RRB NTPC/ASM/CA/TA Exam  >  RRB NTPC/ASM/CA/TA Tests  >  RRB Staff Nurse Mock Test - 10 - RRB NTPC/ASM/CA/TA MCQ

RRB Staff Nurse Mock Test - 10 - RRB NTPC/ASM/CA/TA MCQ


Test Description

30 Questions MCQ Test - RRB Staff Nurse Mock Test - 10

RRB Staff Nurse Mock Test - 10 for RRB NTPC/ASM/CA/TA 2025 is part of RRB NTPC/ASM/CA/TA preparation. The RRB Staff Nurse Mock Test - 10 questions and answers have been prepared according to the RRB NTPC/ASM/CA/TA exam syllabus.The RRB Staff Nurse Mock Test - 10 MCQs are made for RRB NTPC/ASM/CA/TA 2025 Exam. Find important definitions, questions, notes, meanings, examples, exercises, MCQs and online tests for RRB Staff Nurse Mock Test - 10 below.
Solutions of RRB Staff Nurse Mock Test - 10 questions in English are available as part of our course for RRB NTPC/ASM/CA/TA & RRB Staff Nurse Mock Test - 10 solutions in Hindi for RRB NTPC/ASM/CA/TA course. Download more important topics, notes, lectures and mock test series for RRB NTPC/ASM/CA/TA Exam by signing up for free. Attempt RRB Staff Nurse Mock Test - 10 | 100 questions in 90 minutes | Mock test for RRB NTPC/ASM/CA/TA preparation | Free important questions MCQ to study for RRB NTPC/ASM/CA/TA Exam | Download free PDF with solutions
RRB Staff Nurse Mock Test - 10 - Question 1

Amber is a 39-year-old woman who is experiencing secondary dysmenorrhea. The nurse knows that Amber could be suffering from which of the following?

Detailed Solution for RRB Staff Nurse Mock Test - 10 - Question 1

The nurse knows that Amber could be suffering from Endometriosis.

RRB Staff Nurse Mock Test - 10 - Question 2

What does dark yellow or green sputum mean?

Detailed Solution for RRB Staff Nurse Mock Test - 10 - Question 2

Dark yellow or green sputum often means a bacterial infection, such as pneumonia. Yellowish-green sputum is also common in people with cystic fibrosis. Cystic fibrosis is an inherited disease that causes mucus to build up in the lungs and other organs.

RRB Staff Nurse Mock Test - 10 - Question 3

For the treatment of head lice commonly used:

Detailed Solution for RRB Staff Nurse Mock Test - 10 - Question 3

For the treatment of head lice commonly used 0.5 percent malathion.

  • Head lice are tiny insects that feed on blood from the human scalp.
  • It most often affects children.
  • It spreads through direct transfer from the hair of one person to the hair of another.

0.5 per cent malathion:

  • It belongs to a class of drugs known as organophosphates.
  • It is used to treat head lice that are present on the scalp.
  • It paralyzes and kills lice and their eggs.
  • This medication is used for hair and scalp only.
RRB Staff Nurse Mock Test - 10 - Question 4

What is the responsibility of ward sister or Nursing Supervisor?

Detailed Solution for RRB Staff Nurse Mock Test - 10 - Question 4

In ward sister or Nursing Supervisor, a nurse is in charge of the nursing care management of a ward or unit and reports to the nursing superintendent. The ward sister is the first level supervisor and team leader of the unit. She is directly accountable to the Nursing Superintendent through Deputy Nursing Superintendent for ward management and patient care.

RRB Staff Nurse Mock Test - 10 - Question 5

Women infected with human papilloma virus are likely to be at risk of:

Detailed Solution for RRB Staff Nurse Mock Test - 10 - Question 5

Women infected with human papilloma virus are likely to be at risk of Cervical Cancer.

  • Cervical cancer is the third most cancer worldwide.
  • Cervical cancers are malignant tumours arising from the cells of the cervix.
  • Infection with HPV accounts for 90% of cases of cervical cancer.
  • About half of the sexually transmitted HPVs are associated with cervical cancer.

Other risk factors:

  • Smoking
  • Weakened immune system
  • Multiple pregnancies
  • Low maternal age
  • Long-term use of contraceptive pills
  • Family history.
RRB Staff Nurse Mock Test - 10 - Question 6

The term used to denote when a woman is having more than one husband at one time:

Detailed Solution for RRB Staff Nurse Mock Test - 10 - Question 6

Polyandry used to denote when a woman is having more than one husband at one time.

  • Polyandry -It is a form of polygamy in which a woman takes two or more husbands at the same time. Polyandry is contrasted with polygyny, involving one male and two or more females.
  • Monogamy- The practice or condition of being married to only one person at a time.
  • Polygamy- The condition or practise of having more than one spouse at one time.
  • Group marriage - Group marriage or conjoint marriage is a marital arrangement where three or more adults enter into sexual, affective, romantic, or otherwise intimate short- or long-term partnerships, and share in any combination of finances, residences, care or kin work. Group marriage is considered a form of polygamy.
RRB Staff Nurse Mock Test - 10 - Question 7

The source of HCG is:

Detailed Solution for RRB Staff Nurse Mock Test - 10 - Question 7

The source of HCG is Syncytiotrophoblast.

  • Syncytiotrophoblast is the placental barrier between maternal and fetal blood.
  • The Syncytiotrophoblast is the major site of HCG production during pregnancy.
  • The Syncytiotrophoblast is the epithelial covering of highly vascular embryonic placental villi.
  • Apart from hCG, it produces human placental lactogen (HPL).
  • hCG prevents the degeneration of corpus luteum.
RRB Staff Nurse Mock Test - 10 - Question 8

Crescent-shaped or banana-shaped gametocytes are seen in infection with:

Detailed Solution for RRB Staff Nurse Mock Test - 10 - Question 8

Crescent-shaped or banana-shaped gametocytes are seen in infection with Plasmodium falciparum.

Plasmodium falciparum is named for the crescent or falciform shape it adopts when preparing to undergo transfer to a mosquito vector. By contrast, gametocytes of the other (less virulent) human malaria parasites retain a more rounded shape.

RRB Staff Nurse Mock Test - 10 - Question 9

Which type of abortion is associated with sepsis, cramping, abdominal tenderness, and an open cervical os?

Detailed Solution for RRB Staff Nurse Mock Test - 10 - Question 9

Missed abortion is associated with sepsis, cramping, abdominal tenderness, and an open cervical os.

A missed abortion is marked by the death of the fetus in utero but is not expelled from the uterus. If left untreated can lead to infection in the womb, it is marked by foul odor and bleeding as well as an elevated temperature and sepsis.

RRB Staff Nurse Mock Test - 10 - Question 10

Which of the following is a part of the psychosocial domain?

Detailed Solution for RRB Staff Nurse Mock Test - 10 - Question 10

Style of behaving is a part of the psychosocial domain.

A behavioural style refers simply to how someone acts at any one time. The four behavioural styles we are primarily interested in are the aggressive, passive, assertive and upset styles.

RRB Staff Nurse Mock Test - 10 - Question 11

A male client is being treated for alcoholism. After a family meeting, the client’s spouse asks the nurse about ways to help the family deal with the effects of alcoholism. Nurse Lily should suggest that the family join which organization?

Detailed Solution for RRB Staff Nurse Mock Test - 10 - Question 11

The family should join Al-Anon organisation.

Al-Anon is an organization that assists family members to share common experiences and increase their understanding of alcoholism. Al-Anon members come to understand problem drinking as a family illness that affects everyone in the family. This insight put them in a better position to play a positive role in the family’s future.

RRB Staff Nurse Mock Test - 10 - Question 12

According to the Census of India, which year is known as the 'Year of the Big Divide'?

Detailed Solution for RRB Staff Nurse Mock Test - 10 - Question 12

According to the Census of India, 1921 is known as the 'Year of the Big Divide'.

  • The year 1921 is often referred to as the "Year of the Great Partition", the last period in which India's population declined drastically due to the effects of the famine.
  • After 1921, India's population growth remained steady.
  • The year 1921 is known as the demographic split because prior to this year, the population was not stable, sometimes it increased and sometimes decreased.
  • Before 1921 the scale of population growth was generally low. But after this year there has been a considerable and continuous increase in the population.
  • After that, it is growing rapidly. Hence the year 1921 is rightly called the Year of the Demographic Divide or the Great Divide.
RRB Staff Nurse Mock Test - 10 - Question 13

__________________ are specialized nurses who monitor their patient’s cardiac rhythms using remote electronic signals and respond to any changes.

Detailed Solution for RRB Staff Nurse Mock Test - 10 - Question 13

Telemetry nurses are specialized nurses who monitor their patient’s cardiac rhythms using remote electronic signals and respond to any changes. Patients with preexisting heart conditions, the elderly, obese patients, diabetics, and transfers from the ICU and ER are the majority of their patients.

RRB Staff Nurse Mock Test - 10 - Question 14

Which of the following medicine can be used for suppression of lactation?

Detailed Solution for RRB Staff Nurse Mock Test - 10 - Question 14

Tab. Cabergoline medicine can be used for suppression of lactation.

Lactation is the process of making human milk. Human milk is secreted through the mammary glands, which are located in your breasts.

Cabergoline helps in the treatment of disorders that occur as a result of very high levels of the hormone prolactin in the body.

RRB Staff Nurse Mock Test - 10 - Question 15

The three-tier system of Panchayati Raj was recommended by:

Detailed Solution for RRB Staff Nurse Mock Test - 10 - Question 15

The three-tier system of Panchayati Raj was recommended by Balwant Rai Mehta Committee.

The Balwant Rai Mehta Committee was a committee appointed by the Government of India in January 1957 to examine the working of the Community Development Programme (1952). The Act aims to provide a 3-tier system of Panchayati Raj for all States having a population of over 2 million, to hold Panchayat elections regularly.

RRB Staff Nurse Mock Test - 10 - Question 16

A clinical nurse specialist is a nurse who has:

Detailed Solution for RRB Staff Nurse Mock Test - 10 - Question 16

A clinical nurse specialist is a nurse who has completed a master’s degree in the prescribed clinical area and is a registered professional nurse.

A clinical nurse specialist (CNS) is a graduate-level registered nurse who is certified in a specialty of choice. Obtaining specialty certification demonstrates an advanced level of knowledge as well as advanced clinical skills in a niche area of nursing. There are differences between a nurse practitioner (NP) and CNS.

RRB Staff Nurse Mock Test - 10 - Question 17

Which one of the following is the objective of LHV?

Detailed Solution for RRB Staff Nurse Mock Test - 10 - Question 17

Objectives of LHV:

  • Trainee should be able to plan, organize, implement and evaluate health education programme
  • Trainee should be able to conduct training of dais with the help of Auxiliary Nurse Midwives.
  • Trainee should be able to acquire knowledge in the basic principles of supervision and management.
  • Trainee should be able to identify and utilize the educational opportunities in her day today work as Health Supervisor(F).
  • Trainee should be able to understand the existing health services in the country and the role of Health Supervisor for extending health for all by 2000 AD.
  • Trainee should be able to plan to develop skill in assisting the research operation or survey studies in her field.
RRB Staff Nurse Mock Test - 10 - Question 18

Which of the following is not an injectable contraceptive?

Detailed Solution for RRB Staff Nurse Mock Test - 10 - Question 18

Progestasrt is not an injectable contraceptive.

  • Progestasert is an intra-uterine device.
  • This is an intra-uterine steroid delivery system.
  • The Progestasert system combines the advantages of IUDs and oral mini dosage of progestogen.
  • It is T-shaped.
  • The progestagen system releases 65 mcg/day.
RRB Staff Nurse Mock Test - 10 - Question 19

In which year the Dowry System Abolition Act was given?

Detailed Solution for RRB Staff Nurse Mock Test - 10 - Question 19

The Dowry System Abolition Act was given In 1961.

  • The Dowry System Abolition Act, an Indian law, passed on May 1, 1961, aimed to prevent the giving or receiving of dowry.
  • Under the Dowry System Abolition Act, dowry includes any transaction of property, goods or money given by either party to the marriage, by the parents of either party or by someone else in connection with the marriage.
  • Penalty for giving and taking dowry is punishable with imprisonment which might extend to 6 months or fine up to five thousand rupees or with both

Causes of dowry:

  • Economic Factors
  • Social Factors
  • Religious Factors
RRB Staff Nurse Mock Test - 10 - Question 20

Match the following and choose the correct:

Detailed Solution for RRB Staff Nurse Mock Test - 10 - Question 20

The correct match is: i - c, ii - a, iii - b, iv - d.

(i - c): Plasmodium malariae is a parasitic protozoan that causes malaria in humans. It is one of several species of Plasmodium parasites that infect other organisms as pathogens, also including Plasmodium falciparum and Plasmodium vivax, responsible for most malarial infection.

(ii - a): Entamoeba histolytica is an anaerobic parasitic amoebozoan, part of the genus Entamoeba. Predominantly infecting humans and other primates causing amoebiasis, Entamoeba histolytica is estimated to infect about 35-50 million people worldwide. Entamoeba histolytica infection is estimated to kill more than 55,000 people each year.

(iii - b): Tuberculosis (TB) is caused by a bacterium called Mycobacterium tuberculosis. The bacteria usually attack the lungs, but TB bacteria can attack any part of the body such as the kidney, spine, and brain. Not everyone infected with TB bacteria becomes sick. As a result, two TB-related conditions exist: latent TB infection (LTBI) and TB disease. If not treated properly, TB disease can be fatal.

(iv - d): Cholera is a potential epidemic and life-threatening secretory diarrhoea characterized by numerous, voluminous watery stools, often accompanied by vomiting, and resulting in hypovolemic shock and acidosis. It is caused by certain members of the species Vibrio cholerae which can also cause mild or inapparent infections. Other members of the species may occasionally cause isolated outbreaks of milder diarrhoea whereas others—the vast majority—are free-living and not associated with the disease.

RRB Staff Nurse Mock Test - 10 - Question 21

Which of the following is false regarding oral contraceptives?

Detailed Solution for RRB Staff Nurse Mock Test - 10 - Question 21

They may decrease the severity of menstrual cramps is false regarding oral contraceptives.

Oral contraceptives may increase the risk of breast cancer, increase the risk of depression, and increase the risk of developing a blood clot (higher in women who smoke cigarettes). They can reduce the risk of uterine cancer and are frequently used in women with primary dysmenorrhea. Primary dysmenorrhea refers to painful menstrual cycles without an underlying cause.

RRB Staff Nurse Mock Test - 10 - Question 22

Development of human being is influenced by:

Detailed Solution for RRB Staff Nurse Mock Test - 10 - Question 22

The development of human beings is influenced by heredity and the environment. Different characteristics of growth and development of human beings like intelligence, aptitudes, body structure, height, weight, color of hair and eyes are highly influenced by heredity. Some behavioral traits are dependent upon one’s environment, home, or culture, such as the language one speaks, the religion one practices, and the political party one supports.

RRB Staff Nurse Mock Test - 10 - Question 23

Which regulatory body launched the "T+0 settlement" beta version on an optional basis?

Detailed Solution for RRB Staff Nurse Mock Test - 10 - Question 23

The Securities and Exchange Board of India (SEBI) introduced the beta version of the T+0 settlement, allowing same-day settlement on an optional basis to enhance market efficiency and reduce transactional risks in India's capital markets.

RRB Staff Nurse Mock Test - 10 - Question 24

In a community, there are unimmunized children with rashes. Which of the following observations indicates that children can get rubella (measles)?

Detailed Solution for RRB Staff Nurse Mock Test - 10 - Question 24

In rubella infection, small bluish-white spots appear on the mucosa of the mouth.

The spots are small bluish-white spots that appear on the oral mucosa and are a symptom of measles infection. These spots usually appear 1-2 days before the appearance of the rash and persist for up to 2 days after the rash appears. As soon as the rash appears, they begin to disappear.

RRB Staff Nurse Mock Test - 10 - Question 25

Nurse knows that the positive diagnosis of HIV infection is made based on which of the following:

Detailed Solution for RRB Staff Nurse Mock Test - 10 - Question 25

These tests confirm the presence of HIV antibodies that occur in response to the presence of the human immunodeficiency virus (HIV). When there is a possibility of acute or early HIV infection, the most sensitive screening immunoassay available (ideally, a combination antigen/antibody immunoassay) in addition to an HIV virologic (viral load) test is performed. The Western blot test separates the blood proteins and detects the specific proteins (called HIV antibodies) that indicate an HIV infection. The Western blot is used to confirm a positive ELISA, and the combined tests are 99.9% accurate.

RRB Staff Nurse Mock Test - 10 - Question 26

Which of the following natural substances contains iron (Fe)?

Detailed Solution for RRB Staff Nurse Mock Test - 10 - Question 26

Myoglobin is a natural substances that contains iron (Fe). Myoglobin is a protein found in the muscle cells of animals.

RRB Staff Nurse Mock Test - 10 - Question 27

An aneurysm is a bulging in the weak wall of a _________________.

Detailed Solution for RRB Staff Nurse Mock Test - 10 - Question 27

An aneurysm is a bulging in the weak wall of an artery. An aneurysm is a bulge in a blood vessel caused by a weakness in the blood vessel wall, usually where it branches. As blood passes through the weakened blood vessel, the blood pressure causes a small area to bulge outwards like a balloon.

RRB Staff Nurse Mock Test - 10 - Question 28

In June 2021, a team of scientists from IIT Kharagpur studied the Climate projections of sea-level rise and associated coastal inundation in which of the following islands?

Detailed Solution for RRB Staff Nurse Mock Test - 10 - Question 28

A team of scientists studied the climate projections of sea-level rise and associated coastal inundation in Lakshadweep Islands, a ring-shaped coral reef or island.

Sea levels will rise around the Lakshadweep Islands between 0.4 mm per year to 0.9 mm per year and will affect airport and residential areas, according to a study projecting different greenhouse gas scenarios.

The team jointly from the IIT Kharagpur with support from the Department of Science and Technology, Government of India, conducted the study under the Climate Change Programme (CCP).

RRB Staff Nurse Mock Test - 10 - Question 29

Which of the following best describes Microdot Technology, recently seen in news?

Detailed Solution for RRB Staff Nurse Mock Test - 10 - Question 29

Ministry of Road has proposed implementing traceable-technology-for-vehicle-components.

The proposal is to use a technology termed microdot which requires spraying the body and parts of the vehicle or any other machine with microscopic dots that can be read with a microscope and identified with an ultraviolet light source, which gives a unique identification. The use of this technology will help check the theft of vehicles and also the use of fake spare parts.

RRB Staff Nurse Mock Test - 10 - Question 30

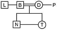
P, L, T, B, N and D are six members of a business family. N is the son of B, who is not the mother of N. L is the brother of B. D and B are a married couple. T is the daughter of D, who is the sister of P. How is N related to T?

Detailed Solution for RRB Staff Nurse Mock Test - 10 - Question 30

The possible tree diagram will be:

So, N is the brother of T.

View more questions
Information about RRB Staff Nurse Mock Test - 10 Page
In this test you can find the Exam questions for RRB Staff Nurse Mock Test - 10 solved & explained in the simplest way possible. Besides giving Questions and answers for RRB Staff Nurse Mock Test - 10, EduRev gives you an ample number of Online tests for practice
Download as PDF