SSC Stenographer Exam  >  SSC Stenographer Tests  >  SSC Stenographer Mock Test - 3 - SSC Stenographer MCQ

SSC Stenographer Mock Test - 3 - SSC Stenographer MCQ


Test Description

30 Questions MCQ Test - SSC Stenographer Mock Test - 3

SSC Stenographer Mock Test - 3 for SSC Stenographer 2025 is part of SSC Stenographer preparation. The SSC Stenographer Mock Test - 3 questions and answers have been prepared according to the SSC Stenographer exam syllabus.The SSC Stenographer Mock Test - 3 MCQs are made for SSC Stenographer 2025 Exam. Find important definitions, questions, notes, meanings, examples, exercises, MCQs and online tests for SSC Stenographer Mock Test - 3 below.
Solutions of SSC Stenographer Mock Test - 3 questions in English are available as part of our course for SSC Stenographer & SSC Stenographer Mock Test - 3 solutions in Hindi for SSC Stenographer course. Download more important topics, notes, lectures and mock test series for SSC Stenographer Exam by signing up for free. Attempt SSC Stenographer Mock Test - 3 | 200 questions in 120 minutes | Mock test for SSC Stenographer preparation | Free important questions MCQ to study for SSC Stenographer Exam | Download free PDF with solutions
SSC Stenographer Mock Test - 3 - Question 1

Directions: In the following questions, a matrix of certain characters is given. These characters follow a certain trend, row-wise or column wise. Find out this trend and choose the missing character accordingly.

Detailed Solution for SSC Stenographer Mock Test - 3 - Question 1

The pattern followed in the given series is:
(Fourth term - Second term) ÷ First term = Third term
Now we appl the pattern on the given columns:
Column 1: (29 - 8) ÷ 7 = 3
21 ÷ 7 = 3
3 = 3
Column 2: (19 - 7) ÷ 4 = 3
12 ÷ 4 = 3
3 = 3
Column 3: (31 - 6) ÷ 5 = ?
25 ÷ 5 = ?
5 = Answer
Hence, the correct answer is option (3).

SSC Stenographer Mock Test - 3 - Question 2

One day, Rekha was standing facing the east. She then turned 90 degrees right and then turned 45 degrees in the anti-clockwise direction. She then turned 90 degrees clockwise. Which direction is she facing now?

Detailed Solution for SSC Stenographer Mock Test - 3 - Question 2

Given:

  1. Rekha was standing facing the east.
  2. Then turned 90 degrees right.
  3. Then turned 45 degrees in the anti-clockwise direction.
  4. Then turned 90 degrees clockwise.

According to the given information, we get the following figure

Therefore, the direction Rekha is facing right now is South - West.

Hence, the correct answer is "South - West".

SSC Stenographer Mock Test - 3 - Question 3

From the given alternative figures, select the figure in which the question figure is embedded.

Detailed Solution for SSC Stenographer Mock Test - 3 - Question 3

The embedded part of image is:

Hence, the correct answer is "Option (A)".

SSC Stenographer Mock Test - 3 - Question 4

In a certain code language

A + B means ‘A is the mother of B’

A – B means ‘A is the brother of B’

A × B means ‘A is the wife of B’

A ÷ B means ‘A is the father of B’

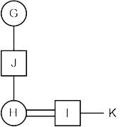
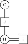
Based on the above, how is G related to K if ‘G + J ÷ H × I − K’?

Detailed Solution for SSC Stenographer Mock Test - 3 - Question 4

Decoding the Symbols:

Given: G + J ÷ H × I − K

G + J → G is the mother of J.

J ÷ H → J is the father of H.

H × I → H is the wife of I.

I − K → I is the brother of K.

Here, G is the brother’s wife’s father’s mother of K.
Hence, the correct answer is "Option B".

SSC Stenographer Mock Test - 3 - Question 5

If 'A' means '+', 'B' means '-', 'C' means '×' and 'D' means '÷', then find the value of (1 D 1 C 1) A (2 C 2 D 2) A (3 D 3 C 3) B (4 C 4 D 4).

Detailed Solution for SSC Stenographer Mock Test - 3 - Question 5

Given Equation: (1 D 1 C 1) A (2 C 2 D 2) A (3 D 3 C 3) B (4 C 4 D 4)

BODMAS Rule:

Decoding the given information:

Now replacing the sign from left to right using BODMAS Rule, we get:

⇒ (1 ÷ 1 × 1) + (2 × 2 ÷ 2) + (3 ÷ 3 × 3) - (4 × 4 ÷ 4)

⇒ (1 × 1) +(2 × 1) + (1 × 3)- (4 × 1)

⇒ 1 + 2 + 3 - 4

6 - 4

⇒ 2

Hence, the correct option is "Option B".

SSC Stenographer Mock Test - 3 - Question 6

Which answer figure will complete the pattern of the question figure?

Question Figure

Answer Figure

Detailed Solution for SSC Stenographer Mock Test - 3 - Question 6

The figure that will replace the question mark (?) in the following figure series is shown below:

Hence, ‘option (b)’ is the correct answer.

SSC Stenographer Mock Test - 3 - Question 7

In a code language, if GREAT is written as 718222620 and MONK is written as 13121411, then how will VIGOROUS be written in the same language?

Detailed Solution for SSC Stenographer Mock Test - 3 - Question 7

The logic followed here is;

Logic: Vowel → Positional Values of Reverse Positional alphabets.

Consonant → Positional value of the alphabets.

For GREAT is written as 718222620;

For, MONK is written as 13121411;

Similarly, for VIGOROUS;

So, VIGOROUS is written as 22187121812619.

Hence, the correct answer is Option (1).

SSC Stenographer Mock Test - 3 - Question 8

Select the set in which the numbers are related in the same way as are the numbers of the given set. (NOTE: Operations should be performed on the whole numbers, without breaking down the numbers into its constituent digits. E.g. 13 – Operations on 13 such as adding / substracting / multiplying etc. to 13 can be performed. Breaking down 13 into 1 and 3 and then performing mathematical operations on 1 and 3 is not allowed.)

(4, 42, 17)

(6, 86, 37)

Detailed Solution for SSC Stenographer Mock Test - 3 - Question 8

The logic followed here is,
Logic: Second Number = (First Number + Third Number) × 2
(4, 42, 17)

→ 42 = (4 + 17) × 2
→ 42 =
21 × 2

(6, 86, 37)
→ 86 = (6 + 37) × 2
→ 86 = 43 × 2

Now, let's check each option,

1) (8, 164, 65)
→ 164 = (8 + 65) × 2
→ 164 ≠ 73 × 2

2) (9, 180, 82)
→ 180 = (9 + 82) × 2
→ 180 ≠ 91 × 2

3) (5, 52, 26)
→ 52 = (5 + 26) × 2
→ 52 ≠ 31 × 2

4) (7, 114, 50)
→ 114 = (7 + 50) × 2
→ 114 = 57 × 2 ⇒ Satisfies the logic.

Here, we can see that only Option (d) satisfies the logic.
Hence, the correct answer is "(7, 114, 50)".

SSC Stenographer Mock Test - 3 - Question 9
What traditional items from Tripura received the GI tag in March 2024?
Detailed Solution for SSC Stenographer Mock Test - 3 - Question 9

The correct answer is Tripureswari temple’s Pera and Rignai Pachra textile

In News

  • Two indigenous products of Tripura, the ‘Pera’ of Tripureswari temple and the ‘Rignai Pachra’, have been accorded the geographical indication (GI) tag.

Key Points

  • The announcement was made by Chief Minister Manik Saha
  • The ‘Pera’ refers to the prasad of Tripureswari temple, while the ‘Rignai Pachra’ is a traditional cloth worn by women of indigenous tribes.
  • Earlier in the month, another indigenous cloth called ‘Risa’ had also received the GI tag.
  • These efforts aim to protect and promote the unique cultural heritage and traditional craftsmanship of Tripura's indigenous communities.
SSC Stenographer Mock Test - 3 - Question 10
Fiscal deficit implies:
Detailed Solution for SSC Stenographer Mock Test - 3 - Question 10

The correct answer is Total expenditure - (Revenue receipts + recovery of loans + receipts from disinvestment).

Key Points

  • Fiscal deficit implies=Total expenditure - (Revenue receipts + recovery of loans + receipts from disinvestment).

Additional Information

  • Fiscal deficit = Total Expenditure – Total Revenue (excluding the borrowings)
    • The fiscal deficit is seen in all economies, while the surplus is considered a rare occurrence. A high fiscal deficit is not always seen as bad for the economy it is good if the amount is used in constructing roads, railways, airports, etc. These will be generating revenue for the government after a certain period.
  • Components of Fiscal Deficit
    • The fiscal deficit is composed of two components, namely income and expenditure.
  • Components of Total Income of the government
    • These consist of two variables, which are revenue generated from various taxes such as GST, taxes from union territories, custom duties, corporation tax, etc. collected by the center, and the non-tax revenues which consist of dividends and profits, interest receipts, and other non-tax revenues.
  • Components of Expenditure
    • The government expenditure consists of capital expenditure, revenue expenditure such as salary and pension payments, grants for creation of capital assets, infrastructure, healthcare, and interest payments.
    • The fiscal deficit is calculated as a percentage of the GDP (Gross Domestic Product).
SSC Stenographer Mock Test - 3 - Question 11
Which program was recently launched by Prime Minister Narendra Modi to promote cleanliness at pilgrimage sites?
Detailed Solution for SSC Stenographer Mock Test - 3 - Question 11
The correct answer is Swachh Mandir Campaign. In News
  • PM Modi launched 'Swachh Mandir' Campaign for Clean Pilgrimage Sites.

Key Points

  • Prime Minister Narendra Modi recently launched the 'Swachh Mandir' Campaign, a nationwide initiative focused on cleanliness at pilgrimage sites.
  • This launch has been timed ahead of the upcoming consecration of the Ram temple in Ayodhya on January 22nd.
  • PM Modi has called upon Indian citizens to join hands in this campaign, with the specific goal of making Ayodhya the cleanest city in India.
  • He further urged people to initiate cleanliness campaigns at smaller pilgrimage sites beginning from Makar Sankranti (January 14) and continue until January 22.
  • The campaign is inclusive and aims to involve all elected representatives, such as MPs, MLAs, and panchayat representatives, to work together for the success of the initiative.
  • Party functionaries are tasked with identifying relevant places of worship where the campaign will be rolled out ahead of the consecration ceremony.
SSC Stenographer Mock Test - 3 - Question 12
Which among the following instruments is used to measure either direct or alternating electric current?
Detailed Solution for SSC Stenographer Mock Test - 3 - Question 12

The correct answer is Ammeter.

Key Points

  • Ammeter
    • An ammeter is an instrument that is used to measure the current in the circuit.
    • It measures either direct or alternating electric current, in amperes (A).
    • It has a set of coils with very low resistance and inductive reactance.
    • This allows for very low impedance, the force that opposes electric current.

Additional Information

  • Wattmeter
    • The wattmeter is an instrument for measuring the electric active power in watts of any given circuit.
    • Electromagnetic wattmeters are used for the measurement of utility frequency and audio frequency power; other types are required for radio frequency measurements.
  • Hygrometer
    • Hygrometer instrument used in meteorological science to measure the humidity or amount of water vapour in the air.
  • Pyrometer
    • A pyrometer is a type of remote-sensing thermometer used to measure the temperature of distant objects
SSC Stenographer Mock Test - 3 - Question 13
Tribromomethane is a synonym for which brominated organic solvent?
Detailed Solution for SSC Stenographer Mock Test - 3 - Question 13

The correct answer is Bromoform.

Key Points

  • Tribromomethane:-
    • It is a synonym for bromoform. Bromoform is a colorless liquid with a sweet, chloroform-like odor.
    • It is used as a solvent in the production of pharmaceuticals, pesticides, and plastics.
    • Bromoform is also a byproduct of the chlorination of water.
    • Here are some other brominated organic solvents:
      • Dibromomethane
      • Bromodichloromethane
      • Dibromoethane
      • Tetrabromoethane

Additional Information

  • Diborane:-
    • It is also known as diboron monoxide or boron hydride, is a chemical compound with the formula B2H6.
    • It is a colorless, highly toxic gas with a pungent odor. Diborane is used as a reducing agent in organic synthesis and as a dopant in the semiconductor industry.
  • Borazine:-
    • It is also known as boron nitride trimethyl or BNH6, is a chemical compound with the formula B3H6N3.
    • It is a colorless liquid with a pungent odor. Borazine is used as a precursor to other boron compounds and as a fuel additive.
  • Bromosuccinimide:-
    • It is also known as NBS or 2,5-dibromo-1,3-pyrroledinone, is a chemical compound with the formula C4H4Br2NO.
    • It is a white, crystalline solid with a slight odor. Bromosuccinimide is used as a brominating agent in organic synthesis.
SSC Stenographer Mock Test - 3 - Question 14

Pandit Bhimsen Joshi was an exponent of which form of Hindustani classical music?

Detailed Solution for SSC Stenographer Mock Test - 3 - Question 14

The correct answer is Khayal.
Key Points

  • Pandit Bhimsen Joshi was a legendary figure in the world of Hindustani classical music, celebrated for his remarkable contributions.
  • He was an exponent of the Khayal genre, which is a form of Hindustani classical singing known for its improvisation and flexibility, distinguishing itself from other classical forms with its intricate and expressive renditions.
  • Khayal, which means "imagination" in Persian, allows performers to express their creativity and emotional depth through both the lyrics and the music.
  • Pandit Bhimsen Joshi's performances were characterized by his powerful voice, technical skill, and deep emotional expression, making him one of the most revered Khayal vocalists of his time.

Additional Information

SSC Stenographer Mock Test - 3 - Question 15
Which of the following words is not included in the Preamble of the Constitution of India?
Detailed Solution for SSC Stenographer Mock Test - 3 - Question 15

The correct answer is Capitalist.Key Points

  • The ‘Preamble’ of the Constitution of India:
    • After the 42nd amendment, three new terms "Socialist, Secular, and Integrity" were added to the Preamble.
    • 42nd Amendment Act, 1976 is one of the most important amendments to the Indian Constitution.
    • It was enacted by the Indian National Congress headed by Indira Gandhi then.
    • Due to the large number of amendments this act has brought to the Indian Constitution, it is also known as the ‘Mini-Constitution.’
    • Only one time the Preamble was amended in 1976 till date.
    • Thus, we can say that the words "Socialist and Secular" were added to the Preamble through the 42nd Amendment Act, 1976.

Additional Information

  • A preamble is an introductory statement in a document that explains the document’s philosophy and objectives.
  • In a Constitution, it presents the intention of its framers, the history behind its creation, and the core values and principles of the nation.
  • The preamble basically gives an idea of the following things/objects:
    • Source of the Constitution
    • Nature of Indian State
    • Statement of its objectives
    • Date of its adoption​
SSC Stenographer Mock Test - 3 - Question 16

Select the most appropriate option to fill in the blank no 2.

Detailed Solution for SSC Stenographer Mock Test - 3 - Question 16

The correct answer is- 'deficit'.
Key Points

  • Let's refer to the passage, 'The detailed project report of KBLP prepared by the project proponent National Water Development Agency (NWDA) says: “The main objective of the Ken-Betwa link project is to make available water to water__(2)__ areas of the upper Betwa basin ”.
  • From the above lines, it can be inferred that there is a water project.
  • These types of project are implemented to improve the current situations.
  • Meaning of deficit: Shortage
    • Example: Many countries have a big deficit in the food supply.
  • Therefore, the usage of 'deficit' is most appropriate here.
  • Hence, option C is the correct answer.

The correct sentence is: The detailed project report of KBLP prepared by the project proponent National Water Development Agency (NWDA) says: “The main objective of the Ken-Betwa link project is to make available water to water deficit areas of the upper Betwa basin".

Additional Information

SSC Stenographer Mock Test - 3 - Question 17

Select the most appropriate option to fill in the blank no 5.

Detailed Solution for SSC Stenographer Mock Test - 3 - Question 17

The correct answer is- 'improving'.
Key Points

  • Let's refer to the passage, 'There is a great scope for______ (5) ______ the water availability in Bundelkhand from existing resources and projects, which can be achieved faster and much cheaper'.
  • The given sentence is talking about the positive outcome that can be achieved.
  • Meaning of improving: to (cause something to) get better.
    • Example: He did a lot to improve conditions for factory workers.
  • Therefore, the usage of 'improving' is most appropriate here because the sentence is indicating that existing resources and projects will make the availability of water to get better.
  • Hence, option B is the correct answer.

The correct sentence is: There is a great scope for improving the water availability in Bundelkhand from existing resources and projects, which can be achieved faster and much cheaper.'
Additional Information

SSC Stenographer Mock Test - 3 - Question 18

Select the most appropriate option to fill in the blank no 10.

Detailed Solution for SSC Stenographer Mock Test - 3 - Question 18

The correct answer is- 'scrutiny'.
Key Points

  • Let's refer to the passage, 'But the hydrological data that is claimed to support that premise is not in the public domain and has never been put to ______(10) ______ by any independent credible agency.'
  • From the above line, it is clear that no detailed examination of the project has been done.
  • Meaning of scrutiny: the careful and detailed examination of something in order to get information about it.
    • Example: The government's record will be subjected to/come under (close) scrutiny in the weeks before the election.
  • Therefore, the usage of 'scrutiny' is most appropriate here.
  • Hence, option A is the correct answer.

The correct sentence is: 'But the hydrological data that is claimed to support that premise is not in the public domain and has never been put to scrutiny by any independent credible agency.'

Additional Information

SSC Stenographer Mock Test - 3 - Question 19

Following are parts of a single sentence. Pick the grammatically correct parts among these and choose the combination with the numbers of these correct parts.

(i) She told her friends

(ii) That she had been

(iii) Playing football for

(iv) Her father left.

Detailed Solution for SSC Stenographer Mock Test - 3 - Question 19

The correct answer is '(i), (ii), and (iv)'.
Key Points

  • (i) "She told her friends" is grammatically correct.
  • (ii) "That she had been" is also grammatically correct.
  • (iii) "Playing football for" is grammatically incorrect as 'for' should be replaced with 'since'.
    • We use 'since' to talk about a point in the past time.
  • (iv) "Her father left." is grammatically incorrect in the context, but the question doesn't ask for context.
  • All parts are grammatically correct on their own.

Therefore, the correct answer is Option D

SSC Stenographer Mock Test - 3 - Question 20

Directions: In the following question, some parts of the sentence may have errors. Find out which part of the sentence has an error and select the appropriate option. If a sentence is free from error, select 'No Error'.

The boy, along with many friends, celebrate his birthday in lavish style.

Detailed Solution for SSC Stenographer Mock Test - 3 - Question 20

The erroneous part of the sentence is: celebrate his birthday

Key Points

  • Replace "celebrate" with "celebrates" to correct the sentence.
  • The error here lies in the Subject-Verb agreement.
  • The basic rule states that a singular subject takes a singular verb while a plural subject takes a plural verb.
  • In English, the '-s' is only added to regular verbs in the present tense when the subject of the verb is a third-person singular subject.
  • The subject of the sentence is singular, "the boy," and not the plural "many friends," so, the verb needs to be singular as well.
  • Additionally, the sentence must keep the same meaning, that the boy is celebrating.
  • Therefore, "Celebrates" is the correct choice for the sentence.

Hence, the correct answer is option 2, which contains an error.

Corrected sentence: The boy, along with many friends, celebrates his birthday in lavish style.

SSC Stenographer Mock Test - 3 - Question 21

Point out the incorrect sentence.

Detailed Solution for SSC Stenographer Mock Test - 3 - Question 21

The correct answer is 'If I will go to Nagpur, I will bring you mangoes.'

Key Points

  • If two actions take place one after the other in the future, and if the second action is dependent on the first action, the first action is in simple present tense and the second action is in the simple future tense.

The correct form of the statement will be: If I go to Nagpur, I will bring you mangoes.

  • Hence, option A is the correct answer.

Additional Information

  • When two actions take place one after the other, the second depending on the first, it is called a conditional sentence.
    • For eg.- You will succeed provided you practice daily.
SSC Stenographer Mock Test - 3 - Question 22

Select the option that expresses the given sentence in indirect speech.

He said, “I have got the prize”.

Detailed Solution for SSC Stenographer Mock Test - 3 - Question 22

The correct answer is 'He said that he had got the prize.'
Key Points

  • The given sentence is in Direct Speech. As per the given question, we have to change it to Indirect Speech.
  • The process of transformation is as follows:
    • The reporting verb will not change because it does not have an object.
    • Commas and inverted commas will be removed.
    • The conjunction 'that' will be added.
    • 'I' will be changed into 'he' because the first-person pronouns are changed according to the subject of the reporting verb.
    • Present Perfect Tense 'have got' will be changed into Past Perfect Tense 'had got'.
    • Therefore, as per the points mentioned above, we find that the correct answer is Option B.

Correct Sentence: He said that he had got the prize.

SSC Stenographer Mock Test - 3 - Question 23

Direction: Select the grammatically correct form of the given sentence from the following options.

My sister had gone out when I was arrive home.

Detailed Solution for SSC Stenographer Mock Test - 3 - Question 23

The correct answer is 'My sister had gone out when I arrived home.'

Key Points

  • The given sentence follows the pattern:
    • A finished action before a second point in the past.
      • Example: When we arrived, the film had started (= first the film started, then we arrived).
  • We usually use the past perfect to make it clear which action happened first.​
  • In the given question, first, my sister went, and then I arrived.
  • Therefore, we need to keep the when clause in the Simple Past Tense.
  • Therefore, the correct answer is "My sister had gone out when I arrived home."

Correct sentence: My sister had gone out when I arrived home.

Additional Information

  • The zero conditional is used when the time being referred to is now or always and the situation is real and possible.
  • The zero conditional is often used to refer to general truths.
  • The tense in both parts of the sentence is the simple present.
  • In zero conditional sentences, the word "if" can usually be replaced by the word "when" without changing the meaning.
SSC Stenographer Mock Test - 3 - Question 24

As per the given passage, where is the keratin protein present in our body?

Detailed Solution for SSC Stenographer Mock Test - 3 - Question 24

The correct option is Option D.
Key Points

  • Keratin is a protein which is found in hair and nails.
  • In the given passage it is mentioned in second paragraph "Rhino horn, for example, fetches upwards of US$60,000 per kilogram in countries where it is prized as a cure and status symbol. But this is bogus. Rhino horn is made of keratin, like our fingernails, and cannot cure disease. We need a planet-wide shift in thinking about how we value the wildlife resources within the limited intact ecosystems that remain. But many species cant wait that long.

Hence then correct option is Option D Fingernails.

SSC Stenographer Mock Test - 3 - Question 25

In the following items, each passage consists of six sentences. The first sentence (S1) and the final sentence (S6) are given. The middle four sentences in each have been removed and jumbled up. These are labelled P, Q, R and S. You are required to find out the proper sequence of the four sentences and mark accordingly on the Answer Sheet.

S1: Your resources, like money are limited.
P: You must invest them wisely.
Q: Everything cannot be directly attended to by yourself.
R: Sooner or later you should learn to delegate your authority to others.
S: You have to depend on others.
S6: For that matter the need for a leader arises only in relation to other people.

Detailed Solution for SSC Stenographer Mock Test - 3 - Question 25

The correct answer is "PRQS"

Key Points

  • Sentence S1 mentions that your resources, like money, are limited.
  • Sentence P advises you to invest them wisely.
  • Sentence R recommends learning to delegate your authority to others, as everything cannot be directly attended to by yourself.
  • Sentence Q and S point out that you have to depend on others and that you cannot do everything.
  • Sentence S6 states that the need for a leader arises only in relation to other people.
  • When the sentences are put in this order, they form a coherent and logical paragraph about the importance of investing your resources wisely and the need to delegate authority and rely on others in order to be an effective leader.

Thus, option c is the correct answer.

Correct paragraph: S1 Your resources, like money are limited. P You must invest them wisely. R Sooner or later you should learn to delegate your authority to others. Q Everything cannot be directly attended to by yourself. S You have to depend on others. S6 For that matter the need for a leader arises only in relation to other people.

SSC Stenographer Mock Test - 3 - Question 26

Select the option that expresses the given sentence in passive voice.

Priyanka edits the school magazine.

Detailed Solution for SSC Stenographer Mock Test - 3 - Question 26

The correct answer is: 'The school magazine is edited by Priyanka'.

Key Points

  • The option that expresses the given sentence in passive voice is: 'The school magazine is edited by Priyanka'.
  • The given sentence is in 'Present Indefinite Tense'. The structure of It is: 'Subject + V1 (First form of the verb) + Object'.
  • According to the rule of Active to Passive Voice, the 'Subject' in 'Active voice' becomes the 'Object' in 'Passive voice' and 'Object' in 'Active voice' becomes 'Subject' in 'Passive voice'.
  • The 'Subject in Passive voice is followed by Helping verb(am/ is/ are) + V3 (Third form of the verb) + by + Object'.

Therefore, the correct answer is: 'Option 3'.

Additional Information

  • 'The school magazine were edited by Priyanka' is not correct Active to Passive.
  • 'The school magazine is edit by Priyanka' is not correct Active to Passive.
  • 'The school magazine was edited by Priyanka' is not correct Active to Passive.
SSC Stenographer Mock Test - 3 - Question 27

One of the following parts of the given sentence may contain an error. Select the part that contains the error from the given options. If you don’t find any error, mark ‘No error’ as your answer.

Jaya takes classes for two months to pass the National Eligibility test.

Detailed Solution for SSC Stenographer Mock Test - 3 - Question 27

The correct answer is "Option (d): Takes classes".

Key Points

  • The verb "takes" should be replaced with "has been taking" to express the ongoing action correctly.
  • The use of "takes" implies a recurring, regular action, rather than ongoing.
  • The present perfect continuous tense "has been taking" implies that Jaya started taking classes at some point in the past and has continued up until now, making the sentence more accurate.

Therefore, the correct sentence is "Jaya has been taking classes for two months to pass the National Eligibility test."

Additional Information

In the present perfect continuous tense 'for' is used to indicate the course of time and 'since' is used to indicate the point of time.

  • For example:
    • They have been working in this company for three years.
    • They have been working in this company since 2020.
SSC Stenographer Mock Test - 3 - Question 28

Select the most appropriate option to fill in blank number 2.

Detailed Solution for SSC Stenographer Mock Test - 3 - Question 28

The correct answer is 'Warmth'.

Key Points

  • The most appropriate option to fill in blank number 2 is 'warmth'.
  • "Warmth" refers to the quality or state of being warm, which is what fire provides. Fire generates heat, which in turn provides warmth to its surroundings. (गरमी)
  • In the context of the Stone Age man discovering and using fire, it allowed them to stay warm in colder climates and seasons.
  • Additionally, fire served as a means to cook food, which further emphasizes its role in providing warmth and facilitating cooking activities.

Therefore, the correct answer is 'Option D'.

Fire is a significant factor in human (1) evolution. The Stone Age man was the first to discover and use fire, which provided him (2) warmth and a means to cook food. Initially, he produced fire by rubbing two stones, and the (3) ________ between two stones generated fire. But this process was very (4) ________ and he wanted to discover a less laborious way of producing fire. For this he had to first preserve the fire. He discovered a fire band and carried it everywhere. This discovery led to the invention of torches and lamps that could be used for (5) ________, and preserving flame. So, we can say that fire is an accidental invention.

Additional Information

  • Warm (गरम): "Warm" is an adjective that describes a moderate degree of heat, opposite to cold. In the context of fire, it refers to the quality of being moderately hot.
  • Coldness (ठंडा-पन): "Coldness" refers to the state or quality of being cold, lacking heat. In the context of fire, it's the opposite of what fire provides.
  • Hot (गरम): "Hot" is an adjective describing high temperature or producing a sensation of heat. In the context of fire, it accurately describes the quality of fire itself.
SSC Stenographer Mock Test - 3 - Question 29

 Select the most appropriate option to fill in blank number 5.

Detailed Solution for SSC Stenographer Mock Test - 3 - Question 29

The correct answer is 'Illumination'.

Key Points

  • Luminous is the quality of being luminous; emitting or reflecting light. (रोशनी)
  • This is the most suitable option according to the context of the passage.
  • In the given sentence the context refers to the discovery of torch and lamps which illuminate light while preserving the flame.
  • Hence, the correct answer is Illumination.

Therefore, the correct answer is 'Option A'.

Fire is a significant factor in human (1) evolution. The Stone Age man was the first to discover and use fire, which provided him (2) warmth and a means to cook food. Initially, he produced fire by rubbing two stones, and the (3) friction between two stones generated fire. But this process was very (4) cumbersome and he wanted to discover a less laborious way of producing fire. For this he had to first preserve the fire. He discovered a fire band and carried it everywhere. This discovery led to the invention of torches and lamps that could be used for (5) illumination, and preserving flame. So, we can say that fire is an accidental invention.

Additional Information

  • Confusion means the state of not being able to think clearly or not understanding something. (उलझन, भ्रम)
  • Dullness is the fact of not being interesting or exciting, or of not being interested in anything. (मंदता)
  • Darkness is the state of being dark. (अँधेरा, कालापन)
SSC Stenographer Mock Test - 3 - Question 30

What is phishing ?

Detailed Solution for SSC Stenographer Mock Test - 3 - Question 30

The correct answer is 'Option B.'

Key Points

  • Phishing is a form of cybercrime where cybercriminals attempt to deceive individuals into divulging sensitive information.
  • It does not involve directly hacking into computer systems or stealing sensitive information through malware.
  • Phishing typically utilizes fake websites or emails that appear legitimate to trick users.
  • The ultimate goal of phishing is to obtain personal information such as login credentials, credit card numbers, or other sensitive data.
  • The correct answer is 'Phishing involves tricking people into providing personal information or login credentials.'

Therefore, The correct is 'Option B.'

Additional Information

  • Option A - This option incorrectly focuses solely on identity theft rather than the method of deception used in phishing.
  • Option B - This option confuses phishing with hacking, which are distinct cybercrimes.
  • Option D - This option describes ransomware, another form of cybercrime, rather than phishing.
View more questions
Information about SSC Stenographer Mock Test - 3 Page
In this test you can find the Exam questions for SSC Stenographer Mock Test - 3 solved & explained in the simplest way possible. Besides giving Questions and answers for SSC Stenographer Mock Test - 3, EduRev gives you an ample number of Online tests for practice
Download as PDF