Indian Army Agniveer Exam  >  Indian Army Agniveer Tests  >  Indian Army Agniveer Technical Mock Test - 2 - Indian Army Agniveer MCQ

Indian Army Agniveer Technical Mock Test - 2 - Indian Army Agniveer MCQ


Test Description

30 Questions MCQ Test - Indian Army Agniveer Technical Mock Test - 2

Indian Army Agniveer Technical Mock Test - 2 for Indian Army Agniveer 2025 is part of Indian Army Agniveer preparation. The Indian Army Agniveer Technical Mock Test - 2 questions and answers have been prepared according to the Indian Army Agniveer exam syllabus.The Indian Army Agniveer Technical Mock Test - 2 MCQs are made for Indian Army Agniveer 2025 Exam. Find important definitions, questions, notes, meanings, examples, exercises, MCQs and online tests for Indian Army Agniveer Technical Mock Test - 2 below.
Solutions of Indian Army Agniveer Technical Mock Test - 2 questions in English are available as part of our course for Indian Army Agniveer & Indian Army Agniveer Technical Mock Test - 2 solutions in Hindi for Indian Army Agniveer course. Download more important topics, notes, lectures and mock test series for Indian Army Agniveer Exam by signing up for free. Attempt Indian Army Agniveer Technical Mock Test - 2 | 50 questions in 60 minutes | Mock test for Indian Army Agniveer preparation | Free important questions MCQ to study for Indian Army Agniveer Exam | Download free PDF with solutions
Indian Army Agniveer Technical Mock Test - 2 - Question 1

Mahatma Gandhi returned to India in the year 1915, from which country among the following?

Detailed Solution for Indian Army Agniveer Technical Mock Test - 2 - Question 1

The correct answer is South Africa.Key Points

  • Mahatma Gandhi returned to India in the year 1915, from South Africa.

Mahatma Gandhi:

  • He was Born on 2 October 1869.
  • He died on 30 January 1948.
  • He was undoubtedly a great man, both in personal force and in political effect.
  • He was an Indian Lawyer, politician, social activist, and writer who molded the character of the struggle for freedom in India, and impressed his own ideals upon the new governing class that came into power when the English went home.
  • Mahatma Gandhi returned to India from South Africa on 9 January 1915 at the request of Gopal Krishna Gokhale.
  • After arriving in India, Mahatma Gandhi successfully organized Satyagraha Movements in various places.
  • Gandhiji's return from South Africa can be seen as perfect timing for the future development of the Indian national movement.
  • Gokhale helped Gandhiji at the time of hardships in raising funds when Gandhiji was in South Africa.
  • Gokhale insisted to Gandhiji that he had been far away from his nation.
  • He wanted Gandhiji to come to India and know the situation in India under British Rule.
Indian Army Agniveer Technical Mock Test - 2 - Question 2

The folk dance Hojagiri originated and is associated with which part of India?

Detailed Solution for Indian Army Agniveer Technical Mock Test - 2 - Question 2

The correct answer is North-East.

Key Points

  • The Tripuri people of the Bru Reang tribe perform the folk dance known as hojagiri.
  • It is performed in the state of Tripura, India.
  • A team of four to six ladies and young girls do it while singing, balancing on an earthen pitcher, and controlling various props like a bottle on top of the head and an earthen lamp in one hand.
  • while the body is only moved in the lower half.
  • Other folk dances of North-East:
    • Garia, Jhum, Maimita, Masak Sumani and Lebang boomani dances of Tripuri community,
    • Bijhu dance of Chakma community,
    • Cheraw and Welcome dances of the Lusai community
    • Hai-Hak dance of the Malsum community,
    • Wangala dance of Garo Community.

Additional Information

Indian Army Agniveer Technical Mock Test - 2 - Question 3

Which of the book is written by Lt Gen Anil Chauhan?

Detailed Solution for Indian Army Agniveer Technical Mock Test - 2 - Question 3

The correct answer is the Aftermath of a Nuclear Attack.

Key Points

  • The aftermath of a Nuclear Attack: A Case Study on Post-strike Operations is written by Lt Gen Anil Chauhan, who is appointed new CDS.
  • It was his first book which was published in 2010.
  • He has just completed another book, Military Geography of India’s Northern Borders.

Additional Information

  • After the death in a helicopter crash of the country’s first Chief of Defence Staff, General Bipin Rawat (retired).
  • The Government announced Lt General Anil Chauhan (retired) as the new CDS.
  • He is the second CDS of India.
  • Lieutenant General Anil Chauhan (retd), the military adviser to the National Security Council Secretariat (NSCS).
  • He was the Eastern Army commander from September 2019 and held the charge till his retirement in May 2021.
  • He has also served as director general of military operations (DGMO) and commanded a corps in the North-East and a division in Kashmir during his 40-year military service.
  • He has also served as a United Nations peacekeeper in Angol
Indian Army Agniveer Technical Mock Test - 2 - Question 4
Which of the following mountains is the oldest ?
Detailed Solution for Indian Army Agniveer Technical Mock Test - 2 - Question 4

The correct answer is Aravalli.

Key Points

  • Aravalli Mountain Range is Pre Cambrian range fold mountain range.
  • It is one of the oldest mountain ranges in the world.
  • It starts from Girnar, Gujrat, and extends up to Delhi covering Rajasthan and Haryana.
  • Its total length is 692 Kms and from this 550 km is located in Rajasthan. Guru Shikhar in Sirohi, Rajasthan is the highest peak of the Aravalli Mountain Range.
  • The hidden limb of the Aravallis that extends from Delhi to Haridwar creates a divide between the drainage of rivers of the Ganga and the Indus Rivers.

Important Points

  • The Tian Shan is a mountain range located in Central Asia. Its highest peak is Jengish Chokusu. It is spread in China, Kazakhstan, Krygyzstan, Uzbekistan, and Tajikistan.
  • Satpura Range is a mountain range located in MP and Maharashtra. Its highest peak is Dhupgarh.
  • The Alps is a mountain range of Europe. Mont Blanc is the highest peak of this range.
Indian Army Agniveer Technical Mock Test - 2 - Question 5

Surat is also known as ______ of India.

Detailed Solution for Indian Army Agniveer Technical Mock Test - 2 - Question 5

The Correct Answer is Diamond city
Key Points:

  • Surat is famous for its diamond cutting and polishing and is known as the Diamond City of India.
  • 90% of all diamond cutting and polishing on the planet takes place in Surat.

Important Points:

  • Surat is a port city situated on the banks of the Tapi River.

Additional Information:

Indian Army Agniveer Technical Mock Test - 2 - Question 6

Which among the following is the source of Ganga river?

Detailed Solution for Indian Army Agniveer Technical Mock Test - 2 - Question 6

The correct answer is Gomukh.

Key Points

Ganges

  • The Ganges, known locally as the Ganga, is a major river in the Indian subcontinent, originating from the Gangotri Glacier at Gomukh, Uttarakhand.
  • The river initially flows as the Bhagirathi, which merges with the Alaknanda at Devprayag to officially start the Ganges.
  • Covering 2,525 km, the Ganges traverses several states in India, ultimately flowing into Bangladesh.
  • Upon reaching West Bengal, the Ganges bifurcates into the Hooghly River (which flows into India) and the Padma River (flowing into Bangladesh).
  • Principal Ganges tributaries on the left bank include the Ramganga, Garra, Gomti, Ghaghara, Gandaki, Burhi Gandak, Koshi, and Mahananda.
  • Principal right bank tributaries of the Ganges include the Yamuna, Son, Punpun, and Damodar.
  • The Ganges and its tributaries support millions of livelihoods and contribute significantly to the agricultural and industrial sectors of the region.
  • The river system has high spiritual and religious importance in Hinduism, symbolizing purification to many devotees.

Tehri Dam

  • The Tehri Dam, located in the Tehri Garhwal district of Uttarakhand, India, is the tallest dam in the country and the 12th tallest in the world.
  • It's an earth and rock-fill embankment dam situated on the Bhagirathi River near Tehri

Additional Information

Major tributaries of the Ganges are.

  • Yamuna
    • ​The Yamuna River is the largest tributary of the Ganga River.
    • It originates from the Yamunotri glacier, at the Bandarpoonch peak in Uttarakhand.
    • The main tributaries joining the river include the Hindon, Betwa Ken, and Chambal.
    • The Tons is the largest tributary of the Yamuna.
  • Son
    • The river originates near Amarkantak in the Anuppur district of Madhya Pradesh.
    • The Gondwana coal is found near its bank.
    • It belongs to the carboniferous period(570-245 million years).
    • It contains 60-90% bituminous or anthracite.
    • The coal is also found near the banks of the Narmada, Mahanadi, and Godavari rivers.
    • The Indrapuri Barrage was constructed in 1968.
    • The Bansagar Dam in Madhya Pradesh was commissioned in 2008.
  • Damodar
    • ​Damodar River has a rift valley due to downwarping.
    • It originates from the Chota Nagpur Plateau. It flows in the states of Jharkhand and West Bengal.
    • It drains into the river Hoogly.
    • It is called as ‘Sorrow of Bengal’.
  • Damodar Vally Corporation
    • The DVC was established in July 1948 as the first multipurpose river valley project in India.
    • It was modeled after the Tennessee Valley Authority in the U.S. with the primary aim of controlling flooding, providing irrigation, and generating hydroelectric power.
    • Aside from flood control and power generation, the DVC has broadened its operational scope to include various services like providing consultancy services, managing contracts, reforestation, and organizing public health and agricultural development initiatives.
    • Panchet Dam: Panchet Dam, located on the border of West Bengal and Jharkhand, serves both electricity generation and irrigation purposes. It was the last of the four multi-purpose dams included in the first phase of the Damodar Valley Corporation (DVC) projects.
    • Konar Dam: Located on the Konar River, a tributary of the Damodar River, the Konar Dam is the second of the four major dams constructed as part of the DVC project. The dam is used for water storage, irrigation, and flood control.
    • Maithon Dam: This dam, near Maithon town in Jharkhand, has a unique underground power station. It serves for flood control, as well as irrigation and power generation.
    • Tilaiya Dam: Constructed across the Barakar River, a tributary of the Damodar, the Tilaiya Dam is the first dam and hydroelectric power station constructed by the DVC. Located in Koderma district in Jharkhand, it serves multiple purposes including flood control and power generation.

Kosi

  • The Kosi River, also known as Saptakoshi for its seven Himalayan tributaries, flows through the countries of China, Nepal, and India.
  • This river drains from the northern slopes of the Himalayas in Tibet and the southern slopes of Nepal.
  • The Kosi River often changes its course and is therefore known as the "Sorrow of Bihar" because of its frequent floods affecting the Indian state of Bihar.
  • The Kosi Project, an agreement between the governments of Bihar and Nepal, was initiated in 1954 to manage these frequent floods. The project included the construction of a barrage near Hanumannagar in Nepal and the building of embankments along portions of the river.

Indian Army Agniveer Technical Mock Test - 2 - Question 7

Select the figure from the options that can replace the question mark (?) and complete the pattern.

Detailed Solution for Indian Army Agniveer Technical Mock Test - 2 - Question 7

We complete the given figure with symmetrical lines:

Now we compare the given options:

Option 1) There is an extra line in the figure.

Option 2) The figure is correct.

Option 3) There is an extra line in the figure.

Option 4) There is an extra line in the figure.

Hence the correct answer is option 2)

Indian Army Agniveer Technical Mock Test - 2 - Question 8

If cosec θ = 1(7/22), find the value of cot2 θ.

Detailed Solution for Indian Army Agniveer Technical Mock Test - 2 - Question 8

Given:

cosec θ = 1(7/22)

Concept used:

Cotθ = Base/perpendicular

Calculation:

Here

cosec θ = 1(7/22)

cosec θ = 29 / 22

Then Base will be ,

⇒ √(292 - 222 )

√(29 - 22 ) (29 + 22)

⇒ √(7 ×51) = √(357)

So Cotθ = √(357) / 22

∴ The correct option is 2

Indian Army Agniveer Technical Mock Test - 2 - Question 9

An unbiased dice is thrown. What is the probability of getting a multiple of 3?

Detailed Solution for Indian Army Agniveer Technical Mock Test - 2 - Question 9

Concept Used:

Probaility = (Number of favorable outcomes)/(Sample space)

Calculation:

The numbers which are multiples of 3 are 3 and 6. These two numbers appear on the faces of the dice. Therefore, there are 2 favorable outcomes.

The total number of possible outcomes is 6 because the dice has 6 faces.

Therefore, the probability of getting a multiple of 3 when an unbiased dice is thrown is:

Favorable outcomes / Total outcomes = 2 / 6 = 1 / 3

∴ The probability of getting a multiple of 3 is 1/3.

Indian Army Agniveer Technical Mock Test - 2 - Question 10

Detailed Solution for Indian Army Agniveer Technical Mock Test - 2 - Question 10

Concept:

  • cos 2x = 2cos2x - 1 = 1 - 2 sin2x

Calculation:

Given,

∴ The correct answer is option (3).

Indian Army Agniveer Technical Mock Test - 2 - Question 11

If 40% of 40% of x is 40 then ‘x’ is

Detailed Solution for Indian Army Agniveer Technical Mock Test - 2 - Question 11

Given:

40% of 40% of x is 40

Calculation:

40% of 40% of x is 40

⇒ x = (25 × 10) = 250

∴ The required value of x is 250.

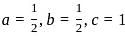
Indian Army Agniveer Technical Mock Test - 2 - Question 12

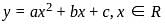
If the curve , passes through the point (1, 2) and the tangent line to this curve at origin is y = x , then the possible values of a, b, c are:

Detailed Solution for Indian Army Agniveer Technical Mock Test - 2 - Question 12

Concept:

Slope of the tangent to the curve:

The slope of curve y = f(x) at some point P(x1, y1) means the slope of tangent to the curve at P(x1, y1).

The slope is given as m, where  at (x1, y1).

Explanation:

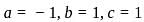
⇒ 0 = 0 + 0 + c

Therefore, c = 0 ---(iii)

Substitute the value of b and c in equation (i), we have

⇒ 2 = a + 1 + 0

⇒ a = 1

From the equation (i), (ii) & (iii) we get:

⇒ a = 1, b = 1 and c = 0

Indian Army Agniveer Technical Mock Test - 2 - Question 13

Let f ∶ R → R be defined by f(x) = 3x2 − 5 and g ∶ R → R by g(x) = . Then g o f is

Detailed Solution for Indian Army Agniveer Technical Mock Test - 2 - Question 13

Explanation:

Composition of function: When the function f(x) is substituted in the function g(x), the composite function formed is represented by (g o f)x. It can be termed as “g of f of x".

Indian Army Agniveer Technical Mock Test - 2 - Question 14

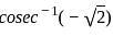
What is the principal value of ?

Detailed Solution for Indian Army Agniveer Technical Mock Test - 2 - Question 14

Concept:

Principal value of cosec-1θ is

cosec[cosec-1x] = x

Calculation:

Let,

y =

⇒ cosec y = - √2

⇒ cosec y = cosec(−π4)

∴ Principal value is −π4.

Additional Information
Principal Values of Inverse Trigonometric Functions:

Indian Army Agniveer Technical Mock Test - 2 - Question 15

What is the value of ?

Detailed Solution for Indian Army Agniveer Technical Mock Test - 2 - Question 15

Formula used:

Calculation:

Let

y =

⇒ y =

 

Using the formula discussed above

⇒ y = e5

∴ The required value is e5.

Indian Army Agniveer Technical Mock Test - 2 - Question 16

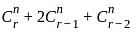
C(n, r) +2C(n, r - 1) + C(n, r - 2) = ?

Detailed Solution for Indian Army Agniveer Technical Mock Test - 2 - Question 16

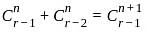
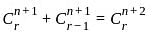
Concept:

........(equation 1)

.......(equation 2)

Explanation:

We are given C(n, r) +2C(n, r - 1) + C(n, r - 2) i.e.

⇒ C(n, r) +2C(n, r - 1) + C(n, r - 2)

 (Using equation 1 and 2)

⇒ C(n + 2, r)

Indian Army Agniveer Technical Mock Test - 2 - Question 17

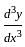
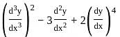
The order and degree of the differential equation (d3ydx3)2−3d2ydx2+2(dydx)4 = y4 are :

Detailed Solution for Indian Army Agniveer Technical Mock Test - 2 - Question 17

Concept:

1) The order of a differential equation is the order of the highest derivative appearing in it.

2) The degree of a differential equation is the power of the highest-order derivative in the equation.

Calculation:

Given  = y4

Highest order derivative is  ∴ The order is 3.

The power of the highest-order derivative is 2. ∴ The degree is 2.

The correct answer is option 4.

Indian Army Agniveer Technical Mock Test - 2 - Question 18
A sound wave is propagated through a medium with a speed of 450 m/s, if the frequency of the wave is 1500 Hz, then find the wavelength of the sound wave used.
Detailed Solution for Indian Army Agniveer Technical Mock Test - 2 - Question 18

CONCEPT:

  • A sound is a form of energy that produces a sensation of hearing in our ears, It is a kind of disturbance that travels through a medium due to repeated vibrations of the particles of the medium about their mean positions.
  • The disturbance is handed over from one particle to the next, whereas sound waves travel in straight lines directly outwards from their source in the form of compression and rarefaction.
  • It is considered a mechanical wave since sound requires a medium for its propagation and it cannot propagate in a vacuum, also the velocity of sound will increase with an increase in the density of the medium
  • Wavelength (λ) is equal to the distance traveled by the wave during the time in which any one particle of the medium completes one vibration about its mean position. It is the length of one wave.
  • The frequency (n) of vibration of a particle is defined as the number of vibrations completed by a particle in one second. It is the number of complete wavelengths traversed by the wave in one second.

The relation between velocity, frequency, and wavelength can be expressed as

⇒ v = n x λ

Calculation:
Given:

v = 450 m/sec n = 1500 Hz

⇒ v = n x λ

Indian Army Agniveer Technical Mock Test - 2 - Question 19
What is the unit of measurement of supersonic speed?
Detailed Solution for Indian Army Agniveer Technical Mock Test - 2 - Question 19

The correct answer is Mac.

Key Points

  • Supersonic Speed -
    • When the speed of sound is greater than Mach 1.3 and less than Mach 5.0, that speed will be supersonic speed.
    • which is approximately equal to the speed of sound.
  • The speed five times the speed of sound (Mach 5) is called hypersonic speed.
  • Mach number -
    • It is the ratio of the speed of a body in a medium to the effect of pressure and temperature on sound.

Additional Information

  • ​Hertz -
    • It is the unit of the International System of Units (SI) of frequency.
  • Not -
    • It is the unit of speed.
    • It is equal to one nautical mile per hour.​
  • Richter -
    • It is a mathematical scale for measuring the intensity of earthquake waves.
Indian Army Agniveer Technical Mock Test - 2 - Question 20
The outer part of a railway track near the bend or a curve is generally raised:
Detailed Solution for Indian Army Agniveer Technical Mock Test - 2 - Question 20

The correct answer is To produce the necessary centripetal force.

Key Points

The outer part of a railway track near the bend or a curve is generally raised, i.e., the outer track of the bend is slightly higher than the inner. This is known as , the following three kinds of force act on it:

  1. The weight of the train acting vertically downwards,
  2. The normal reaction provided by the track, acting upwards, to support the weight of the train, and
  3. The frictional force acting between the contact area of wheels and the track surface helps the train move forward.

When a fast-moving train takes a curved path, it tends to move away tangentially off the track. In order to prevent this, the curved tracks are banked on the outside to produce the necessary additional force termed as centripetal force, which is required to keep the train moving in a curved path. If there is no banking of the track, this centripetal force that is obtained from the friction between the rim of the wheels and rails which is generally small may cause the train to jump off the rails.

So that railway tracks are banked on curves, so that necessary centripetal force may be obtained from the horizontal component & weight of the train

Indian Army Agniveer Technical Mock Test - 2 - Question 21
______ cannot be corrected with spectacles.
Detailed Solution for Indian Army Agniveer Technical Mock Test - 2 - Question 21

The correct answer is Cataract.

Key Points

  • A cataract is a clouding of the lens, which prevents a clear, sharp image from being produced.
  • A cataract forms because the lens is sealed in a capsule and as old cells die they get trapped in the capsule, with time this causes a clouding over of the lens, this clouding results in blurred images.

Additional Information

  • Presbyopia:
    • The power of accommodation of the eye usually decreases with aging.
    • For most people, the near point gradually recedes away.
    • They find it difficult to see nearby objects comfortably and distinctly without corrective eye-glasses.
    • This defect is called presbyopia.
    • It arises due to the gradual weakening of the ciliary muscles and diminishing flexibility of the eye lens.
  • Hypermetropia:
    • Hypermetropia is also known as far-sightedness.
    • A person with hypermetropia can see distant objects clearly but cannot see nearby objects distinctly.
    • This defect can be corrected by using a convex lens of appropriate power.
  • Myopia:
    • Myopia is also known as near-sightedness.
    • A person with myopia can see nearby objects clearly but cannot see distant objects distinctly.
    • A person with this defect has the far point nearer than infinity. Such a person may see clearly up to a distance of a few meters.
    • In a myopic eye, the image of a distant object is formed in front of the retina and not at the retina itself.
    • This defect can be corrected by using a concave lens of suitable power.
Indian Army Agniveer Technical Mock Test - 2 - Question 22
An object is kept at focus in front of a concave mirror. Which of the following is true about the image?
Detailed Solution for Indian Army Agniveer Technical Mock Test - 2 - Question 22

The correct answer is Image at infinity and highly enlarged.

Key Points

  • When an object is at the focus of the concave mirror the image is formed at infinity and it is real, inverted and highly magnified.
  • A concave mirror has a reflective surface that is curved inward and away from the light source.
  • Light converges at a point when it strikes and reflects back from the reflecting surface of the concave mirror. Hence, it is also known as a converging mirror.
Additional Information
  • Image is formed behind the mirror when the object is placed between Pole and Focus.
  • The image formed is enlarged.
  • When the object is at the Centre of Curvature, the image formed is at the Centre of Curvature.
  • When the object is at Focus, the image formed is at infinity.
Indian Army Agniveer Technical Mock Test - 2 - Question 23
Which of the following has the least strength?
Detailed Solution for Indian Army Agniveer Technical Mock Test - 2 - Question 23

The correct answer Van der Waals force

Key Points

  • Van Der Waals Forces
    • Van der Waals force is nothing but a distance-dependent molecular interplay that exists in almost every matter. This feeble molecular interaction is more susceptible to destruction. If two molecules are situated over a long distance, then no Van der Waals force remains active between them, which means the activeness of the force is bound into a certain range of distance. The picture shown below represents Van der Waals force very well.
  • Types of Van Der Waals Forces
    • Vanderwaal force is a combination of three interactions. They are explained below:
  • Keesom Interactions
    • When two polar molecules come together, then one’s negative end attracts the other's positive end. This attraction is refered to as Keesom interaction.
  • Keesom
    • According to the image, Cl is electronegative and hence attracts a bonding electron cloud towards itself, creating a negative end on it. The neighbouring Hydrogen Chloride comes in the vicinity of the previous negative pole, which means the chlorine end attracts the Hydrogen end of the second molecule.
  • Debye Forces
    • Debye force is a molecular phenomenon in which reciprocity awakening between two molecules having symmetrical charge distribution. To get better knowledge of this one has to be clear about the idea of charge distribution of molecules.
  • Debeye
    • Ar is a symmetrically charge distributed atom as its valence shell is totally occupied by electrons. When it comes in close distance with HCl. The electronegative element chlorine attracts Ar containing electron clouds that leads to the generation of debye interaction.
    • London Dispersion Forces
  • According to the Bohr atomic model, electrons disperse around the nucleus. The negative charge density (rise due to assembly of electrons) is also arranged in a different way, varying the capacity of the charge distribution of one atom’s nucleus. London dispersion force generates between the atoms which have symmetrical charge distribution around their nucleus.
Indian Army Agniveer Technical Mock Test - 2 - Question 24

Instrument used to observe changes in the solar system is :

Detailed Solution for Indian Army Agniveer Technical Mock Test - 2 - Question 24

The correct answer is the Hubble telescope. Key Points

  • The Hubble Space Telescope is a large telescope in space.
  • NASA launched Hubble in 1990.
  • It has been used since 1990 to observe changes in the solar system.
  • Hubble travels around Earth at about 5 miles per second.

Additional Information

  • Telescope
    • A telescope is a tool that astronomers use to see faraway objects.
    • The reflecting telescope uses mirrors to collect and focus light.
    • Galileo was the first one who used the telescope for astronomy.
  • Microscope
    • The microscope is an instrument that produces enlarged images of small objects, allowing the observer an exceedingly close view of minute structures at a scale convenient for examination and analysis.
Indian Army Agniveer Technical Mock Test - 2 - Question 25
Which of the following is a secondary cell?
Detailed Solution for Indian Army Agniveer Technical Mock Test - 2 - Question 25

The correct answer is Ni-Cd cell.

Key Points

  • Lead storage cells and nickel-cadmium cells are examples of secondary cells.
  • In a primary cell, power is generated due to a chemical reaction between chemicals in the cell. Once the chemicals are used up, the battery stops working.
  • Types of the primary cell are:
    • Voltaic cell, Daniel Cell, Lechlanche cell, dry cell

  • Secondary cells are types of cells in which the chemical reactions can be reversed by using an external energy source. This recharges the battery which can then be reused again and again.
  • Types of secondary cell:
    • Lead Acid, Edison cell, Nickel Cadmium cell
Indian Army Agniveer Technical Mock Test - 2 - Question 26
The chemical formula of "Cryolite" is:
Detailed Solution for Indian Army Agniveer Technical Mock Test - 2 - Question 26

Cryolite, colorless to white halide mineral, sodium aluminum fluoride (Na3AlF6). Cryolite is an ore of Aluminum.

Key Points

  • It occurs in a large deposit at Ivigtut, Greenland, and in small amounts in Spain, Colorado, U.S., and elsewhere.
  • It is used as a solvent for Bauxite in the electrolytic production of Aluminum.
  • Bauxite is one important ore of Aluminum.
  • The use of molten cryolite as a solvent reduces some of the energy costs involved in extracting aluminium by allowing the ions in aluminium oxide to move freely at a lower temperature.

Additional Information

Indian Army Agniveer Technical Mock Test - 2 - Question 27
The correct electronic configuration of Cu is:
Detailed Solution for Indian Army Agniveer Technical Mock Test - 2 - Question 27

The correct answer is [Ar]3d104s1.

Key Points

  • Copper (Cu):-
    • It is a transition metal with atomic number 29.
    • The correct electronic configuration of Cu is [Ar]3d104s1.
    • The electronic configuration of Cu can be determined by filling electrons in the increasing order of energy levels and orbitals.
    • Cu has a unique electronic configuration due to the presence of a completely filled d-orbital, which gives it stability and makes it less reactive.

Additional Information

  • [Ar]3d94s2:-
    • It represents the electronic configuration of Sc (scandium) and Option 2 [Kr]3d94s2 represents the electronic configuration of Cd (cadmium).
Indian Army Agniveer Technical Mock Test - 2 - Question 28
Which of the following is a single atom?
Detailed Solution for Indian Army Agniveer Technical Mock Test - 2 - Question 28

The correct answer is all of these

Explanation:-

  • Single atoms mean that the substance consists of unbound, standalone atoms rather than molecules, which are two or more atoms bonded together.
  • Helium (He), Neon (Ne), and Argon (Ar) are all examples of noble gases. These elements are located in Group 18 (VIII) of the periodic table and are known for their low reactivity.
  • This low reactivity is due to their full valence electron shell, which generally makes them very stable and not prone to form bonds with other atoms. As such, they exist as single atoms in their elemental form.
  • Therefore, helium, neon, and argon all exist naturally as single atoms. Under normal conditions, they do not form molecules with each other or atoms of other elements because they are already at a low potential energy state.
  • Elements like Argon, Helium and other noble gases can exist as a single atom because a single atom of noble particle satisfy the necessary condition of molecule, that it is capable to exist independently and it show all property of that noble gas
  • These gases are often used in situations where reactions are undesirable. For example, neon lights work by passing an electric current through neon gas, causing it to emit light, with no chemical reaction involved.

Conclusion:-

In conclusion, helium, neon, and argon are all noble gases. They are composed of single, unbound atoms due to their full electron shells making them mostly unreactive and stable.

Indian Army Agniveer Technical Mock Test - 2 - Question 29
Potassium permanganate is used to purify water as it is
Detailed Solution for Indian Army Agniveer Technical Mock Test - 2 - Question 29

The correct answer is Oxidizing.

Key Points

  • Potassium permanganate (KMnO4) is a strong oxidizing agent that oxidizes dissolved impurities from water such as iron, manganese, and hydrogen sulfide (H2S) by converting them into solid particles.
  • These impurities are then filtered out of the water.
  • It is a salt consisting of K⁺ and MnO− 4 ions.
  • It is a strong oxidizing agent.
  • It is used as a medication for cleaning wounds and dermatitis.

Additional Information

  • Some other chemical disinfectants used for water:
    • Hypo chloride
    • Chlorine dioxide
    • Chlorine
    • Hydrogen peroxide
    • Potassium permanganate
    • Gamma rays
    • Ultraviolet light
Indian Army Agniveer Technical Mock Test - 2 - Question 30

Arrange the following elements in the order of their decreasing metallic character.

Na, Si, Cl, Mg, Al

Detailed Solution for Indian Army Agniveer Technical Mock Test - 2 - Question 30

Metallic character :

  • It specifies the tendency of an element to lose electrons and form positive ions or cations.
  • On moving downwards in a group the metallic character increases.
  • On moving from left to right in a period the metallic character decreases.
  • The given elements Na, Si, Cl, Mg, and Al belongs to the 3rd period.
  • Hence, the arrangement in the order of their decreasing metallic character will be as follows:
  • Na > Mg > Al > Si > Cl

Additional InformationPeriodic table:

  • It's an arrangement of all the known elements.
  • All elements are arranged (from left to right and top to bottom) in order of increasing atomic number and recurring chemical properties.
  • All the rows represent periods.
  • All the columns represent groups.
  • Elements in the same group have the same valence electron configuration and therefore same chemical properties.
  • Elements in the same period have an increasing order of valence electrons.
  • The elements are arranged in 7 horizontal rows, called periods, and 18 vertical columns, called groups.

View more questions
Information about Indian Army Agniveer Technical Mock Test - 2 Page
In this test you can find the Exam questions for Indian Army Agniveer Technical Mock Test - 2 solved & explained in the simplest way possible. Besides giving Questions and answers for Indian Army Agniveer Technical Mock Test - 2, EduRev gives you an ample number of Online tests for practice
Download as PDF