SSC Stenographer Exam  >  SSC Stenographer Tests  >  SSC Stenographer Mock Test - 6 - SSC Stenographer MCQ

SSC Stenographer Mock Test - 6 - SSC Stenographer MCQ


Test Description

30 Questions MCQ Test - SSC Stenographer Mock Test - 6

SSC Stenographer Mock Test - 6 for SSC Stenographer 2025 is part of SSC Stenographer preparation. The SSC Stenographer Mock Test - 6 questions and answers have been prepared according to the SSC Stenographer exam syllabus.The SSC Stenographer Mock Test - 6 MCQs are made for SSC Stenographer 2025 Exam. Find important definitions, questions, notes, meanings, examples, exercises, MCQs and online tests for SSC Stenographer Mock Test - 6 below.
Solutions of SSC Stenographer Mock Test - 6 questions in English are available as part of our course for SSC Stenographer & SSC Stenographer Mock Test - 6 solutions in Hindi for SSC Stenographer course. Download more important topics, notes, lectures and mock test series for SSC Stenographer Exam by signing up for free. Attempt SSC Stenographer Mock Test - 6 | 200 questions in 120 minutes | Mock test for SSC Stenographer preparation | Free important questions MCQ to study for SSC Stenographer Exam | Download free PDF with solutions
SSC Stenographer Mock Test - 6 - Question 1

Directions: In the following question you have to identify the correct response from the given options according to following symbols:

If '–' stands for division '+' stands for subtraction, '÷' stands for multiplication, '×' stands for addition, then which one of the following is correct?

Detailed Solution for SSC Stenographer Mock Test - 6 - Question 1

BODMAS rule;

Solving options:

A) 70 – 2 + 4 ÷ 5 × 6 = 44

⇒ 70 ÷ 2 - 4 × 5 + 6 = 44

⇒ 35 - 4 × 5 + 6 = 44

⇒ 35 - 20 + 6 = 44

⇒ 41 - 20 = 44

⇒ 21 ≠ 44 (INCORRECT)

B) 70 – 2 + 4 ÷ 5 × 6 = 21

⇒ 70 ÷ 2 - 4 × 5 + 6 = 21

⇒ 35 - 4 × 5 + 6 = 21

⇒ 35 - 20 + 6 = 21

⇒ 41 - 20 = 21

21 = 21 (CORRECT)

C) 70 – 2 + 4 ÷ 5 × 6 = 341

⇒ 70 ÷ 2 - 4 × 5 + 6 = 341

⇒ 35 - 4 × 5 + 6 = 341

⇒ 35 - 20 + 6 = 341

⇒ 41 - 20 = 341

⇒ 21 ≠ 341 (INCORRECT)

D) 70 – 2 + 4 ÷ 5 × 6 = 36

⇒ 70 ÷ 2 - 4 × 5 + 6 = 36

⇒ 35 - 4 × 5 + 6 = 36

⇒ 35 - 20 + 6 = 36

⇒ 41 - 20 = 36

⇒21 ≠ 36 (INCORRECT)

Hence, the correct answer is "Option(B)".

SSC Stenographer Mock Test - 6 - Question 2

Read the following information and answer the question given below it:

There are five friends - Sachin, Kunal, Mohit, Anuj and Rohan.

Sachin is shorter than Kunal but taller than Rohan.

Mohit is the tallest.

Anuj is a little shorter than Kunal and little taller than Sachin.

Who is taller than Anuj but shorter than Mohit?

Detailed Solution for SSC Stenographer Mock Test - 6 - Question 2

Given: There are five friends - Sachin, Kunal, Mohit, Anuj and Rohan.
1) Mohit is the tallest.
Mohit > _ > _ > _ > _
2) Sachin is shorter than Kunal but taller than Rohan.
3) Anuj is a little shorter than Kunal and a little taller than Sachin.
Mohit > Kunal > Anuj > Sachin > Rohan
So, Kunal is taller than Anuj but shorter than Mohit.
Hence, the correct answer is "Option C".

SSC Stenographer Mock Test - 6 - Question 3

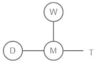
If 'P × Q' means P is the mother of Q,
'P ÷ Q' means P is the sister of Q,
'P + Q' means P is the daughter of Q, and 'P - Q' means P is the father of Q, then which of the following means D is the cousin sister of W?

Detailed Solution for SSC Stenographer Mock Test - 6 - Question 3

Preparing the family tree using the following symbols,

Let's check each option,

1) D ÷ M + W × T

 → Here, D is the daughter of W.

2) D + M ÷ W × T

 → Here, D is the sister's daughter of W.

3) D × T + W - M

→ Here, D is the granddaughter of W.

4) D + M ÷ T - W

→ Here, D is the cousin sister of W.

Hence, the correct answer is "D + M ÷ T - W".

SSC Stenographer Mock Test - 6 - Question 4
If a = 510, b = 612 and c = 110, then find the value of a + b + c :
Detailed Solution for SSC Stenographer Mock Test - 6 - Question 4

Given:

a = 510, b = 612 and c = 110

According to Question:

a + b + c

= 510 + 612 + 110

= 1232

Hence, the correct answer is "1232".

SSC Stenographer Mock Test - 6 - Question 5

What should come in place of ? in the given series based on the English alphabetical order?

QCT NHP KML HRH ?

Detailed Solution for SSC Stenographer Mock Test - 6 - Question 5

The position and positional values of English Alphabets are:

The logic followed here is:

So, EWD will replace the question mark in the given series.

Hence, the correct answer is 'Option 1'.

SSC Stenographer Mock Test - 6 - Question 6

Three of the following four letter-clusters are alike in a certain way and one is different. Pick the odd one out.

Detailed Solution for SSC Stenographer Mock Test - 6 - Question 6

The positions of letter according to the English alphabet series:

The logic follows here is:
Option A): GLP

Option B): BEJ

Option C): KNS

Option D): QTY

The logic followed in Option (A) is different from others
Hence, the correct answer is "Option (A)".

SSC Stenographer Mock Test - 6 - Question 7

If ‘+’ means ‘divided by’, ‘ ̶ ’ means ‘added to’, ‘×’ means ‘subtraction’ and ‘÷’ means ‘multiplied by’, what will be the value of the following expression?
(43 × 23 -(4 ÷ 3)) + (12 - 4) ÷ 3

Detailed Solution for SSC Stenographer Mock Test - 6 - Question 7

Given Equation: (43 × 23 -(4 ÷ 3)) + (12 - 4) ÷ 3

BODMAS Rule:

Decoding the given information:

Now replacing the sign from left to right using BODMAS Rule, we get:

(43 - 23 +(4 × 3)) ÷ (12 + 4) × 3 = ?

⇒ (43 -23 + 12) ÷ (12 + 4) × 3 = ?

(55 - 23) ÷ 16 × 3 = ?

32 ÷ 16 × 3 = ?

2 × 3 = 6

Hence, the correct answer is "Option C".

SSC Stenographer Mock Test - 6 - Question 8

Anurag and Bhavna started driving from the same point. Anurag drove North for 11 km, then turns right and covers 13 km. Bhavna goes West and covers 15 km, then turns right and covers 11 km. How far apart are they from each other in a straight line?

Detailed Solution for SSC Stenographer Mock Test - 6 - Question 8

Given:
Anurag and Bhavna started driving from the same point.
Anurag drove North for 11 km,
then turns right and covers 13 km.
Bhavna goes West and covers 15 km,
then turns right and covers 11 km

So, they are 28km away from each other in a straight line.
Hence, the correct answer is "Option C".

SSC Stenographer Mock Test - 6 - Question 9
With reference to the Land Revenue System of Mughal Empire, the term '_____' was the amount assessed.
Detailed Solution for SSC Stenographer Mock Test - 6 - Question 9

The correct answer is Jama.

Key Points

  • ​The division of the empire into subas, or governorships, sarkars, or districts, and parganas served as the foundation for the Mughal revenue system.
  • It was made up of a handful of settlements that occasionally resembled mahals.
  • The revenue staff was also required to carry out many administrative tasks, such as recruiting soldiers and maintaining public order.
  • The principal imperial building served as the inspiration for the suba.
  • The amalguzar, who would be comparable to the contemporary afsar-i-mal, was responsible for the remuneration work in the sarkar (revenue officer).
  • The primary characteristic of the agrarian system under the Mughals was alienation from the peasant of his surplus produce in the form of land income.
  • British administrators saw land earnings as soil rent because they believed the king to be the land's owner.
  • In his Ain-i Akbari, Abul Fazl justifies the state's imposition of taxes by arguing that they are a price to be paid for sovereignty in exchange for security and justice.
  • During the Mughal era, land revenue was referred to as mal and mal wajib in Persian.
  • Kharaj wasn't frequently used.
  • Land revenue collection is divided into two steps:
    • Assessment (jama/tashkhis): An evaluation was done to address the state demand.
    • actual collecting (hasil): On the basis of assessment demand, actual collection was done separately for kharif and rabi crops.

Additional Information

  • The land was classified into four groups during the Mughal era: Polaj, Parati, Chachar, and Banjar.
  • For the various types of land, different revenues were set.
    • Polaj: The area known as "polaj" is always planted with a different crop each year and is never permitted to go uncultivated.
    • Chachar: Chachar was a type of land that was first left fallow for three to four years before being replanted.
    • Banjar: Banjar was the lowest tier of land that had been uncultivated for at least five years.
SSC Stenographer Mock Test - 6 - Question 10

Arrange the following capital cities of the Mughals according to the timeline. (from first to the last)

(1) Fatehpur Sikri

(2) Shahjahanabad

(3) Agra

(4) Lahore

Choose the correct answer from the options given below :

Detailed Solution for SSC Stenographer Mock Test - 6 - Question 10

The correct answer is (3), (1), (4), (2).

Key Points

  • The heart of the Mughal Empire was its capital city, where the court assembled.
  • The capital cities of the Mughals frequently shifted during the sixteenth and seventeenth centuries.
  • Babur took over the Lodi capital of Agra, though during the four years of his reign the court was frequently on the move.
  • During the 1560s Akbar had the fort of Agra constructed with red sandstone quarried from the adjoining regions.
  • In the 1570s he decided to build a new capital, Fatehpur Sikri.
  • One of the reasons prompting this may have been that Sikri was located on the direct road to Ajmer, where the dargah of Shaikh Muinuddin Chishti had become an important pilgrimage centre.
  • In 1585 the capital was transferred to Lahore to bring the north-west under greater control and Akbar closely watched the frontier for thirteen years.
  • In 1648 the court, army and household moved from Agra to the newly completed imperial capital, Shahjahanabad.
  • It was a new addition to the old residential city of Delhi, with the Red Fort, the Jama Masjid, a tree-lined esplanade with bazaars (Chandni Chowk) and spacious homes for the nobility.
  • Shah Jahan’s new city was appropriate to a more formal vision of a grand monarchy.

Hence, we can conclude that the correct chronological order of the capital cities of the Mughals according to the timeline (from first to the last) is:

(3) Agra
(1) Fatehpur Sikri
(4) Lahore
(2) Shahjahanabad
SSC Stenographer Mock Test - 6 - Question 11
Who succeeded Raja Rammohan Roy as the leader of Brahmo Samaj?
Detailed Solution for SSC Stenographer Mock Test - 6 - Question 11

The correct answer is Devendranath Tagore​.

Key Points

  • After the death of Raja Ram Mohan Roy, Devendranath Tagore succeeded him as the leader of the Brahmo Samaj.
  • He joined Brahmo samaj in 1842.
  • He was the founder in 1848 of the Brahmo religion, which today is synonymous with Brahmoism.
  • Raja Rammohun Roy (1772-1833) founded a reform association known as the Brahmo Sabha (later known as the Brahmo Samaj) in Calcutta.

Additional Information

  • Dwarkanath Tagore: Dwarkanath Tagore was one of the first Indian industrialists to form an enterprise with British partners.
  • Rabindranath Tagore: Rabindranath Tagore was the youngest son of Debendranath Tagore, a leader of the Brahmo Samaj, which was a new religious sect in nineteenth-century Bengal.
  • Keshub Chandra Sen: Keshub Chandra Sen was a Hindu philosopher and social reformer who attempted to incorporate Christian theology within the framework of Hindu thought.
SSC Stenographer Mock Test - 6 - Question 12

Wangala is a most famous festival of the Garo tribe of ______.

Detailed Solution for SSC Stenographer Mock Test - 6 - Question 12

Correct answer is Meghalaya.

Key Points

  • Wangala Festival of Meghalaya is the most famous festival between the Garos of Meghalaya, India.
  • Wangala Festival is a harvest festival held in the glory of Saljong, the Sun-god of fertility.
  • The celebration of the Wangala Festival marks the ending of a period of toil, which brings the quality output of the fields.
  • Generally, Wangala is the biggest festival of the Garo community.

Additional Information

  • The Hampi Festival, celebrated in November, is one of the main festivals in Karnataka celebrated on a grand level.
  • ​Basant Panchami, Bhitauli, Harel, Phooldei, Batsavitri, Ganga Dusshera, Dikar Puja, Olgi or Ghee Sankranti, Khatarua, Ghuian Ekadashi and Ghughutia are some of the crucial festivals of Uttarakhand.
  • Pongal is the most popular festival, which is celebrated in Tamil Nadu.
SSC Stenographer Mock Test - 6 - Question 13
Who was the first president of IOA?
Detailed Solution for SSC Stenographer Mock Test - 6 - Question 13

The correct answer Sir Dorabji Tata

Key Points

  • Indian Olympic Association:-
    • IOA is the National Olympic Committee (NOC) for India.
    • It is responsible for selecting athletes to represent India at the Olympic Games, Asian Games, and other international sports competitions.
    • The IOA also manages Indian teams at these events.
    • The IOA was founded in 1927 and is headquartered in New Delhi, India. The current president of the IOA is P. T. Usha.
    • The IOA is a member of the International Olympic Committee (IOC), the Asian Olympic Council (OCA), and the Commonwealth Games Federation (CGF).
  • Sir Dorabji Tata:-
    • He was the first president of the Indian Olympic Association (IOA).
    • He was a prominent Indian businessman and philanthropist who played a pivotal role in the development of sports in India.
    • Sir Dorabji Tata's contributions to Indian sports include:
      • Founding the Tata Group, one of India's largest and most respected conglomerates, which has consistently supported Indian sports and athletes.
      • Establishing the Tata Sports Club, which has provided training and facilities to numerous Indian athletes.
      • Serving as the first president of the IOA, where he played a crucial role in organizing India's participation in the Olympic Games and other international sporting events.

Additional Information

  • Harry Crowe Buck:-
    • He was an American college sports coach and physical education instructor.
    • He founded the YMCA College of Physical Education at Madras in 1920, which played a key role in promoting sports and in establishing the Olympic movement in India. He has been called "The Father of Physical Education in India".
  • Henry Grey:-
    • He was the National Secretary of the Young Men's Christian Association (YMCA) in India, Burma, and Ceylon from 1920 to 1936.
    • He was a key figure in the development of physical education and sports in India, and he played a leading role in the establishment of the Indian Olympic Association (IOA).
  • Guru Dutt Sondhi:-
    • He was an Indian sports administrator who played a key role in the development of sports in India.
    • He was the manager of the Indian Olympic hockey team at three Olympic Games, founder of the Western Asiatic Games and the founder of the Asian Games Federation, which held the first Asiad.
SSC Stenographer Mock Test - 6 - Question 14

In the given expression of GDP according to the expenditure method, which of the following represents the aggregate imports expenditure incurred by the economy?

C + I + G + X - M

Detailed Solution for SSC Stenographer Mock Test - 6 - Question 14

The correct answer is M.Key Point

Expenditure method of income measurement:

  • The expenditure method is a system for calculating gross domestic product (GDP) that combines C + I + G + X - M where consumption (C), investment(I), government spending(G), and net exports(X-M) where M is import and X is export.
  • It is the most common way to estimate GDP. It says everything that the private sector, including consumers and private firms, and government spending within the borders of a particular country, must add up to the total value of all finished goods and services produced over a certain period of time. This method produces nominal GDP, which must then be adjusted for inflation to result in the real GDP.

Additional Information

  1. Product Method:
    • The product or value-added method is a way of computing the national income of a country.
    • This system is also known as the output or inventory method. This method calculates national income by adding value to a product at every stage of its production.
  2. Income Method:
    • In the income method, the national income is measured by adding up the pretax income generated by the individuals and companies in the economy.
    • It consists of income from wages, rent of buildings and land, interest on capital, profits, etc.
SSC Stenographer Mock Test - 6 - Question 15

Directions: In this section, each item consists of six sentences of a passage. The first and sixth sentences are given in the beginning as S1 and S6. The middle four sentences in each have been jumbled up and labelled as P, Q, R and S. You are required to find the proper sequence of the four sentences and mark your response accordingly on the answer sheet.

S1. The global economy has been significantly impacted by the rise of cryptocurrency.

S6. This has led to a transformation in how businesses operate and individuals transact.

P. Countries are now evaluating the potential of adopting digital currencies as legal tender.

Q. Initially, cryptocurrencies were viewed with skepticism due to their volatile nature.

R. As adoption increased, governments began to recognize the importance of regulating this new form of currency.

S. Its increasing acceptance has played a pivotal role in its integration into the financial system.

Detailed Solution for SSC Stenographer Mock Test - 6 - Question 15

The correct answer is “QSRP”.

Key Points

  • The sentence in Q introduces the topic by discussing the initial skepticism surrounding cryptocurrencies, making it a logical starting point after S1. It provides background on the early stages of cryptocurrency and sets the stage for further discussion.
  • Following the initial skepticism, S logically progresses the narrative by describing how cryptocurrencies began to gain acceptance. This shift from skepticism to acceptance is a key aspect of the story of cryptocurrencies.
  • With increased acceptance highlighted in S, R naturally follows by mentioning the governments' recognition of the need for regulation. This reflects a progression towards institutional acknowledgment and the steps towards integrating cryptocurrencies into the formal financial system.
  • After discussing the regulatory aspect, P broadens the scope to a global perspective, where countries consider adopting digital currencies. This follows from the narrative of growing acceptance and the need for regulation, leading to the consideration of cryptocurrencies at a national policy level.
Hence, the correct answer is ‘Option 2’.
SSC Stenographer Mock Test - 6 - Question 16

Parts of the following sentence have been given as options. Select the option that contains an error.

Everyone should respect those parents, teachers, and elders.

Detailed Solution for SSC Stenographer Mock Test - 6 - Question 16

The correct answer is 'Option C' i.e. respect those has an error.
Key Points

  • The phrase "respect those" is incorrect because it implies that "those" is necessary, which it is not.
  • In context, the sentence should simply be "Everyone should respect parents, teachers, and elders" without the word "those."
  • Using "those" unnecessarily complicates the sentence and makes it awkward.
  • Correcting the sentence improves its readability and clarity.

Therefore, the correct answer is option C.
Correct sentence: Everyone should respect parents, teachers, and elders.
Additional Information

  • Option 1 ("and elders.") is correct as it is appropriately punctuated and completes the list.
  • Option 2 ("parents, teachers,") is correct as it appropriately lists the nouns in the series.
  • Option 4 ("Everyone should,") is correct as the introductory phrase of the sentence.
SSC Stenographer Mock Test - 6 - Question 17

Select the antonym of the given word.

STALE

Detailed Solution for SSC Stenographer Mock Test - 6 - Question 17

The correct answer is "Fresh".
Key Points

  • Stale: no longer fresh or new; no longer interesting or exciting.
    • Example: "The bread was stale and hard."
  • Let us look at all the options:
  • Dry: not wet or moist.
    • Example: "The desert is dry and hot."
  • Fresh: new or not yet used or consumed.
    • Example: "I bought a fresh loaf of bread."
  • Flat: not having or showing much spirit or enthusiasm.
    • Example: "The party was flat and boring."
  • Sour: having a sharp, unpleasant taste.
    • Example: "The milk was sour and had to be thrown away."
  • From the meanings of all the options, it is clear that the appropriate antonym of the word "stale" is "fresh."
  • Hence, option B is correct.
SSC Stenographer Mock Test - 6 - Question 18

Select the most appropriate option to fill in the blank.

The patient is serious; the doctor should be immediately sent ______.

Detailed Solution for SSC Stenographer Mock Test - 6 - Question 18

The correct answer is 'for'.
Key Points

  • The phrase 'sent for' is a common English expression meaning to request or summon someone.
  • In the context of the sentence, if the patient is serious, it makes sense to summon or request the doctor.
  • The word 'for' completes the meaning of the sentence appropriately.
  • No other option provides the right context for the urgency or importance implied in the sentence.

Therefore, the correct answer is Option D.
Additional Information

  • 'Sent around' implies sending someone to various places or in a circuitous route, not directly related to summoning urgently.
  • 'Sent away' means to dismiss or ask someone to leave.
  • 'Sent on' can mean to forward or dispatch, not to request or summon.

 

SSC Stenographer Mock Test - 6 - Question 19

Select the most appropriate ANTONYM of the given word.

Grumble

Detailed Solution for SSC Stenographer Mock Test - 6 - Question 19

The correct answer is "Praise".
Key Points

  • 'Grumble' means to complain about something in a bad-tempered way. (बड़बड़ाना)
    • Example- She began to grumble about the lack of amenities in the town.
  • 'Praise' means to express warm approval or admiration of.(प्रशंसा)
    • Example- His excellent work deserves high praise.
  • Hence, the option that is opposite in meaning to the given word 'Grumble' is 'Praise'.

Therefore, the correct answer is 'Option D'.
Additional Information

  • Let’s have a look at the meaning of the remaining options:
  • Navigate: To plan, record, and control the course and position of a journey. (किसी यात्रा की दिशा और स्थिति की योजना बनाना, रिकॉर्ड करना और नियंत्रित करना)
  • Stray: To move away aimlessly from a group or from the right course or place. (भटकना)
  • Raise: To lift or move to a higher position or level. (उच्चता में ले जाना)
SSC Stenographer Mock Test - 6 - Question 20

Select the appropriate synonym for the underlined word.

Are you kidding?

Detailed Solution for SSC Stenographer Mock Test - 6 - Question 20

The correct answer is 'Option D' i.e. 'Joking'.

Key Points

  • The underlined word 'kidding' (मजाक करना) refers to speaking or behaving in a joking manner.
  • The correct synonym is 'joking' (मजाक करना), which means to speak humorously or playfully.

Therefore, the correct answer is- 'Joking'.
Additional Information

  • Pleading (गुजारिश) - Making an emotional appeal.
  • Rocking (हिलाना) - Moving back and forth or from side to side.
  • Mixing (मिलाना) - Combining or putting together different elements.
SSC Stenographer Mock Test - 6 - Question 21

Identify the most appropriate indirect speech statement for the given sentence:

The clerk said, "I am here to settle accounts today."

Detailed Solution for SSC Stenographer Mock Test - 6 - Question 21

The correct answer is "The clerk remarked that he was there to settle accounts that day."

Key Points

  • The tense of the words uttered is typically changed when reported or indirect discourse refers to the past.
  • Rule for the verb of indirect speech: was / were+V4.
  • The subject "I" will be changed into "he" as the speaker is "The clerk".
  • So, the correct option is 4).
SSC Stenographer Mock Test - 6 - Question 22

Select the option that expresses the given sentence in direct speech.

Pihu said that she might buy a new smartphone.

Detailed Solution for SSC Stenographer Mock Test - 6 - Question 22

The correct answer is Pihu said, "I may buy a new smartphone."

Key Points

The given sentence is in indirect speech and we need to convert it to direct speech.

When we change an indirect speech to direct speech, we must follow these rules:

  • ​The reporting verb 'said' remains unchanged.
  • The conjunction 'that' is replaced with inverted commas ("...") to show the direct speech.
  • A comma (,) is added after the direct speech part.
  • The first word of the direct speech is in capital letters.
  • The modal verb 'might' changes to 'may'.
  • The pronoun 'she' changes to 'I'.

Thus, option 4 is the correct answer.

Hence, direct speech is- Pihu said, "I may buy a new smartphone."

SSC Stenographer Mock Test - 6 - Question 23

In the following question, a sentence has been given in Direct/Indirect speech. Out of the four alternatives suggested, select the one which best expresses the same sentence in Indirect/Direct speech.

The secretary said to his employee, "Don't show me your face."

Detailed Solution for SSC Stenographer Mock Test - 6 - Question 23

The correct answer is 'The secretary ordered his employee not to show his face.'

Key Points

  • The direct speech is given in the imperative mood, expressing a command.
  • The appropriate way to convert this into indirect speech is by using forms such as 'ordered' or 'told' followed by 'not to' for negative commands.
  • Replace 'Said to' with verbs like ordered, requested, forbade, suggested, etc., as appropriate.
  • Use the conjunction 'to'.
  • After 'To', the verb should be in its base form (V1).
  • Make appropriate changes in tense, pronoun, etc., while converting.
    • Example: She said to me, "Do not come here."
    • Correct Indirect Speech: She forbade me to come there.
  • Thus, the correct conversion of the command from the secretary in direct speech into indirect speech would be "The secretary ordered his employee not to show his face."
  • Option 4 fits this pattern and transforms the sentence correctly.
  • Other options fail to appropriately convey the command from the secretary in indirect speech.

Therefore, the correct answer is Option 4.

SSC Stenographer Mock Test - 6 - Question 24

Select the most appropriate option that can substitute the underlined segment in the given sentence.

The fluffy cat used to make a feeble cry by the others only which food was supplied by Leepika.

Detailed Solution for SSC Stenographer Mock Test - 6 - Question 24

The correct answer is 'Option (a)' i.e. 'over the others when food'.

Key Points

  • The segment in question, "by the others only which food," is quite confusing and does not clearly convey the intended meaning of the sentence.
  • The replacement segment "over the others when food" makes the sentence more intelligible:
  • "The fluffy cat used to make a feeble cry over the others when food was supplied by Leepika." This implies that the cat would cry above or louder than the others when Leepika provided food.
  • The term 'over the others' is used to indicate that the cat's cry was dominant or noticeable among others,
  • 'when food' implies the timing of the cat's cry, which is when food was supplied.
  • Hence, the correct answer is- 'over the others when food'.

Therefore, the correct and complete sentence is "The fluffy cat used to make a feeble cry over the others when food was supplied by Leepika."

Additional Information

  • 'Option (b) - about the others while food': This option is incorrect because the preposition 'about' and conjunction 'while' do not convey the correct context in this sentence.
  • 'Option (c) - among the others what food': This option is also incorrect. 'What food' is not appropriate as per the sentence structure.
  • 'Option (d) - above the others where food': This option is incorrect because the term 'where food' is an incorrect reference to the timing of the cat's cry.
SSC Stenographer Mock Test - 6 - Question 25

Sentences of a paragraph are given below in jumbled order. Arrange the sentences in the correct order to form a meaningful and coherent paragraph.

A. Following the demise of the Indus Valley civilisation, the Aryans migrated to India.

B. There is proof that the Aryans possessed a scientific outlook.

C. They held that the universe was regulated by a natural law known as Panchbhutas (five components).

D. Prithvi (heart), Ap (water), Tejas (heat), Vayu (air), and Akasa (sky) are these factors.

Detailed Solution for SSC Stenographer Mock Test - 6 - Question 25

The correct answer is 'ABCD'.

Key Points

  • The sequence needs to start with the historical context of the Aryans' migration to India, which is why sentence A is the appropriate starting point.
  • Sentence B logically follows A, as it introduces the fact that the Aryans had a scientific outlook upon their arrival in India.
  • Sentence C expands on the specific aspect of their scientific outlook, introducing the concept of Panchbhutas, which they believed regulated the universe.
  • Finally, sentence D specifies what the five components of Panchbhutas are, directly continuing the topic introduced in sentence C.
  • These connections between sentences A to D create a coherent narrative flow and logical progression of ideas.

Therefore, the correct answer is 'Option C'.

Complete Paragraph: Following the demise of the Indus Valley civilisation, the Aryans migrated to India. There is proof that the Aryans possessed a scientific outlook. They held that the universe was regulated by a natural law known as Panchbhutas (five components). Prithvi (heart), Ap (water), Tejas (heat), Vayu (air), and Akasa (sky) are these factors.

Additional Information

  • Option A) CDAB starts in the middle of the conceptual explanation, leading to a confusing entry into the topic without adequate background information.
  • Option B) DBCA disrupts the logical flow by detailing the components before introducing the concept of Panchbhutas, making the paragraph hard to follow.
  • Option D) BCDA starts with a statement about the Aryans' scientific outlook without first introducing the Aryans' migration or why their scientific outlook is significant, which disrupts the logical progression of historical events.
SSC Stenographer Mock Test - 6 - Question 26

The following sentence has been split into four segments. Identify the segment that contains a grammatical error.

It takes me an hour / to get to work at the moment, / but when the new road is finished, / it be much quicker.

Detailed Solution for SSC Stenographer Mock Test - 6 - Question 26

The correct answer is 'It be much quicker'.

Key Points

  • The error in the sentence segment "It be much quicker" is an error related to verb tense and mood.
  • The correct sentence should use a future tense verb to indicate a future action or state.
  • The corrected phrase should include an auxiliary verb "will" to form the future tense, making the phrase "it will be much quicker."
  • This correction ensures the sentence conveys the intended meaning that the travel time will reduce once the new road is completed.
  • The grammatical structure of the future tense "will + base form of the verb" is essential for clarity and correctness.

Therefore, the correct answer is 'Option B'.

Correct Sentence: It takes me an hour to get to work at the moment, but when the new road is finished, it will be much quicker.

Additional Information

  • "to get to work at the moment" is a correct phrase indicating the current duration of the commute. There's no grammatical error in this segment.
  • "but when the new road is finished," correctly uses a subordinate clause to introduce a future condition affecting the main clause, making it grammatically correct.
  • "It takes me an hour" is grammatically correct as it correctly uses the present simple tense to describe a current, habitual action.
SSC Stenographer Mock Test - 6 - Question 27

Select the most appropriate option to fill in blank no. 5.

Detailed Solution for SSC Stenographer Mock Test - 6 - Question 27

The correct answer is 'hues'.
Key Points
In the context of the passage, the phrase "painted with hues of orange, pink, and gold" suggests that the sky transformed into a radiant canvas adorned with various colours or shades. The word "hues" (रंग) refers to colours or shades, making it the most appropriate option to fill in blank no. 5.
Meaning of other options:

  • Brushes (ब्रश): Tools with bristles or other fibers used for applying paint or other substances. While brushes are used for painting, the phrase "painted with brushes of orange, pink, and gold" doesn't convey the intended meaning of describing the colours of the sky.
  • Tins (टिन): Containers typically made of metal, often used for storing or packaging goods. The phrase "painted with tins of orange, pink, and gold" doesn't make sense in the context of describing the colours of the sky.
  • Sheets (चादरें): Large, thin pieces of material such as fabric or paper. The phrase "painted with sheets of orange, pink, and gold" doesn't accurately describe the colours of the sky but rather implies covering the sky with physical sheets.
  • Therefore, "hues" is the most appropriate option to describe the colours or shades of the sky in the passage.

Correct Passage: The expansive landscape stretched as far as the eye could see, its vastness seeming endless. Majestic mountains towered in the distance, their peaks covered by a thin layer of snow. A gentle breeze whispered through the lustrous trees, rustling their vibrant leaves. The air carried the sweet fragrance of the flowers, filling the surroundings with a delightful aroma. As the sun began to set, the sky transformed into a radiant canvas, painted with hues of orange, pink, and gold.

SSC Stenographer Mock Test - 6 - Question 28

Direction: Select the most appropriate synonym of the given word.
Commotion

Detailed Solution for SSC Stenographer Mock Test - 6 - Question 28

The correct answer is "Bustle."
Key Points

  • The word "Commotion" means great noise or excitement. (शोरग़ुल, उत्तेजना, हुल्‍लड़, गड़बड़ी)
    • Example: His arrival caused quite a commotion.
  • The most appropriate synonym of the given word is "Bustle."
  • The word "Bustle" means excited and noisy activity. (हलचल, शोर-शराबा)
    • Example: She loved the bustle of city life.

The correct answer is Option A.
Additional Information

  • Absurd: ridiculously unreasonable, unsound, or incongruous. (हास्यास्पद रूप से अनुचित, बेतुका, या असंगत)
  • Conflict: a fight or an argument. ((किसी बात पर) झगड़ा, संघर्ष या विवाद)
  • Issue: a problem or subject for discussion. (चर्चा का मुद्दा या विषय)
SSC Stenographer Mock Test - 6 - Question 29

Select the option that will improve the underlined part of the given sentence.

You are so efficient as he
Detailed Solution for SSC Stenographer Mock Test - 6 - Question 29

The correct answer is "as efficient as him".

Key Points

  • In the given sentence, usage of the adverb "so" is incorrect.
  • In the given sentence, we need to use the preposition "as" to compare the speaker and the other person.
  • The structure of the sentence when using 'as' for comparison, should be: as + adjective + as.
  • We need to use "as" before the adjective "efficient" in the given sentence.
  • We use the preposition "as" to compare two things of equal measure.
  • The usage of the subject pronoun "he" in the given sentence is also incorrect.
  • We need to use the object pronoun "him" for the other person as they are the object of the sentence.
  • The meaning of the given sentence is that the person is as capable in his work as the other person.

The correct sentence is: You are as efficient as him.

Hence, the correct answer is option 1.

SSC Stenographer Mock Test - 6 - Question 30
Select the most appropriate ANTONYM of the given word.
PRIMARY
Detailed Solution for SSC Stenographer Mock Test - 6 - Question 30

The correct answer is 'Secondary'.

Key Points

  • The most appropriate antonym of the given word 'Primary' is 'Secondary'.
  • Primary: most important; main. (सबसे बड़ा; मुख्‍य, प्रधान)
    • Example: Smoking is one of the primary causes of lung cancer.
  • Secondary: less important than something else. [(दूसरे की अपेक्षा) गौण]
    • Example: Other people’s opinions are secondary—it’s my opinion that counts.

Correct Answer: Secondary.

Additional Information

  • Let's look at the meaning of other words:
    • Effective: successfully producing the result that you want. (अभीष्‍ट प्रभाव उत्‍पन्‍न करने वाला; प्रभावोत्‍पादक)
    • Applicable: that concerns somebody/something; relevant to somebody/something. (संबंधित; उपयुक्त)
    • Active: involved in activity; lively. (सक्रिय, क्रियाशील; चुस्‍त, फुरतीला, जीवंत)
View more questions
Information about SSC Stenographer Mock Test - 6 Page
In this test you can find the Exam questions for SSC Stenographer Mock Test - 6 solved & explained in the simplest way possible. Besides giving Questions and answers for SSC Stenographer Mock Test - 6, EduRev gives you an ample number of Online tests for practice
Download as PDF