CDS Exam  >  CDS Tests  >  Indian Army Agniveer Mock Test - 3 - CDS MCQ

Indian Army Agniveer Mock Test - 3 - CDS MCQ


Test Description

30 Questions MCQ Test - Indian Army Agniveer Mock Test - 3

Indian Army Agniveer Mock Test - 3 for CDS 2025 is part of CDS preparation. The Indian Army Agniveer Mock Test - 3 questions and answers have been prepared according to the CDS exam syllabus.The Indian Army Agniveer Mock Test - 3 MCQs are made for CDS 2025 Exam. Find important definitions, questions, notes, meanings, examples, exercises, MCQs and online tests for Indian Army Agniveer Mock Test - 3 below.
Solutions of Indian Army Agniveer Mock Test - 3 questions in English are available as part of our course for CDS & Indian Army Agniveer Mock Test - 3 solutions in Hindi for CDS course. Download more important topics, notes, lectures and mock test series for CDS Exam by signing up for free. Attempt Indian Army Agniveer Mock Test - 3 | 50 questions in 60 minutes | Mock test for CDS preparation | Free important questions MCQ to study for CDS Exam | Download free PDF with solutions
Indian Army Agniveer Mock Test - 3 - Question 1

An ornament is sold for Rs. 13,700 at a loss of 20%. What is its cost price?

Detailed Solution for Indian Army Agniveer Mock Test - 3 - Question 1

Given:
Selling price = Rs. 13700, loss% = 20%
Formula used:

Calculations:

20 cost price = 100 cost price - 1370000
20 cost price - 100 cost price = - 1370000
- 80 cost price = - 1370000
Cost price = 1370000/80 = 17125
∴ The answer is Rs. 17125.

Indian Army Agniveer Mock Test - 3 - Question 2

Y and Z can finish a work in 50 days. They work together for 15 days and then left. How much of the work is left?

Detailed Solution for Indian Army Agniveer Mock Test - 3 - Question 2

Given:
Y and Z can do a work in 50 days.
Work together for 15 days and then left.
Concept used:
If a person can do a work in x days, part of work done by that person in one day is (1/x)
Calculations:
Y and Z have done the work for 15 days,
Number of days left = (50 - 15) = 35 days.
Part of work left = 35/50 = 7/10
∴ The answer is 7/10.

Indian Army Agniveer Mock Test - 3 - Question 3

Mean of 60 observations is 66. Later, it was found that an observation 24 was wrongly taken as 42. What is the corrected mean? 

Detailed Solution for Indian Army Agniveer Mock Test - 3 - Question 3

Given:
Mean of 60 observations is 66.
24 was wrongly taken as 42. 
Concept used:
Mean = (Sum of all values) / (Total number of values)
Calculation:
The total of all the observations is = 66 x 60
⇒ 3960
When it was found that an observation of 24 was wrongly taken as 42, we need to correct the mean by replacing 42 with 24.
The corrected total of observations = 3960 - (42 - 24)
⇒ 3960 - 18
⇒ 3942
The corrected mean = 3942/60 = 65.7
∴ The corrected mean is 65.7.

Indian Army Agniveer Mock Test - 3 - Question 4

The difference between the compound interest and the simple interest on a sum at 5% for 2 years is 2. Find that principal amount?

Detailed Solution for Indian Army Agniveer Mock Test - 3 - Question 4

Given:
Difference between CI and SI at 5% for 2 years = Rs.2 
Formulas used:
When the difference between compound and simple interest is of two years,
Difference = P × (R/100)2
Calculation:
Rs.2 = P × (5/100)2
⇒ P = 100/5 × 100/5 × 2 
⇒ P = Rs.800 
∴ The principal sum is Rs.800.

Indian Army Agniveer Mock Test - 3 - Question 5

Find the radius of a sphere having a surface area of 900 π cm2.

Detailed Solution for Indian Army Agniveer Mock Test - 3 - Question 5

Given:
Surface area = 900 cm2
Concept used:
Surface area of a sphere = 4πR2 (R being the radius of the sphere)
Calculation:
Let the radius be R cm.
According to the concept,
4πR2 = 900π 
⇒ R2 = 900/4
⇒ R = 30/2 (Considering the positive values only)
⇒ R = 15
∴ The radius of the sphere is 15 cm.

Indian Army Agniveer Mock Test - 3 - Question 6

If  then what is the value of K?

Detailed Solution for Indian Army Agniveer Mock Test - 3 - Question 6

Given:

Calculations:
[(3 × 7) + 12] ÷ [(12 × 7) + (3 × 4) - 2] = 1/K
⇒ [21 + 12] ÷ [84 + 12 - 2] = 1/K

⇒ K = 94/33
∴ The value of K is 94/33.

Indian Army Agniveer Mock Test - 3 - Question 7

 equal to which of the following?

Detailed Solution for Indian Army Agniveer Mock Test - 3 - Question 7

Given:

Formula used:

Calculation:
By using the formula (2)

By using the formula (3)

= (520 + 403)/990
= 923/990
Therefore, the correct answer is 923/990.

Indian Army Agniveer Mock Test - 3 - Question 8

A  210 m long train takes 20 seconds to cross a 370 m long platform. What is the speed of the train?

Detailed Solution for Indian Army Agniveer Mock Test - 3 - Question 8

Given:
Length of train = 210 m
Length of platform = 370 m
Time = 20 sec
Formula Used:
Speed = distance/time
Calculation:
Total distance = Length of train + Length of platform
⇒ 210 + 370 = 580
Speed of train = Total distance / time
⇒ 580/20 = 29 m/sec
Hence, Speed of train is 29 m/sec.

Indian Army Agniveer Mock Test - 3 - Question 9

The average of five consecutive odd numbers is 51. What is the difference between the highest and lowest number?

Detailed Solution for Indian Army Agniveer Mock Test - 3 - Question 9

Let the numbers be x,x+2,x+4,x+6 and x+8.
According to question,

⇒ 5x+20 = 255
⇒ x = 47
So, required difference = (47 + 8) - 47 = 8

Indian Army Agniveer Mock Test - 3 - Question 10

 

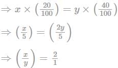
20% of a number is 40% of another number. What is the ratio of the first number to second number?

Detailed Solution for Indian Army Agniveer Mock Test - 3 - Question 10

Given:
20% of a number =40% of another number
Let, first number = x
Second number = y
According to the question,

∴ required ratio = 2 : 1.

Indian Army Agniveer Mock Test - 3 - Question 11

Two cones have their heights in the ratio 1 : 3. If the radii of their bases are in the ratio 3 : 1, then the ratio of their volumes will be:

Detailed Solution for Indian Army Agniveer Mock Test - 3 - Question 11

Given:
Two cones have their heights in the ratio 1: 3 .
The radii of their bases are in the ratio 3:1.
∵ Volume of cone = (1/3)π×( base radius )2× height
Ratio of the volume of two cones =( Ratio of base radii )× Ratio of heights
Given, ratio of base radii = 3:1 and Ratio of heights = 1:3
∴ Ratio of their volumes = (3/1)2 x (1/3) = 9/3 = 3 : 1.

Indian Army Agniveer Mock Test - 3 - Question 12

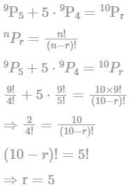
If 9P5+5⋅9P= 10Pthen the value of r is:

Detailed Solution for Indian Army Agniveer Mock Test - 3 - Question 12

Given,

Indian Army Agniveer Mock Test - 3 - Question 13

Direction: What will come in place of question mark (?) in the following question:
Q. 

Detailed Solution for Indian Army Agniveer Mock Test - 3 - Question 13

Indian Army Agniveer Mock Test - 3 - Question 14

Heena and Karan together complete a work in 12 days, if Heena works alone, she completes it in 18 days. Karan alone can complete it in how many days? 

Detailed Solution for Indian Army Agniveer Mock Test - 3 - Question 14

Given:
Number of days taken, if Heena and Karan work together =12 days
Heena alone completes the work in 18 days.
Let the number of days taken by Karan to complete work be x.
Work done in 1 days by Heena =(1/18)
Work done in 1 day by Karan =(1/x)
Work done in 1 day when both work together =(1/12)
According to question:

∴ Karan completes the work in 36 days.

Indian Army Agniveer Mock Test - 3 - Question 15

The value of two adjacent angles of a quadrilateral are 125∘ and 35∘ and the other two angles are equal. Find out the value of equal angles.

Detailed Solution for Indian Army Agniveer Mock Test - 3 - Question 15

Given,
Two angles of quadrilateral are 125º and 35º.
As we know,
Sum of all the angle in quadrilateral = 360º
∴ x + x + 125º + 35º = 360º
⇒ 2x + 160º = 360º
⇒ 2x = 360º − 160º
⇒ 2x = 200º
∴ x = 100º
Value of each equal angle = 100º.

Indian Army Agniveer Mock Test - 3 - Question 16

Who composed the Amuktamalyada, a work on statecraft in Telugu?

Detailed Solution for Indian Army Agniveer Mock Test - 3 - Question 16

Krishnadevaraya composed the Amuktamalyada, a work on statecraft in Telugu.

  • He is known to have patronised poets and issued inscriptions in languages as varied as Sanskrit, Tamil, Kannada and Telugu. 
  • His Sanskrit works include ‘Madalasa Charita’, ‘Satyavadu Parinaya’, ‘Rasamanjari’ and ‘Jambavati Kalyana’.
  • Krishnadevaraya was an emperor of the Vijayanagara Empire, also known as the Karnata Empire, reigning from 1509 to 1529.
Indian Army Agniveer Mock Test - 3 - Question 17

Which is correctly matched?

Detailed Solution for Indian Army Agniveer Mock Test - 3 - Question 17

Botanical Survey of India: Botanical Survey of India (BSI) located in Kolkata, West Bengal, India.

  • It was founded on 13 February 1890, by the Government of India Ministry of Environment, Forest and Climate Change.
  • It is an organization for the survey, research and conservation of plant wealth of India, flora and endangered species of India.
  • It also includes collecting and maintaining germplasm and gene bank of endangered, patent and vulnerable plant species.
Indian Army Agniveer Mock Test - 3 - Question 18

Famous Cave temples of Elephanta are ascribed to:

Detailed Solution for Indian Army Agniveer Mock Test - 3 - Question 18

Famous Cave temples of Elephanta are ascribed to Rashtrakoots.

  • The caves of Ellora Elephanta were built by the Rashtrakuta rulers. They have been built by cutting the walls of high basalt steep rock walls. There are about 34 caves which are located 30 km away from the district in Aurangabad district of Maharashtra state, These are declared a World Heritage Site by UNESCO.
  • The Rashtrakuta contributions to art and architectural heritage of the Deccan are reflected in the splendid rock-cut cave temples at Ellora and Elephanta, areas also occupied by Jain monks, located in present-day Maharashtra. The Ellora site was originally part of a complex of 34 Buddhist caves probably created in the first half of the 6th century whose structural details show Pandyan influence.
Indian Army Agniveer Mock Test - 3 - Question 19

Who among the following was honored with the 'Khel Ratna Award' in 2013?

Detailed Solution for Indian Army Agniveer Mock Test - 3 - Question 19

The Rajiv Gandhi Khel Ratna Award is the country's highest sports award, instituted in 1991 with the objective of promoting sports in the country. The award carries a cash amount of Rs 7.5 lakh, a medal and a citation. This award was first given to Grand Master Vishwanath Anand (Chess). 

Indian Army Agniveer Mock Test - 3 - Question 20

Which major river flows between the Vindhya and the Satpura Mountain ranges?

Detailed Solution for Indian Army Agniveer Mock Test - 3 - Question 20

Narmada river flows between the Vindhya and the Satpura Mountain ranges.

  • Vindhya Range is composed of horizontally bedded sedimentary rocks of ancient age. The Vindhyas ranges are continued eastwards as the Bharner and Kaimur hills.
  • Satpura Range is a series of Seven Mountains so it is called a Satpura range. Satpura Range contains some worked manganese and coal deposits in its southeastern flanks. It is largely forested, dissected plateau country, and it contains valuable teak stands in the west.
Indian Army Agniveer Mock Test - 3 - Question 21

Keisabadi is a popular dance form of ___________.

Detailed Solution for Indian Army Agniveer Mock Test - 3 - Question 21

Keisabadi is a popular dance form of Odisha.

  • The dance depicts the traditional love story of Lord Krishna and Radha. It is popular in the Sambalpur district of Odisha. Nritya, Nritta, and Natya are the main elements of the dance. The dance is performed by men.
Indian Army Agniveer Mock Test - 3 - Question 22

In which of the following cases did the Supreme Court of India pronounce the verdict that the basic structure of the constitution cannot be amended by the parliament?

Detailed Solution for Indian Army Agniveer Mock Test - 3 - Question 22
  • In Kesavananda Bharti vs State of Kerala case, the Supreme Court of India pronounce the verdict that the basic structure of the constitution cannot be amended by the parliament.
  • In the Keshavananda Bharti case, Supreme Court overruled its judgment in the Golak Nath case (1967). It upheld the validity of the 24th Amendment Act (1971) and stated that Parliament is empowered to abridge or take away any of the Fundamental Rights.
  • At the same time, it laid down a new doctrine of the basic structure of the constitution. The parliament reacted to it by enacting the 42nd Constitution Amendment Act, 1976, in which the Supreme Court held that the constituent power of Parliament under Article 368 does not enable it to alter the basic structure of the constitution.
Indian Army Agniveer Mock Test - 3 - Question 23

Find out the correct sequence of planetary winds found from the equator to pole:

Detailed Solution for Indian Army Agniveer Mock Test - 3 - Question 23

The correct sequence of planetary winds found from the equator to pole is Trade winds, Westerlies, Polar winds.
Trade winds:

  • These are permanent winds flowing from east to west.
  • They flow in the Earth’s equatorial region.
  • Between 30ºN and 30ºS latitudes.

Westerlies:

  • These are prevailing winds that flow from the west towards the east.
  • They flow in the Earth’s middle latitudes
  • Between 30 and 60 degrees latitude.
  • They are also called anti-trade winds.

Polar winds:

  • It is a prevailing wind blowing from the east.
  • These winds are also called polar easterlies. 
  • Between 60 and 90 degrees latitude.
Indian Army Agniveer Mock Test - 3 - Question 24

In whose court was Chanakya a minister?

Detailed Solution for Indian Army Agniveer Mock Test - 3 - Question 24
  • Chanakya was the minister of Chandragupta Maurya.
  • He assisted Chandragupta Maurya in the establishment of the Mauryan Empire by defeating Dhannanda.
  • His real name was Vishnugupta, he adopted the name Chanakya as the son of Chanak and wrote the book Arthashatra in the name of Kautilya.
  • He is considered a pioneer of politics and economics in India.
  • His book Arthasashtra still has significance in the modern world.

He told seven elements of a state which are:

  • Swami (The Ruler)
  • Amatya (The Minister)
  • Janapada (The Population)
  • Durga (The Fortified Capital)
  • Kosha (The Treasury)
  • Danda (The Army)
  • Mitra (Ally and Friend)
Indian Army Agniveer Mock Test - 3 - Question 25

Which kind of missile is BRAHMOS?

Detailed Solution for Indian Army Agniveer Mock Test - 3 - Question 25
  • The BRAHMOS is a medium-range ramjet supersonic cruise missile.
    • It's developed as a joint venture between Russia and India.
    • Developed by Defence Research and Development Organisation (DRDO) of India and the Federal State Unitary Enterprise NPO Mashinostroyenia (NPOM) of Russia.
    • BRAHMOS is the world's fastest anti-ship cruise missile in operation.
    • The name BrahMos is taken from two rivers, the Brahmaputra of India and the Moskva of Russia.
  • Agni-I, Agni-II are examples of Medium-range ballistic missiles.
  • Prahaar is an example of an Indian tactical ballistic missile.
Indian Army Agniveer Mock Test - 3 - Question 26

A judge of the High Court retires at the age of ________.

Detailed Solution for Indian Army Agniveer Mock Test - 3 - Question 26
  • The judge of High court retires at the age of 62.
  • According to Article 124(2) of the Constitution, the age of retirement for Supreme Court judges is 65.
  • As per Article 217(1) of the Constitution, High Court judges retire at 62.
  • Initially, the retirement age of High Court judges was 60, which was later in 1963 increased to 62 through the 15th constitutional amendment Bill.
  • The idea of increasing the age of retirement for judges has been mooted for decades as a solution for dealing with mounting pendency of cases and judicial vacancies. It has also been discussed in the context of ensuring serving judges do not look for post-retirement jobs from the executive.
  • Attorney General for India K K Venugopal has been one of the vocal advocates of increasing tenure of the judges, and has consistently spoken about it at every farewell of Supreme Court judges since 2017.
Indian Army Agniveer Mock Test - 3 - Question 27

Which planet is called the blue planet?

Detailed Solution for Indian Army Agniveer Mock Test - 3 - Question 27

Blue Planet is the alternate name of the planet earth.

  • The earth is the third nearest planet to the sun of the solar system where life exists.
  • It is situated 150 million km away from the sun.
  • It is geoid in shape where it is flat near the poles and bulged at the equator.
  • It contains 71% of water and appears blue in color thus referred to as a blue planet or watery planet.
  • The earth takes 24 hours to complete one rotation.
  • It is surrounded by an atmosphere that supports life on earth.

Hence, we can conclude that Earth is called the blue planet.

Indian Army Agniveer Mock Test - 3 - Question 28

The term 'Duckworth-Lewis' is associated with which sport?

Detailed Solution for Indian Army Agniveer Mock Test - 3 - Question 28
  • The Duckworth-Lewis (DLS) method is used in cricket to calculate the target score for a match interrupted by weather or other circumstances. It was created by two Britishers-Frank Duckworth and Tony Lewis.
  • The method was formerly known as the Duckworth–Lewis method and it was adopted officially by the ICC in 1999.
  • Tony Lewis, one of the men behind the Duckworth-Lewis-Stern method used in weather-affected limited-overs cricket matches passed away in April 2020.
Indian Army Agniveer Mock Test - 3 - Question 29

What is the motto of the Indian Army?

Detailed Solution for Indian Army Agniveer Mock Test - 3 - Question 29

Indian Army

  • Army Day: 15 January
  • Motto: Service Before Self
  • Chief of the Army Staff: General Manoj Pande
  • Vice-Chief of the Army Chief: Lieutenant General Baggavalli Somashekar Raju

Indian Army Agniveer Mock Test - 3 - Question 30

Which national leader was the editor of the Marathi newspaper, Kesari?

Detailed Solution for Indian Army Agniveer Mock Test - 3 - Question 30

Lokmanya Tilak founded the Marathi newspaper Kesari in 1881.

  • Bal Gangadhar Tilak:
    • Birth: July 23, 1856
    • Death:  August 1, 1920
    • He owned and edited two weekly newspapers, Kesari (“The Lion”) which was published in Marathi, and The Mahratta, which was published in English.
  • Young India was a weekly paper in English published by Gandhiji. It was started in 1919.
  • Yugantar was a Bengali newspaper published by Bhupendranath Datta and Barinder Kumar Ghosh. It was started in 1906.
  • Sudharak was started by Gopal Ganesh Agarkar. 
View more questions
Information about Indian Army Agniveer Mock Test - 3 Page
In this test you can find the Exam questions for Indian Army Agniveer Mock Test - 3 solved & explained in the simplest way possible. Besides giving Questions and answers for Indian Army Agniveer Mock Test - 3, EduRev gives you an ample number of Online tests for practice
Download as PDF