:

We can observe the following triangles:
EGF, BCD, ABC, GFD, BED, EFD
Thus, the total number of triangles is 6.
Hence, the correct answer is 6.

SSC Selection Post Mock Test - 3 - Question 15

From the given answer figures, select the one in which the question figure is hidden/embedded.
Question figure:

Detailed Solution for SSC Selection Post Mock Test - 3 - Question 15

According to the given condition, we have to select a figure in which a shaded small circle is present between two parallel lines and there should be no line passing through the circle.
The figure given below has the given question figure embedded in it.

Hence, this is the correct answer.

SSC Selection Post Mock Test - 3 - Question 16

If a mirror is placed on the line AB, then which of the answer figures is the right mirror image of the given figure?
Question Figure:

Detailed Solution for SSC Selection Post Mock Test - 3 - Question 16

We know that when a mirror is placed at the bottom side of the figure, then the left and right parts of the image remain the same, while the top and bottom sides of the image will be interchanged in the mirror image i.e. the figure is flipped vertically.
So, the shaded circle will come in the bottom-left part of the circle.
Hence, the correct answer is:
 

SSC Selection Post Mock Test - 3 - Question 17

If 'A' means '+', 'B' means '×', 'C' means '÷' and 'D' means '-', then

19 D 3 A 11 B 12 C 132

Detailed Solution for SSC Selection Post Mock Test - 3 - Question 17

We are given the following information in the problem:

19 D 3 A 11 B 12 C 132  
= 19 – 3 + 11 × 12 ÷ 132 
= 19− 3 + 11 x (12)/132
= 19 - 3 + 1 = 17
Hence, the correct answer is 17.

SSC Selection Post Mock Test - 3 - Question 18

Arrange the given words in the sequence in which they occur in the dictionary.

  1. Crow  
  2. Gown
  3. Creep
  4. Crane  
  5. Crest
Detailed Solution for SSC Selection Post Mock Test - 3 - Question 18

In dictionary words are written according to the alphabet series.
All letters are starting with ‘’C’’, so we will check the second letter of each word and try to write the words in the sequence.
Crane
Creep
Crest
Crow
Gown

SSC Selection Post Mock Test - 3 - Question 19

A series is given with one term missing. Select the correct alternative from the given ones that will complete the series.

 X, V, ?, R, P

Detailed Solution for SSC Selection Post Mock Test - 3 - Question 19

The place value of the letters are given below:
https://content-grail-production.s3.amazonaws.com/quetsion-media/4a0d5a57-62a8-4333-b3bb-d80c18089fd2-image.png
In the given series, we can observe that the letters are decreasing by a positional value of 2.
For example, X −2 = V, etc.

Hence, the correct answer is T.

SSC Selection Post Mock Test - 3 - Question 20

In the following question, select the odd number pair from the given alternatives.

Detailed Solution for SSC Selection Post Mock Test - 3 - Question 20

8 + 5 = 13  
5 + 5 = 10  
7 + 5 = 12  
9 + 5 = 14 ≠ 16
We can observe that second number of each group is equal to the sum of first number and 5. Thus, the odd pair is (9 −16).

SSC Selection Post Mock Test - 3 - Question 21

Identify the diagram that best represents the relationship among the given classes.

Trouser, Shirt, Garment.

Detailed Solution for SSC Selection Post Mock Test - 3 - Question 21

According to the given condition, the garment is an item of clothing.
So, trouser and shirt are garments, but trouser is not a shirt, and vice-versa.
Thus, the correct relationship between Trouser, Shirt, and Garment, is:

Hence, this is the correct answer.

SSC Selection Post Mock Test - 3 - Question 22

In the following question, select the related number from the given alternatives.

12 : 144 : : 14 : ?

Detailed Solution for SSC Selection Post Mock Test - 3 - Question 22

We know that
122 = 144
We can observe that second number of first part is square of the first number.
Therefore,
? = 142 = 196

SSC Selection Post Mock Test - 3 - Question 23

In the following question, select the word which cannot be formed using the letters of the given word.

SINGULAR 

Detailed Solution for SSC Selection Post Mock Test - 3 - Question 23

We need to find which word cannot be formed using the letters from the word “SINGULAR ”.
No, extra letter should be used in the word's formation.
"RAISE" cannot be formed, as the letter ‘’E’’ is not present in the word SINGULAR.

SSC Selection Post Mock Test - 3 - Question 24

A is mother of B. B is son of C. C is brother of D. D is niece of E. How is C related to E?

Detailed Solution for SSC Selection Post Mock Test - 3 - Question 24

Following symbols are used to solve the blood relation problem:

Draw the relationship diagram from the given relationship.

Clearly, C is the nephew of E.

SSC Selection Post Mock Test - 3 - Question 25

In a certain code language, "SPROUT" is written as "XUWTZY". How is "STEAM" written in that code language?

Detailed Solution for SSC Selection Post Mock Test - 3 - Question 25

Write the positional number of all the alphabets as shown below:
https://content-grail-production.s3.amazonaws.com/quetsion-media/4a0d5a57-62a8-4333-b3bb-d80c18089fd2-image.png
The pattern followed by the letters is,

The positional values of the letters of the word SPROUT is increased by 5.
So, the answer will follow the same pattern and the correct answer is,

Thus, “XYJFR” is the correct answer.

SSC Selection Post Mock Test - 3 - Question 26

A can do a piece of work in 6 days. B is 25% more efficient than A. How long would B alone take to finish this work?

Detailed Solution for SSC Selection Post Mock Test - 3 - Question 26

Given:
Days taken by A to complete the work = 6 days
Efficiency of B = 25% more efficient than A
Calculation:
⇒ Work done by A in one day = 1/6
⇒ According to the question,
⇒ Number of days B would take to complete the work = 1/6 + 25% of 1/6
⇒ Number of days taken by B to complete the work = 
⇒ Time in which B can complete the work = 24/5 = 4(4/5) days
∴  The time B would take to finish the work is 4(4/5) days.

SSC Selection Post Mock Test - 3 - Question 27

Simplify: 

Detailed Solution for SSC Selection Post Mock Test - 3 - Question 27

Given:

Formula used:
(a + b)2 - (a - b)2 = 4ab
Calculations:
(a + b)2 - (a - b)2 
⇒ a2 + b2 + 2ab - {a2 + b2 - 2ab}
⇒ 2ab + 2ab = 4ab
Now, 

∴ The answer is 4.

SSC Selection Post Mock Test - 3 - Question 28

20 men work 6 hours a days for 7 days to complete a work. How many hours, should 10 men work to complete the same work in 12 days?

Detailed Solution for SSC Selection Post Mock Test - 3 - Question 28

Given:
20 men work in 6 hours for 7 days.
Formula used: 
M1 × D1 × H1 = M2 × D2 × H2
Where, M = Men , D= Days , H = Hours
Calculation:
Here,
M1 = 20 , H= 6 hours , D= 7 Days
M2 = 10, D2 = 12 days , H2 = ?
As we know,
M1 × D1 × H1  =  M× D2 × H2
⇒ 20 × 7 × 6 = 10 × 12 × H2
⇒ H2  =  7 hours
Hence, 7 hours is taken by 10 men to complete the same work.

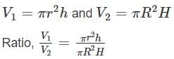
SSC Selection Post Mock Test - 3 - Question 29

Two cylinders have their heights in the ratio 1 ∶ 2 and their radii in the ratio 2 ∶ 1. What is the ratio of their volumes?

Detailed Solution for SSC Selection Post Mock Test - 3 - Question 29

Given:-
Radius ratio =  2 : 1 and Height ratio = 1 : 2
Formula used:-
Volume of cylinder = πr2h
Calculation:- 
Let the radius and height of cylinder-1 and cylinder-2 be r , h  and R , H respectively
As given,
r : R = 2 : 1
h : H = 1 : 2
Let their volumes be V1 and V2, So

On reducing π from numerator and denominator then by substituting the values of radius and heights,

The ratio of volumes of two cylinders is 2 : 1.

SSC Selection Post Mock Test - 3 - Question 30

What is the present worth of ₹112 due in 3 years at 4% simple interest per annum?

Detailed Solution for SSC Selection Post Mock Test - 3 - Question 30

Given:
Amount = Rs. 112, rate = 4%, time = 3 years.
Formula used:

Amount = principal + SI
Amount = principal + 
Amount = principal 
Calculations:
112 = principle 
112 = principle 
112 = principle × (28/25)
Principle = 
Principle = 4 × 25 = 100
∴ The answer is Rs. 100.

View more questions
Information about SSC Selection Post Mock Test - 3 Page
In this test you can find the Exam questions for SSC Selection Post Mock Test - 3 solved & explained in the simplest way possible. Besides giving Questions and answers for SSC Selection Post Mock Test - 3, EduRev gives you an ample number of Online tests for practice
Download as PDF