CDS Exam  >  CDS Tests  >  Indian Army Agniveer Mock Test - 2 - CDS MCQ

Indian Army Agniveer Mock Test - 2 - CDS MCQ


Test Description

30 Questions MCQ Test - Indian Army Agniveer Mock Test - 2

Indian Army Agniveer Mock Test - 2 for CDS 2025 is part of CDS preparation. The Indian Army Agniveer Mock Test - 2 questions and answers have been prepared according to the CDS exam syllabus.The Indian Army Agniveer Mock Test - 2 MCQs are made for CDS 2025 Exam. Find important definitions, questions, notes, meanings, examples, exercises, MCQs and online tests for Indian Army Agniveer Mock Test - 2 below.
Solutions of Indian Army Agniveer Mock Test - 2 questions in English are available as part of our course for CDS & Indian Army Agniveer Mock Test - 2 solutions in Hindi for CDS course. Download more important topics, notes, lectures and mock test series for CDS Exam by signing up for free. Attempt Indian Army Agniveer Mock Test - 2 | 50 questions in 60 minutes | Mock test for CDS preparation | Free important questions MCQ to study for CDS Exam | Download free PDF with solutions
Indian Army Agniveer Mock Test - 2 - Question 1

If 6 men can do a piece of work in 10 days. then 4 men will complete the same work in:

Detailed Solution for Indian Army Agniveer Mock Test - 2 - Question 1

Given:
Time taken by 6 men to complete a piece of work =10 days
If a person takes x days to complete a work, part of the work
completed by him in one-day = 1/x
Time taken by 1 man = 6×10 = 60 days
∴ The time taken by 4 men to complete the work = 60/4 = 15 days.

Indian Army Agniveer Mock Test - 2 - Question 2

An certain number of students from school X appeared in an examination and 30% students failed. 150% more students than those from school X, appeared in the same examination from school Y. If 80% of the total number of students who appeared from X and Y passed, then what is the percentage of students who failed from Y?

Detailed Solution for Indian Army Agniveer Mock Test - 2 - Question 2

Given:
Students failed in school X =30%
Number of students in school Y =150% more than number of students in school X
Students passed in both schools =80%
Let number of students in school X be 100x.
Number of failed students in school X =30% of 100x=30x
Number of passes students in school Y =(100x–30x)=70x
Number of students in school Y =100x+150% of 100x
=100x+150x=250x
Total number of students in school X and school Y =100x+250x=350x
Number of passes students in both schools =80% of 350x=280x
So, number of passed students in school Y =280x–70x=210x
Number of failed students in school Y =250x–210x=40x
Percentage of failed students in school Y = (40x/250x) x 100% = 16%
∴ The percentage of students who failed from school Y is 16%.

Indian Army Agniveer Mock Test - 2 - Question 3

Simplify the equation  and find the value of y.

Detailed Solution for Indian Army Agniveer Mock Test - 2 - Question 3

Given:
Equation = 

Indian Army Agniveer Mock Test - 2 - Question 4

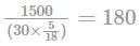
Two persons are standing on opposite ends of a field of length 1500 meters. If they are running towards each other at 10 km/hr and 20 km/hr respectively, after how much time will they meet each other?

Detailed Solution for Indian Army Agniveer Mock Test - 2 - Question 4

Relative speed, if opposite directions = (x + y) km/hr
Relative speed of both men, if they running opposite direction.
= 10+20 = 30 km/hr
= 30 x (5/18)m/s
Time taken to meet each other =  seconds

Indian Army Agniveer Mock Test - 2 - Question 5

A person borrows certain amount of money at the rate of 2.5% per month. If he pays Rs. 13110 after 6 months to clear his dues then find the amount of interest paid by the person.

Detailed Solution for Indian Army Agniveer Mock Test - 2 - Question 5

Given:
Rate of interest = 2.5% per month
Amount paid after 6 months = Rs. 13110
Amount, A = P+SI
Simple interest, 
Where P→ Principal, R→ rate of interest, T→ time
Suppose the sum borrowed be Rs. x

⇒ Amount of interest = 0.15×11400
= Rs. 1710

Indian Army Agniveer Mock Test - 2 - Question 6

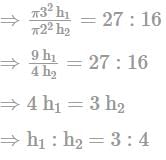
The radius of two right circular cylinders are in the ratio 3:2 and the of their volumes is 27:16. What is the ratio of their heights?

Detailed Solution for Indian Army Agniveer Mock Test - 2 - Question 6

Given:
Ratio of radius of two right circular cylinders = 3:2
Ratio of their volumes = 27:16
As we know,
Volume of right circular cylinder = πr2h
let the height of both cylinder be h1 and h2

∴ The ratio of their heights is 3:4.

Indian Army Agniveer Mock Test - 2 - Question 7

Find the smallest number divisible by all the odd numbers up to 15.

Detailed Solution for Indian Army Agniveer Mock Test - 2 - Question 7

The smallest number which is divisible by all the odd numbers up to 15 would be the L.C.M of all the odd numbers up to 15.
∴ Required number = L.C.M of 1,3,5,7,9,11,13,15
= 45045

Indian Army Agniveer Mock Test - 2 - Question 8

In a right angled triangle, the square of the hypotenuse is twice the product of the other sides. The triangle is:

Detailed Solution for Indian Army Agniveer Mock Test - 2 - Question 8

Given,
Right-angled triangle, the square of the hypotenuse is twice the product of the other sides.
As we know,
A triangle whose two sides are equal, called isosceles triangle.
A triangle whose one angle is equal to 90°, called right angled triangle.
Let given sides are p, b and h where p = perpendicular, b = base and h = hypotenuse.
Now, p2 + b2 = h2 ---- (1) [Right angles triangle property]
According to question,
h2 = 2 × p × b...(2)
Putting (2) in (1), we get
P2 + b2 = 2pb
⇒ p2 + b2 – 2pb = 0
⇒ (p - b)2 = 0
⇒ p = b
The other two sides are equal. Therefore, the triangle is an isosceles triangle.

Indian Army Agniveer Mock Test - 2 - Question 9

Two angles of a triangle are equal and the third angle measures 70°. What is the measure of each of the unknown angles?

Detailed Solution for Indian Army Agniveer Mock Test - 2 - Question 9

Given:
Two angles of a triangle are equal
The third angle = 70°
Formula Used:
Sum of the angle of the triangle = 180°
Calculations:
⇒ Let the unknown angle be x
⇒ 2nd angle = x
⇒ 3rd angle = 70°
so,
⇒ Sum of the angle of the triangle = 180°
⇒ x + x + 70 = 180
⇒ 2x = 180 - 70 = 110
⇒ x = 55°
⇒ Hence, The unknown angle of the triangle is 55°.

Indian Army Agniveer Mock Test - 2 - Question 10

Which is the largest fraction among the following? 

Detailed Solution for Indian Army Agniveer Mock Test - 2 - Question 10

Calculation:

⇒ 29/6, 61/9,71/9,77/10
By making the denominator same we have,
⇒ 435/90, 610/90, 710/90, 693/90
Out of the above numbers the greatest is 710.
∴ The correct answer is 7(8/9).

Indian Army Agniveer Mock Test - 2 - Question 11

A circular road runs around a circular ground. If the radius of the ground is 7 m and the difference between the circumferences of the outer circle and the inner circle is 44 m then the area of the road is:

Detailed Solution for Indian Army Agniveer Mock Test - 2 - Question 11

Formula Used:
Area of Circle = π × r2
Circumference of Circle = 2π × r
Calculation:

Let radius of ground be r & radius of road be R
Difference between circumference = 44m
Using above formula -
⇒ 2π (R - r) = 44
⇒ 2π (R - 7)= 44
⇒ (44/7)(R - 7) = 44
⇒ R - 7 = 7
⇒ R = 14 m
⇒ Area of road = π (R2 - r2) = π (142 - 72
⇒ Area of road =  (22/7)× 147 = 462 m2
∴ The correct answer is 462 m2

Indian Army Agniveer Mock Test - 2 - Question 12

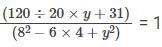
The value of 84 ÷ 32 × 8 - 15 ÷ 8 × (19 - 35) is:

Detailed Solution for Indian Army Agniveer Mock Test - 2 - Question 12

Given:
84 ÷ 32 × 8 - 15 ÷ 8 × (19 - 35)
Concept used:

Calculation:
84 ÷ 32 × 8 - 15 ÷ 8 × (19 - 35)
⇒ 84 ÷ 32 × 8 - 15 ÷ 8 × (- 16)
⇒ 21/8 × 8 - (15/8) × (- 16)
⇒ 21 + 30
⇒ 51
∴ The required answer is 51.

Indian Army Agniveer Mock Test - 2 - Question 13

If a + b + c = 10 and a2 + b2 + c2 = 48, then the value of ab + bc + ca is _______.

Detailed Solution for Indian Army Agniveer Mock Test - 2 - Question 13

Given:
a + b + c = 10 and a2 + b2 + c2 = 4
Concept Used:
(a + b + c)2 = a2 + b2 + c2 + 2ab + 2bc + 2ca 
Calculation:
⇒ Using the formula (a + b + c)2 we get,
⇒ (a + b + c)2 = a2 + b2 + c2 + 2ab + 2bc + 2ca 
⇒ (10)2 = 48+ 2(ab + bc + ca)
⇒ 100 – 48 = 2(ab + bc + ca)
⇒ ab + bc + ca = 52/2 = 26
Therefore, the value of ab + bc + ca is 26.

Indian Army Agniveer Mock Test - 2 - Question 14

The price of cooking oil has increased by 25%. The percentage of reduction that a family should effect in the use of cooking oil, so as not to increase the expenditure in this account, is

Detailed Solution for Indian Army Agniveer Mock Test - 2 - Question 14

Given:
The price of cooking oil has increased by 25%.
Formula Used:
Expenditure = Price × Consumption
Calculation:
Let, the previous budget was Rs 100.
As it increased by 25%, it became Rs125
Since the family has to maintain the previous budget.
⇒ Rs 125 should be reduced to Rs 100
⇒ Rs 1 should be reduced to Rs 100/125
⇒ Rs 100 should be reduced to Rs (100/125) × 100 = Rs 80
⇒ (100- 80 ) = 20% 
∴The answer is 20% .

Indian Army Agniveer Mock Test - 2 - Question 15

What is the least number which when divided by 42,72 and 84 leaves the remainders 25, 55 and 67 respectively?

Detailed Solution for Indian Army Agniveer Mock Test - 2 - Question 15

Calculation:
⇒ 42 - 25 = 17
⇒ 72 - 55 = 17
⇒ 84 - 67 = 17
Now, LCM (42, 72, 84) = 504
Hence, required number = 504 - 17 = 487
∴ The correct answer is 487.

Indian Army Agniveer Mock Test - 2 - Question 16

Who was the Governor-General of India at the time of the Sepoy Mutiny of 1857?

Detailed Solution for Indian Army Agniveer Mock Test - 2 - Question 16

Lord Canning (1856-62) was the Governor-General of India during the 1857 revolt.  He served as the Governor-General of India from 1856 to 1862.
Lord Canning: During his tenure, the Government of India Act, 1858 was passed which created the office of the Viceroy to be held by the same person who was the Governor-General of India. Lord Canning also served as the first Viceroy of India.
The important events during his tenure include:

  • Sepoy mutiny of 1857, which he was able to suppress successfully.
  • The passing of the Indian Councils Act, 1861 introduced a portfolio system in India.
Indian Army Agniveer Mock Test - 2 - Question 17

In which district of Haryana is the historic town of Gohana located?

Detailed Solution for Indian Army Agniveer Mock Test - 2 - Question 17

The historic town named Gohana is located in the Sonipat district.
In ancient times, Gohana was considered a sacred place. Prithviraj Chauhan constructed a fort here, which was later destroyed by Muhammad Ghori after defeating Prithviraj in 1192.

Indian Army Agniveer Mock Test - 2 - Question 18

Match the following:

Detailed Solution for Indian Army Agniveer Mock Test - 2 - Question 18

Correct option is A - 4, B - 2, C - 1, D - 3

Indian Army Agniveer Mock Test - 2 - Question 19

Which of the following was the main objective behind introducing the Rowlatt Act?

Detailed Solution for Indian Army Agniveer Mock Test - 2 - Question 19

The main objective behind introducing the Rowlatt Act was to curb the growing nationalist upsurge in the country.
The Rowlatt Act: This act authorised the British government to arrest anybody suspected of terrorist activities. It also authorised the government to detain such people arrested for up to 2 years without trial. It empowered the police to search a place without a warrant.

Indian Army Agniveer Mock Test - 2 - Question 20

Sabarimala Temple is located:

Detailed Solution for Indian Army Agniveer Mock Test - 2 - Question 20

Sabarimala is a famous Hindu temple located in the Periyar Tiger Sanctuary in Kerala. It has the largest annual pilgrimage in the world, which attracts about 2 crore devotees every year.
Sabarimala is a wonderful link between Shaivites and Vaishnavites. In Malayalam, 'Shabarimala' means mountain.
There is a temple of Lord Ayyappan in Sabarimala.

Indian Army Agniveer Mock Test - 2 - Question 21

Choose the correct pair of the country - capital from the given alternative.

Detailed Solution for Indian Army Agniveer Mock Test - 2 - Question 21

The correct pair of the country - capital are: Cuba - Havana
Cuba officially the Republic of Cuba is a country comprising the island of Cuba, as well as Isla de la Juventud and several minor archipelagos. Cuba is located where the northern Caribbean Sea, Gulf of Mexico, and Atlantic Ocean meet.
Havana is the capital and largest city of Cuba. The heart of the La Habana province, Havana is the country's main port and leading commercial center. The city has a population of 2.1 million inhabitants, and it spans a total of 781.58 km2 (301.77 sq mi) – making it the largest city by area, the most populous city, and the fourth largest metropolitan area in the Caribbean region.

Indian Army Agniveer Mock Test - 2 - Question 22

When is World Humanitarian Day observed?

Detailed Solution for Indian Army Agniveer Mock Test - 2 - Question 22

19 August is World Humanitarian Day observed.
World Humanitarian Day is observed across the world on August 19 to pay tribute to workers who risk their lives in humanitarian services and to gather support for people affected by crises around the world. The day was designated by the UN General Assembly to commemorate the 19 August 2003 bombing of the United Nations headquarters in Baghdad, Iraq.

Indian Army Agniveer Mock Test - 2 - Question 23

Which one of the following statements about the Himalayas is not correct?

Detailed Solution for Indian Army Agniveer Mock Test - 2 - Question 23

The Himalayan frontal faults is a series of reverse faults that demarcates the boundary of the Shivalik from the alluvial expanse of the Indo-Gangetic plains. Hence, Option 3 is NOT correct. The Himalayan frontal faults are also known as the Main Frontal Thrust (MFT).
The geology of the Himalayas is characterized by three major tectonic units:

  • The Main Central Thrust (MCT)
  • The Main Boundary Thrust (MBT)
  • The Himalayan Frontal Thrust (HFT)/(MFT)

Main Central Thrust (MCT) Zone separates the Greater Himalayas in the north from lesser Himalayas in the south.
The Main Boundary Thrust (MBT) zone separates the outer Himalayas from the lesser Himalayas. The Himalayas are young fold mountains.

Indian Army Agniveer Mock Test - 2 - Question 24

Which award is given to the best coach in sports and games?

Detailed Solution for Indian Army Agniveer Mock Test - 2 - Question 24

Dronacharya award is associated with Sports.

  • It is awarded annually by the Ministry of Youth Affairs and Sports.
  • It is awarded to the Coaches for their achievement in producing "Outstanding Sportsperson".
  • It was first awarded in 1985 to Bhalchandra Bhaskar Bhagwat.
  • The reward amount for this Prize is ₹ 15 lakh.
Indian Army Agniveer Mock Test - 2 - Question 25

Who is the present Education Minister of India?

Detailed Solution for Indian Army Agniveer Mock Test - 2 - Question 25
  • Dharmendra Pradhan is the present Education Minister of India.
  • Dharmendra Pradhan is an Indian politician serving as the Minister of Education and Minister of Skill Development and Entrepreneurship in the Government of India.
  • He has also been the Minister of Petroleum & Natural Gas and Minister of Steel.  
Indian Army Agniveer Mock Test - 2 - Question 26

Where is the headquarters of International Monetary Fund located?

Detailed Solution for Indian Army Agniveer Mock Test - 2 - Question 26
  • International Monetary Fund headquarters is located at Washington D. C in the United States. It was founded in 1944.
  • International Monetary Fund is an Organization of 190 countries.
  • It is working to secure financial stability, facilitate international trade, promote high employment and economic growth and reduce poverty around the world.
Indian Army Agniveer Mock Test - 2 - Question 27

The Lal Bahadur Shastri National Academy of Administration is located in

Detailed Solution for Indian Army Agniveer Mock Test - 2 - Question 27
  • The Lal Bahadur Shastri National Academy of Administration (LBSNAA), Mussoorie is a premier training institution for civil services in India.
  • Established in 1958.
  • Headed by a Director (an officer of the level of Secretary to the Government of India).
  • It is an attached office of the Department of Personnel & Training, Government of India.
  • It conducts a common Foundation Course for entrants to the All India Services; Indian Foreign Service; Group ‘A’ services of the Union and the Royal Bhutan Service followed by professional training for the regular recruits of the Indian Administrative Service (IAS) and members of the Royal Bhutan Service.
  • The Academy also conducts in-service and Mid-Career Training Programmes (MCTPs) for members of the IAS and Induction Training programmes for officers promoted to the IAS from State Civil Services.
Indian Army Agniveer Mock Test - 2 - Question 28

When did the civil disobedience movement started?

Detailed Solution for Indian Army Agniveer Mock Test - 2 - Question 28
  • Civil disobedience movement was started in 1930 (12 March 1930 – 6 April 1930).
  • The Civil Disobedience Movement was launched by Mahatma Gandhi when the British Government not given a positive response to Gandhi's eleven demands.
  • It began with the famous Dandi March of Gandhi, on 12 March 1930.
  • Gandhi left the Sabarmati Ashram at Ahmadabad on foot with 78 other members of the Ashram.
  • The act of making salt was a symbol of the Indian people's refusal to live under British-made laws or under British rule.
Indian Army Agniveer Mock Test - 2 - Question 29

Who was the founder of the Indian National Congress?

Detailed Solution for Indian Army Agniveer Mock Test - 2 - Question 29
  • The Indian National Congress conducted its first session in Bombay from 28 to 31 December 1885 at the initiative of retired Civil Service officer Allan Octavian Hume.
  • Its aim was to obtain a greater share in government for educated Indians and to create a platform for civic and political dialogue between them and the British Raj.
  • Hume organized the first meeting in Bombay with the approval of the Viceroy Lord Dufferin.
  • Womesh Chandra Banerjee was the first president of Congress; the first session was attended by 72 delegates, representing each province of India.
Indian Army Agniveer Mock Test - 2 - Question 30

When was the United Nations (U.N.O.) established?

Detailed Solution for Indian Army Agniveer Mock Test - 2 - Question 30

United Nations Organisation (UNO):

  • The United Nations is an international organization founded in 1945 after the Second World War by 51 countries.
  • The countries were committed to maintaining international peace and security, developing friendly relations among nations, and promoting social progress, better living standards, and human rights.
  • It was established with an aim of preventing future wars, succeeding the ineffective League of Nations.
  • On 25 April 1945, 50 governments met in San Francisco for a conference and started drafting the UN Charter, which was adopted on 25 June 1945 and took effect on 24 October 1945, when the UN began operations. 
  • The UN is headquartered on international territory in New York City and has other main offices in Geneva, Nairobi, Vienna, and The Hague.

Hence, United Nations Organisation was established on 24 October 1945.

View more questions
Information about Indian Army Agniveer Mock Test - 2 Page
In this test you can find the Exam questions for Indian Army Agniveer Mock Test - 2 solved & explained in the simplest way possible. Besides giving Questions and answers for Indian Army Agniveer Mock Test - 2, EduRev gives you an ample number of Online tests for practice
Download as PDF