Indian Army Agniveer Exam  >  Indian Army Agniveer Tests  >  Indian Army Agniveer Technical Mock Test - 1 - Indian Army Agniveer MCQ

Indian Army Agniveer Technical Mock Test - 1 - Indian Army Agniveer MCQ


Test Description

30 Questions MCQ Test - Indian Army Agniveer Technical Mock Test - 1

Indian Army Agniveer Technical Mock Test - 1 for Indian Army Agniveer 2025 is part of Indian Army Agniveer preparation. The Indian Army Agniveer Technical Mock Test - 1 questions and answers have been prepared according to the Indian Army Agniveer exam syllabus.The Indian Army Agniveer Technical Mock Test - 1 MCQs are made for Indian Army Agniveer 2025 Exam. Find important definitions, questions, notes, meanings, examples, exercises, MCQs and online tests for Indian Army Agniveer Technical Mock Test - 1 below.
Solutions of Indian Army Agniveer Technical Mock Test - 1 questions in English are available as part of our course for Indian Army Agniveer & Indian Army Agniveer Technical Mock Test - 1 solutions in Hindi for Indian Army Agniveer course. Download more important topics, notes, lectures and mock test series for Indian Army Agniveer Exam by signing up for free. Attempt Indian Army Agniveer Technical Mock Test - 1 | 50 questions in 60 minutes | Mock test for Indian Army Agniveer preparation | Free important questions MCQ to study for Indian Army Agniveer Exam | Download free PDF with solutions
Indian Army Agniveer Technical Mock Test - 1 - Question 1

Droupadi Murmu, who recently became the first woman tribal President of India, belongs to which tribe?

Detailed Solution for Indian Army Agniveer Technical Mock Test - 1 - Question 1

The correct answer is Santhal.Key Points

  • Droupadi Murmu, belonging to the Santhal tribe, recently made history becoming the first woman tribal President of India.
  • She hails from Odisha’s Mayurbhanj district.
  • Santhals, also spelt as Santals, are the third largest scheduled tribe community in India after the Gonds and Bhils.
  • Their population is mostly distributed in Odisha, Jharkhand and West Bengal.
  • The Santhals are credited for fighting against the British East India Company through the Santal Hul (revolution) of 1855-56.
Indian Army Agniveer Technical Mock Test - 1 - Question 2

Assuming that the characters in the given figure follow similar pattern, find the missing number.

Detailed Solution for Indian Army Agniveer Technical Mock Test - 1 - Question 2

The logic follows here is:

5 - 4 = 1; 13 = 1.

7 - 3 = 4; 43 = 64

11 - 8 = 3; 33 = 27

Similarly,

8 - 2 = 6; 63 = "216"

Hence, "216" is the correct answer..

Indian Army Agniveer Technical Mock Test - 1 - Question 3

National motto of India “Satyameva jayate” means _______.

Detailed Solution for Indian Army Agniveer Technical Mock Test - 1 - Question 3

The correct answer is Truth alone triumphs.

Key Points

  • The national motto of India “Satyameva Jayate” means Truth Alone Triumphs.
    • ​It is inscribed below the National Emblem of India.
    • It has been taken from the Mundaka Upanishad.

Additional Information

  • Kerala is known as "God's own country".
  • Bhopal, Madhya Pradesh is known as the "Heart of India".
  • The tagline of Jharkhand Tourism is "A New Experience".
Indian Army Agniveer Technical Mock Test - 1 - Question 4
Pandit Ram Narayan is a Hindustani Classical musician who plays ______.
Detailed Solution for Indian Army Agniveer Technical Mock Test - 1 - Question 4

The correct answer is Option 3.

Key Points

  • Pandit Ram Narayan is a renowned musician and maestro of the sarangi, a stringed instrument used in Hindustani classical music. He is recognized as one of the most esteemed sarangi players in the world. Born on December 25, 1927, in Udaipur, Rajasthan, Pandit Ram Narayan has made significant contributions to the field of Indian classical music.
  • The sarangi is a bowed instrument with sympathetic strings that resonate along with the main strings. It is known for its ability to produce a soulful and melodic sound, often compared to the human voice. Pandit Ram Narayan's mastery of the sarangi has brought immense popularity and recognition to the instrument.
  • He has been instrumental in elevating the status of the sarangi as a solo instrument and has showcased its capabilities through numerous performances and recordings.
  • Pandit Ram Narayan's unique style and virtuosity have earned him accolades and awards, including the prestigious Padma Vibhushan, the second-highest civilian award in India.
  • His contributions to Hindustani classical music extend beyond his performances. Pandit Ram Narayan has also been actively involved in teaching and mentoring the younger generation of musicians, passing on his knowledge and expertise to future artists.
  • Pandit Ram Narayan's musical journey and his dedication to preserving and promoting the sarangi have left an indelible mark on Indian classical music, making him a revered figure in the world of Hindustani classical music.
Indian Army Agniveer Technical Mock Test - 1 - Question 5

The Government of India releases MSP of agricultural produce from time to time. What is the full form of MSP?

Detailed Solution for Indian Army Agniveer Technical Mock Test - 1 - Question 5

The Correct Answer is Minimum Support Price. Key Points

Minimum Support Price

  • Minimum Support Price (MSP) is a form of market intervention by the Government of India to insure agricultural producers against any sharp fall in farm prices.
  • The minimum support prices are announced by the Government of India at the beginning of the sowing season for certain crops.
  • The Cabinet Committee on Economic Affairs, chaired by Prime Minister approves the Minimum Support Price (MSP) based on recommendations of the Commission for Agricultural Costs and Prices (CACP).

Additional Information

  • As of now, CACP recommends MSPs of 23 commodities, which comprise-
    • 7 cereals (paddy, wheat, maize, sorghum, pearl millet, barley and ragi)
    • 5 pulses (gram, tur, moong, urad, lentil)
    • 7 oilseeds (groundnut, rapeseed-mustard, soyabean, seasmum, sunflower, safflower, nigerseed)
    • 4 commercial crops (copra, sugarcane, cotton and raw jute)
  • CACP submits its recommendations to the government in the form of Price Policy Reports every year, separately for five groups of commodities namely Kharif crops, Rabi crops, Sugarcane, Raw Jute and Copra.
Indian Army Agniveer Technical Mock Test - 1 - Question 6

A box provides Rs. 77 in the denominations of one rupee, 50 paise, and 25 paise coins. The number of 50 paise coins is double that of 25 paise coins and four times that of one rupee coins. How many 50 paise coins are there in box?

Detailed Solution for Indian Army Agniveer Technical Mock Test - 1 - Question 6

Given:

A box includes Rs. 77 in the denominations of one rupee, 50 paise, & 25 paise coins.

Concept used:

One Rupee = 100 Paise

Calculation:

Let the number of 1 rupees coin to be x.

According to the question,

Number of 25 paise is 2x

Then, the number of 50 paise is 4x.

The box contains 77 rupees = 77 × 100 = 7700 paise

Now, equation is

⇒ 100x + (50 × 4x) + (25 × 2x) = 7700

⇒ 100x + 200x + 50x = 7700

⇒ 350x = 7700

⇒ x = 7700/350 = 22

Then,

Number of 50 paise coin is

⇒ 4x = 4 × 22 = 88.

∴ There are 88 coins in 50 paise.

Indian Army Agniveer Technical Mock Test - 1 - Question 7
Simplify the following: (1 + tan2θ)(1 − sinθ)(1 + sinθ)
Detailed Solution for Indian Army Agniveer Technical Mock Test - 1 - Question 7

Given:

(1 + tan2θ)(1 − sinθ)(1 + sinθ)

Concept used:

(a2 - b2) = (a + b)(a - b)

cosθ = 1/secθ

Calculation:

(1 + tan2θ)(1 − sinθ)(1 + sinθ)

⇒ (1 + tan2θ)(1 − sin2θ)

⇒ (sec2θ)(cos2θ)

⇒ sec2θ × 1/sec2θ

⇒ 1

∴ The required answer is 1.

Indian Army Agniveer Technical Mock Test - 1 - Question 8

The matrix A =  is a

Detailed Solution for Indian Army Agniveer Technical Mock Test - 1 - Question 8

Concept:

Square Matrix: A matrix in which number of rows is equal to number of columns.

Diagonal Matrix: A square matrix in which all non diagonal elements are zero.

Unit Matrix: A unit matrix can be defined as a scalar matrix in which all the diagonal elements are equal to 1 and all the other elements are zero. It is also known as Identity Matrix.

Calculation:

We have, P = [005050500]

Since number of rows is equal to number of columns.

∴ P is a square matrix

Indian Army Agniveer Technical Mock Test - 1 - Question 9

Suppose A1 , A2 , ..., A30 are thirty sets each having 5 elements and B1, B2, ..., Bn are n sets each with 3 elements, let  and each element of S belongs to exactly 10 of the Ai ’s and exactly 9 of the B's. then n is equal to

Detailed Solution for Indian Army Agniveer Technical Mock Test - 1 - Question 9

Calculation:

It is given that each set Ai contains 5 elements and

∴ Number of elements is S, n(S) = 30×5 = 150

But, it is given that each element of S belong to exactly 10 of the Ai's.

∴ Number of distinct elements in S =  = 15

It is also given that each set Bj contains 3 elements and

∴ Number of elements is S, n(S) = 3×n = 3n

Also, each element of S belongs to exactly 9 of the Bj's.

∴ Number of distinct elements in S =  =

 = 15

⇒ n = 45

∴ The required value of n is 45.

Indian Army Agniveer Technical Mock Test - 1 - Question 10

A sum of money becomes Rs 1500 in 3 years at a 2% simple rate of interest per annum, then in how many years will it become Rs. 1800?

Detailed Solution for Indian Army Agniveer Technical Mock Test - 1 - Question 10

Given:

Amount = Rs. 1500

Rate = 2% and Time = 3 years

Concept used:

SI = (P × R × T)/100

A = P + SI

SI = A - P

Where, P = Principal, R = Rate of interest,

T = Time period, A = Amount, SI = Simple interest

Calculation:

According to the above concept,

A = P + SI

Initial amount = 1500/-, Principal

⇒ A = P + (P × R × T)/100

Now, Final amount = 1800, Principal remains same

SI = Final amount - Principal

∴ The required time is 13 (3/5)..

Indian Army Agniveer Technical Mock Test - 1 - Question 11

If 2log(x+3) = log81 then the value of x.

Detailed Solution for Indian Army Agniveer Technical Mock Test - 1 - Question 11

Given:

⇒ 2log(x+3) = log81

Concept used:

a log(b) = log(b)a

Calculation:

Here,

⇒ 2log(x+3) = log81

⇒ log(x + 3)2 = log81

⇒ (x + 3)2 = 81

⇒ (x + 3) =

x + 3 = 9

x = 9 - 3 = 6

∴ x = 6

Indian Army Agniveer Technical Mock Test - 1 - Question 12

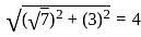
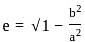
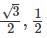
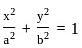
The equation of the circle passing through the foci of the ellipse x216+y29=1, and having centre at (0, 3) is

Detailed Solution for Indian Army Agniveer Technical Mock Test - 1 - Question 12

Concepts:- for any ellipse ; (a > b)

coordinate of for ii are; (-ae, 0) and (+ae, 0)

where,

The equation of any circle having centre: c: (x, y) and radius 'r' is given as

(x - x1)2 + (y - y1)2 = r2

Calculation:-

Given

Here, a = 4, b = 3 and

coordinates are: (-√7, 0) and (√7, 0). The circle passes through these pointer.

The radius of circle is

R =

Equation of circle with centre (0, 3) and R = 4 is

(x - 0)2 + (y - 3)2 = (4)2

OR x2 + y2 - 7 = 0

Indian Army Agniveer Technical Mock Test - 1 - Question 13
The quadratic equation with real coefficients whose one root is 7 + 5i, will be
Detailed Solution for Indian Army Agniveer Technical Mock Test - 1 - Question 13

Concept:

For a real polynomial, complex roots occur in conjugate pairs,

that is, if x + iy is the root of a polynomial then x - iy is also the root of that polynomial.

Calculation:

The quadratic equation with real coefficients has one root as 7 + 5i

⇒ Other root of the quadratic equation is 7 - 5i

The equation with roots 7 + 5i and 7 - 5i is

(x - ( 7 + 5i))(x - (7 - 5i)) = 0

⇒ x2 - (7 + 5i + 7 - 5i)x + (7 + 5i)(7 - 5i) = 0

⇒ x2 - 14x + (72 + 52) = 0

⇒ x2 - 14x + 74 = 0

∴ The correct answer is option (1).

Indian Army Agniveer Technical Mock Test - 1 - Question 14

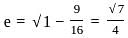
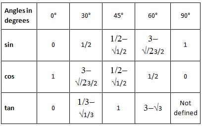
Determine the value of sin⁡21π2 and cos(-1740°)?

Detailed Solution for Indian Army Agniveer Technical Mock Test - 1 - Question 14

Concept:​​​​​

cos (-θ) = cos θ

cos (2nπ - θ) = cos θ

Calculation:

We have,

⇒ sin(21π2)

Remove full rotations of 2π until the angle is between 0 and 2π

As we know that the value of  is 1.

As we know, the value of cos θ repeats after an interval of 2π or 360°

⇒ cos (-1740°) = cos (1740°) [∵ cos (-θ) = cos θ]

We know that cos (2nπ - θ) = cos θ

As sin θ and cos θ are have a time period of 360°

⇒ cos (1740°) = cos (5 × 360° - 1740°)

⇒ cos (1740°) = cos (1800° - 1740°)

⇒ cos (1740°) = cos (60°)

As we know, cos 60° = 1/2

⇒ cos (-1740°) = 1/2.

∴ The value of  is 1 and the value of cos (-1740°) is 1/2.

Indian Army Agniveer Technical Mock Test - 1 - Question 15

If the angle of incidence formed on a concave mirror at a point is 30° then the angle of reflection will be:

Detailed Solution for Indian Army Agniveer Technical Mock Test - 1 - Question 15

The correct answer is 30°.

Key Points

  • Reflection: The phenomenon in which a light ray is sent back into the same medium from which it is coming, on interaction with a boundary, is called reflection.
  • Laws of reflection: it states that, if a light ray is reflected from a plane flat polished surface its angle of the incident will always be equal to the angle of reflection
    • i.e., The angle of incidence (θ i ) = Angle of reflection (θ r )
  • Hence the angle of reflection will be 30°.

Indian Army Agniveer Technical Mock Test - 1 - Question 16
The time difference between the actual sunset and apparent sun set is about:
Detailed Solution for Indian Army Agniveer Technical Mock Test - 1 - Question 16

The correct answer is 2 minutes.

Explanation:

  • The Earth rotates around the Sun, resulting in day and night and changes in years.
  • The day begins with the sunrise, and the night begins with the sunset.
  • When the Sun crosses the horizon, it is said to be sunset.
  • The line where the Earth's surface and the sky appear to meet is known as the horizon.
  • And, as we know, if we look at the Sun from Earth, the Earth's atmosphere is denser than the Sun's. As a result, we are seeing it from denser atmospheric air.
  • As a result, the Sun appears to be raised above the horizon, and we can see it 2 minutes before sunrise.
  • The same thing happens at sunset, where we can see the Sun 2 minutes after sunset.
  • As a result, the time difference between the actual sunset and the apparent sunset is approximately 2 minutes.
Indian Army Agniveer Technical Mock Test - 1 - Question 17
How much electrical energy in kilowatt hours is consumed in operating ten 5watt bulbs for 10 hours per day in a month of 30 days?
Detailed Solution for Indian Army Agniveer Technical Mock Test - 1 - Question 17

The correct answer is 15 kWh.

Calculation:

Let us assume the number of bulbs in operation is represented by N, the power consumed by each bulb is represented by P, and the time of operation of bulbs in a month is represented by T.

N = 10

P = 5 watt

It is given that bulbs operate for 10 hours per day for one month. As a result, the operating hours for the entire month will be given as:

T = 30 x 10 hr

= 300hr

To calculate the amount of electrical energy consumed by a bulb in a kilowatt hour, we will use the energy expression given in terms of power and time.

E1 = P x T

However, we must calculate the energy consumed in a kilowatt hour by N bulbs.

E = N x P x T

As given N = 10, P = 5 watt, T = 300hr

E = 10 x (5 watt) x (300 hr)

= 15,000 watt.hr

To convert the obtained energy value in Watt hour to kilowatt hour, divide it by 1000.

E = 15 kWh

Thus, 15 kWh of electrical energy in kilowatt-hours is consumed in operating ten 5-watt bulbs for 10 hours per day in a month of 30 days.

Indian Army Agniveer Technical Mock Test - 1 - Question 18
What are the two necessary conditions to be satisfied to say that work is done?
Detailed Solution for Indian Army Agniveer Technical Mock Test - 1 - Question 18

Concept:

Work: It's the energy transferred to or from an object via the application of force.

Explanation:

Work done by a constant force:

  • It's equal to the product of the force and displacement.
  • Work done (W) = force (F) × displacement (s)​

The necessary conditions for the work done are:

  • There should be a force (F) acting on the body
  • There should be some displacement (s)

Hence, when either of these is zero, the work done would be zero.
Key Points

  • Work done is negative when the force acts opposite to the direction of displacement.
  • Work done is positive when the force is in the direction of displacement.​
Indian Army Agniveer Technical Mock Test - 1 - Question 19
What is the power of a light bulb which dissipates 3600 joules of energy in a minute?
Detailed Solution for Indian Army Agniveer Technical Mock Test - 1 - Question 19
  • To solve the problem we first need to understand the definition of power
  • Power is the energy dissipated in unit time which is seconds
  • Therefore Power = Energy/Time
  • Power = 3600 joules/ 60 seconds = 60 Watts
Indian Army Agniveer Technical Mock Test - 1 - Question 20
Which one is NOT true for electromagnets?
Detailed Solution for Indian Army Agniveer Technical Mock Test - 1 - Question 20

The correct answer is Polarity cannot be changed.

Key Points

  • Electromagnets:
    • The electromagnet is a device consisting of a core of magnetic material surrounded by a coil.
    • An electric current is passed through this coil to magnetize the core.
    • This is made out of a coil of wire.
    • This coiled wire technique is more effective in producing a magnetic field than just a wire running straight.
    • This effect can be strengthened by winding a wire tightly around a powerful core, made of magnetic material.
    • It is a temporary type of magnet.
    • Ferromagnetic materials are attracted by magnets.
    • Like poles repel each other while unlike poles attract each other.
    • Its strength can be changed.
    • Its strength varies with the air gap between its poles.
Indian Army Agniveer Technical Mock Test - 1 - Question 21
A liquid drop, contracts because of the attraction of its particles and occupies the smallest possible area. This phenomenon is known as -
Detailed Solution for Indian Army Agniveer Technical Mock Test - 1 - Question 21

Property of a liquid is it always occupies minimum surface area, this phenomenon of liquid is known as Surface Tension.

A force which is known as “Van der Waals” forces, draw the liquid particles together.

Mathematically surface tension is defined as the ratio of Forces and the ratio of the surface force F to the length d along which the force acts.

● Example of Surface Tension –

  • In a dropper, the water does not flow in a continuous stream, but rather in a series of drops.
  • Several insects are able to walk on water.
  • Bubbles are round.
  • Needle floating on water.
Indian Army Agniveer Technical Mock Test - 1 - Question 22
Laser is a device that produces
Detailed Solution for Indian Army Agniveer Technical Mock Test - 1 - Question 22

The correct answer is Coherent beam.

Key Points

LASER - Light Amplification by Stimulated Emission of Radiation:

  • A laser is an unusual light source as it is quite different from a light bulb or a flashlight.
  • A laser is a device that is used to produce a highly monochromatic, coherent, a unidirectional beam of light
  • A laser device makes use of atoms or molecules to emit light at particular wavelengths and amplifies that light to produce a narrow beam of radiation.​
  • Wavelength has measured the distance between the adjacent crest or trough
Indian Army Agniveer Technical Mock Test - 1 - Question 23
An object can be called a stationary object when:
Detailed Solution for Indian Army Agniveer Technical Mock Test - 1 - Question 23

The correct answer is Option 2.

Key Points

  • An object can be called a stationary object when it is not moving or its position is not changing with respect to its surroundings.
  • In other words, a stationary object is at rest or in a state of equilibrium.
  • This is in contrast to a moving object, which is in motion and has a changing position with respect to its surroundings.
  • It's important to note that whether an object is stationary or not depends on the frame of reference.
  • For example, an object may be stationary with respect to the ground but may be moving with respect to a moving vehicle.
Indian Army Agniveer Technical Mock Test - 1 - Question 24
Which of the following is the present basis for the classification of elements?
Detailed Solution for Indian Army Agniveer Technical Mock Test - 1 - Question 24

The correct answer is Atomic number of elements

Key Points

  • The atomic number represents the number of protons in an atom's nucleus. This property is fundamental to an element's identity and is key to the organization of the periodic table.
  • This way of classification came after Henry Moseley's work in 1913. He found that atomic number, not atomic mass, defines the identity of an element.
  • This meant that the periodic table's organization could be more accurately done by atomic number, reflecting the electronic structure of the atoms and results in a periodic repetition of properties.
  • So, elements in the modern periodic table are arranged in order of increasing atomic number, which brought about a clear periodic variation of properties.

Additional Information

  • Atomic Mass of Elements : Although atomic mass was used by Dmitri Mendeleev in the 19th century when he initially developed the periodic table, this was primarily due to the lack of knowledge about the structure of atoms. Once it was discovered that atomic number, not atomic mass, gave a more accurate organization of the elements, atomic mass became a less useful criterion for organization.
  • Physical State of Elements: While elements can be grouped based on their physical state (solid, liquid, gas) at room temperature, this is not the primary basis for the classification of elements in the periodic table.
  • Valency of Elements : Valency can indicate how elements will interact with each other, as it represents atom's capacity to bond with other atoms. But it's not used as the primary organizing factor of the periodic table. Notably, valency patterns do emerge when elements are arranged by atomic number, but it is not the primary criterion for classification.

Conclusion:-

So, the basis for the classification of elements is Atomic number of elements

Indian Army Agniveer Technical Mock Test - 1 - Question 25

Which of the following is correct about reaction of phosphorus with water ?

Detailed Solution for Indian Army Agniveer Technical Mock Test - 1 - Question 25

The Correct answer is Phosphorus doesn’t react with water

Explanation:

  • Phosphorus was discovered by Hennig Brand in 1669.
  • < />
    • Phosphorus has the smell of garlic.
    • Elemental phosphorus exists in two different forms namely white phosphorus and red phosphorus.
    • Phosphorus is never found as a free element on earth due to its high reactivity.
    • < />Phosphorus is stored in water to prevent its contact with atmospheric oxygen.
    • < />< />< />
      • The element kept in water is white phosphorus.
      • White phosphorus emits green light on exposure to the atmosphere.
      • White phosphorus burns in the atmosphere at 30º C.
      • Red phosphorus is used for making safety matches.
      • Phosphorus is used in the fertilizer industry.
      • < />
        • Sodium (Na) and potassium (K) are kept in Kerosene to avoid moisture and oxidation.
        • White phosphorous is kept underwater to avoid oxidation, also it is insoluble in water.
        • "Phosphorus oxide is formed" is incorrect. While phosphorus oxides can be formed in other reactions involving phosphorus, in this specific reaction with water, phosphorous acid (phosphorus hydroxide) is formed, not a phosphorus oxide.
        • "Hydrogen gas is released" is also incorrect. Although hydrogen is present in the reactants (water), it is not released as a gas in this specific reaction.
Indian Army Agniveer Technical Mock Test - 1 - Question 26
In hard water, soap reacts with the______(which is relatively high in hard water) to form "soap scum
Detailed Solution for Indian Army Agniveer Technical Mock Test - 1 - Question 26

Concept:

Hard water:

  • Rainwater is almost pure and a good solvent so it dissolves many salts.
  • The presence of calcium and magnesium salts in the form of hydrogen carbonate, chloride and sulphate in water makes water ‘hard’.
  • Hard water does not give a lather with soap.

Explanation:

Soap scum:

  • The precipitate is created when soap molecules interact with calcium and magnesium salts.
  • This precipitate starts to float on the water as an off-white layer.
  • We refer to this layer as scum.
  • Soap containing sodium stearate (C17H35COONa) reacts with hard water to precipitate out Ca/Mg-stearate.
  • Due to the scum buildup in hard water, soaps lose their cleansing ability.

Thus, in hard water, soap reacts with the Calcium (which is relatively high in hard water) to form "soap scum".

Additional InformationSoft water:

  • Water free from soluble salts of calcium and magnesium is called Soft water.
  • It gives lather with soap easily.

Heavy water:

  • Heavy water, D2O is another important compound which is manufactured by the electrolytic enrichment of normal water.
  • It is essentially used as a moderator in nuclear reactors.
Indian Army Agniveer Technical Mock Test - 1 - Question 27
The maximum number of electrons present in a shell is given by the formula
Detailed Solution for Indian Army Agniveer Technical Mock Test - 1 - Question 27

Option 4 is correct, i.e. 2n2.Key Points

  • Each shell can contain only a fixed number of electrons.
  • The general formula is that the nth shell can in principle holds up to 2n2 electrons.
Indian Army Agniveer Technical Mock Test - 1 - Question 28
Reaction is said to be in equillibrium when :
Detailed Solution for Indian Army Agniveer Technical Mock Test - 1 - Question 28

The correct answer is option 1

Key Points

  • Chemical equilibrium is a state in a reversible chemical reaction where the rate of the forward reaction equals the rate of the reverse reaction.
  • The concentrations of the reactants and products remain constant when a system is at equilibrium, even though reactions are still happening.
  • Equilibrium is a dynamic state, not a static one. It's a balance of continuous action with reactants forming products and vice versa.
  • Changing the concentration of either reactants or products will shift the equilibrium. Increasing the concentration of reactants pushes the equilibrium to the right (favouring products), while increasing the concentration of products pushes it to the left (favoring reactants).
  • The equilibrium constant (K) quantitatively represents the ratio of the concentrations of products to reactants at equilibrium, with each concentration raised to the power of its stoichiometric coefficient. The value of K at a particular temperature demonstrates whether the reactants or products are favoured in the equilibrium.
  • An equilibrium expression is a mathematical representation of a chemical reaction at equilibrium. It is derived from the balanced chemical equation for the reaction and the equilibrium constant.

Additional Information

  • A reaction is said to be at equilibrium when the rate of the forward reaction (reactants transforming into products) equals the rate of the backward reaction (products transforming back into reactants). At this point, there are still reactions happening, but there's no net change in the concentrations of reactants and products.
  • The statement "50% of the reactants are converted to products" doesn't necessarily describe equilibrium. Equilibrium doesn't require a specific ratio of reactants to products; rather, it requires the rates of the forward and backward reactions to be equal.
  • The volume of reactants being equal to the volume of products is not a condition for chemical equilibrium. Equilibrium is about the rates of the forward and backward reactions, not the volumes or quantities of reactants and products.
  • If all reactants are converted to products, the reaction is considered complete, not at equilibrium. A system at equilibrium still has both reactants and products present because the forward and reverse reactions continue to occur at the same pace.

Conclusion:-

So, the Reaction is said to be in equillibrium when the rate of transformation of reactants to products is equal to the rate of transformation of products to the reactants.

Indian Army Agniveer Technical Mock Test - 1 - Question 29
A hydrocarbon in which two carbon atoms are joined by a triple bond is called as an:
Detailed Solution for Indian Army Agniveer Technical Mock Test - 1 - Question 29

The correct answer is Alkyne.

Key Points

  • A hydrocarbon in which two carbon atoms are joined by a triple bond is called an Alkyne.
  • A hydrocarbon is an organic compound consisting entirely of hydrogen and carbon.

Important Points

  • Alkane
    • These are organic compounds that consist entirely of single-bonded carbon and hydrogen atoms and lack any other functional groups.
    • General Formula- CnH2n+2
    • They are the principal constituent of gasoline and lubricating oils and are extensively employed in organic chemistry.
  • Alkene
    • These are a class of hydrocarbons unsaturated compounds with at least one carbon-to-carbon double bond.
    • General Formula-CnH2n
    • Alkenes are more reactive than alkanes due to the presence of the double bond.
    • They are used in the synthesis of alcohols, plastics, lacquers, detergents, and fuels as starting materials.
  • Alkyne
    • These are organic molecules made of the functional group carbon-carbon triple bonds.
    • Chemical Formula-CnH2n−2
    • Alkynes are commonly used to artificially ripe fruits.
Indian Army Agniveer Technical Mock Test - 1 - Question 30
In an electrochemical cell, electrons travel in which direction?
Detailed Solution for Indian Army Agniveer Technical Mock Test - 1 - Question 30

Correct answer: 1)

Concept:

  • An electrochemical cell is a device capable of either generating electrical energy from chemical reactions or facilitating chemical reactions through the introduction of electrical energy.
  • Galvanic cells play a crucial role in our day-to-day lives by providing electric current of a small power scale.

Explanation:

  • An electrochemical cell has a zinc electrode dipped in a solution of zinc sulfate and forms the anode (negative electrode).
  • It has a copper electrode dipped in a solution of copper sulfate and forms the anode (positive electrode) of the cell.
  • The anode is connected to the cathode externally with the help of a wire and internally with the help of the salt bridge.
  • Electrons flow from anode to cathode through the external supply in an electrochemical cell.
  • The transfer of electrons in the external circuit from the anode to the cathode generates an electric current from the cathode to the anode (opposite to the flow of electrons).

Conclusion:

Thus, In an electrochemical cell, electrons travel from the anode to the cathode through the external Circuit.

View more questions
Information about Indian Army Agniveer Technical Mock Test - 1 Page
In this test you can find the Exam questions for Indian Army Agniveer Technical Mock Test - 1 solved & explained in the simplest way possible. Besides giving Questions and answers for Indian Army Agniveer Technical Mock Test - 1, EduRev gives you an ample number of Online tests for practice
Download as PDF