Indian Army Agniveer Exam  >  Indian Army Agniveer Tests  >  Indian Army Agniveer Technical Mock Test - 3 - Indian Army Agniveer MCQ

Indian Army Agniveer Technical Mock Test - 3 - Indian Army Agniveer MCQ


Test Description

30 Questions MCQ Test - Indian Army Agniveer Technical Mock Test - 3

Indian Army Agniveer Technical Mock Test - 3 for Indian Army Agniveer 2025 is part of Indian Army Agniveer preparation. The Indian Army Agniveer Technical Mock Test - 3 questions and answers have been prepared according to the Indian Army Agniveer exam syllabus.The Indian Army Agniveer Technical Mock Test - 3 MCQs are made for Indian Army Agniveer 2025 Exam. Find important definitions, questions, notes, meanings, examples, exercises, MCQs and online tests for Indian Army Agniveer Technical Mock Test - 3 below.
Solutions of Indian Army Agniveer Technical Mock Test - 3 questions in English are available as part of our course for Indian Army Agniveer & Indian Army Agniveer Technical Mock Test - 3 solutions in Hindi for Indian Army Agniveer course. Download more important topics, notes, lectures and mock test series for Indian Army Agniveer Exam by signing up for free. Attempt Indian Army Agniveer Technical Mock Test - 3 | 50 questions in 60 minutes | Mock test for Indian Army Agniveer preparation | Free important questions MCQ to study for Indian Army Agniveer Exam | Download free PDF with solutions
Indian Army Agniveer Technical Mock Test - 3 - Question 1

The 1972 Simla Agreement was signed between

Detailed Solution for Indian Army Agniveer Technical Mock Test - 3 - Question 1

The correct answer is India and Pakistan.

Key Points

  • On the day of 02 July 1972, Shimla Agreement was signed between Indira Gandhi and Zulfiqar Ali Bhutto at Shimla of Himachal Pradesh.
  • It was signed 8 months after the Indo-Pakistani war of 1971, which led to the splitting of Pakistan and the consequent creation of Bangladesh had ended.
  • Any differences shall be settled by peaceful means and through bilateral negotiations.
  • Both countries shall respect the territorial integrity of each other and not interfere in the internal matters of each other.
  • The treaty also had some other terms like renewing communications, telegraph, postal, airline relations, etc. It also talked about having exchanges in the field of culture and science.
  • India released 93000 Pakistani prisoners of war (POWs) who were captured after the Bangladesh war.
  • It was a peace treaty signed after the Bangladesh Liberation War in 1971.
  • The agreement converted the cease-fire line of December 17, 1971, into the ‘Line of Control (LOC)’ between India and Pakistan and it was agreed that “neither side shall seek to alter it unilaterally, irrespective of mutual differences and legal interpretations”.
Indian Army Agniveer Technical Mock Test - 3 - Question 2

Black soil, found in the Deccan Traps is considered highly suitable for the cultivation of ________ crops.

Detailed Solution for Indian Army Agniveer Technical Mock Test - 3 - Question 2

The correct answer is cotton.

Key Points

  • Black soil
    • It has occasionally been referred to as "regur," a word derived from the Telegu word "Regada." This soil is a product of the erosion of basalt from the Deccan Highlands.
    • Black soil, with its clayey characteristics, is crucial for growing cotton. High moisture retention is necessary for cotton farming.
    • Black soils are very fine-grained, black, and very argillaceous. They also contain high amounts of magnesium and calcium carbonates. They are extremely sticky and tenacious of moisture when wet.
    • They also have fair amounts of lime, magnesia, and alumina, as well as a significant abundance of iron.
    • Because this soil is most suited for the cotton crop, it is primarily referred to as black cotton soil.

Additional Information

  • Black soil is also good for growing crops including peanuts, wheat, tobacco, chilies, and jowar in addition to cotton.
  • Organic matter, phosphorous, and nitrogen are insufficient in black soils.
  • The beidellitic and montmorillonitic classes of clay minerals are often abundant in the soils.
  • It is located in the Deccan trap and lava plateaus which reach south-east along the Godavari and Krishna basins and include the plateaus of Malwa, Maharashtra, Saurashtra, Chattisgarh, and Madhya Pradesh.​

Indian Army Agniveer Technical Mock Test - 3 - Question 3

James Webb Space Telescope’s development was done by NASA in collaboration with which two Space agencies?

Detailed Solution for Indian Army Agniveer Technical Mock Test - 3 - Question 3

The correct answer is European Space Agency and Canadian Space Agency.

Key Points

  • The James Webb Space Telescope
    • It is the world's largest and most powerful space telescope.
    • It was constructed by aerospace giant Northrop Grumman Corp and was launched to space for NASA and its European and Canadian counterparts in December 2021 from French Guiana.
  • The National Aeronautics and Space Administration (NASA) led the development of James Webb Space Telescope in collaboration with the European Space Agency and Canadian Space Agency.
  • The James Webb Space Telescope was launched on December 25, 2021, from Kourou, French Guiana. It arrived at the Sun-Earth L2 Lagrange Point in January 2022.

Additional Information

  • James Webb Space Telescope:
    • James Webb Space Telescope showed the most detailed images of the universe that mankind has ever seen.
    • After James Webb Space Telescope shared the stunning visuals, it has now sent new images that were taken in our solar system.
    • The images are of the largest planet in our solar system, Jupiter, and its moon.
    • NASA’s James Webb Space Telescope is primarily designed to conduct infrared astronomy that is expected to enable a broad range of investigations across the fields of astronomy and cosmology.
Indian Army Agniveer Technical Mock Test - 3 - Question 4

A series is given with one term missing. Select the correct alternative from the given ones that will complete the series.

AMRP, ERXW, IWDD, MBJK, ?

Detailed Solution for Indian Army Agniveer Technical Mock Test - 3 - Question 4

The logic followed here is:​

  • The 1st alphabet is increased by +4.
  • The 2nd alphabet is increased by +5.
  • The 3rd alphabet is increased by +6.
  • The 4th alphabet is increased by +7.

Hence, the correct answer is "QGPR".

Indian Army Agniveer Technical Mock Test - 3 - Question 5

Which of the following is a tidal port?

Detailed Solution for Indian Army Agniveer Technical Mock Test - 3 - Question 5

The correct answer is Kandla.

Key Points:

  • Kandla is a tidal port, acknowledged as a Trade Free Zone, the largest port by volume of cargo handled.
    • Kandla, officially Deendayal Port, is a port and city in Kutch district in the state of Gujarat in western India, near the city of Gandhidham.
    • Situated on the Gulf of Kutch, it is one of the major ports of India on the west coast.
    • It is approximately 256 nautical miles southeast of Karachi port in Pakistan and about 430 nautical miles north-northwest of Mumbai port.
    • The Kandla port was constructed in the 1950s as the main port serving western India.

Additional Information

Indian Army Agniveer Technical Mock Test - 3 - Question 6

Which of the following letter-clusters will replace the question mark (?) in the given series?

DBK, GDL, JFM, MHN, ?

Detailed Solution for Indian Army Agniveer Technical Mock Test - 3 - Question 6

The logic followed here is :-

  1. First letter → (3) is added to the position value according to the English alphabetic series.
  2. Second letter → (2) is added to the position value according to the English alphabetic series.
  3. Third letter → (1) is added to the position value according to the English alphabetic series.

​​So,

Hence, the correct answer is "PJO".

Indian Army Agniveer Technical Mock Test - 3 - Question 7

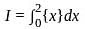
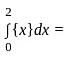
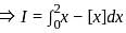
Let {x} denotes the fractional part of a real number x. Then

Detailed Solution for Indian Army Agniveer Technical Mock Test - 3 - Question 7

Explanation:

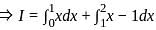
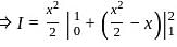
Given, I=∫02{x}dx

where, {x} denotes the fractional part of a real number x.

We know that {x} = x - [x]; where [x] denotes the floor of x, greatest integer less than or equal to x.

Now,

Between 0 and 1, [x]=0 and between 1 and 2, [x]=1

⇒ I = 1

Indian Army Agniveer Technical Mock Test - 3 - Question 8

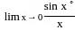
What is the value of ?

Detailed Solution for Indian Army Agniveer Technical Mock Test - 3 - Question 8

Concept Used:

1° = π/180 radians

and

Calculation:

limx→0sin⁡x∘x=limx→0sin⁡πx180x

Indian Army Agniveer Technical Mock Test - 3 - Question 9
Anu is four times as good as Binni at doing a work. Together they finish the same work in 12 hours. In how many hours will Anu alone finish the work?
Detailed Solution for Indian Army Agniveer Technical Mock Test - 3 - Question 9

Given:

Efficiency of Anu = 4 × Efficiency of Binni

They finish a work in 12 hours together.

Concept used:

Total work = Efficiency of the workers × Time taken by them

Calculation:

Let, the efficiency of Binny be m.

So, the efficiency of Anu = 4m

Effective efficiency of them = m + 4m = 5m

Total work = 12 × 5m = 60m

Now, the time taken by Anu to finish the work = 60m/4m = 15 hours

∴ In 15 hours Anu will finish the work alone.

Indian Army Agniveer Technical Mock Test - 3 - Question 10
What is the volume of a sphere whose surface area is 124.74 cm2?
Detailed Solution for Indian Army Agniveer Technical Mock Test - 3 - Question 10

Given:

Surface area is 124.74 cm2

Formula Used:

Total Surface area of sphere = 4 π r2

Volume of sphere = (4/3)π r3

Radius of sphere = r

Calculation:

Total Surface area of sphere = 4 π r2

4 π r2 = 124.74

⇒ r = √(124.74 × 7/88)

⇒ r = 3.15

According to the question,

Volume of sphere = (4/3)π r3

⇒ (4/3) π × (3.15)3

130.977 cm3

∴ The volume of sphere is 130.977 cm3

Indian Army Agniveer Technical Mock Test - 3 - Question 11

Solution of the differential equation cos x dy = y (sin x - y) dx, 0 < x is

Detailed Solution for Indian Army Agniveer Technical Mock Test - 3 - Question 11

Concept:

Equation of the form solve by following the steps

  1. find I. 
  2. The solution will be y I.F = ∫ Q I.F dx + C

Formula used:

1. sin θ/cos θ = tan θ 2.1/cos θ = sec θ

3. eln x = x 4. ∫ sec2 x = tan x

Calculation:


∴ The solution of an equation is sec x = (tan x + c)y.

Indian Army Agniveer Technical Mock Test - 3 - Question 12

A train of length 850 m which travels at a speed of 162 kmph crosses a Tunnel in 63 seconds. Find the length of the Tunnel? (In metres)

Detailed Solution for Indian Army Agniveer Technical Mock Test - 3 - Question 12

Given:

A train of length 850 m which travels at a speed of 162 kmph crosses a Tunnel in 63 seconds.

Formula used:

Speed = Distance / Time

Concept used:

Conversion of kmph to m/s = 1 × (5/18)

Calculations:

Conversion of 162 kmph to m/s = 162 × (5/18) = 45 m/s

Now, let the length of the tunnel be x

According to the question,

⇒ 45 × 63 = 850 + x

⇒ 2835 = 850 + x

⇒ x = 2835 - 850

⇒ x = 1985

∴ The answer is 1985 m.

Indian Army Agniveer Technical Mock Test - 3 - Question 13
The solution of the given system of equations, x - y = -1 and 2x - 7y = 3, is
Detailed Solution for Indian Army Agniveer Technical Mock Test - 3 - Question 13

Given:

x - y = -1 and 2x - 7y = 3

Calculation:

x - y = -1

⇒ 2x - 2y = -2 ----(1)

2x - 7y = 3 ------(2)

On subtracting (1) from (2), weget

⇒ -5y = 5

⇒ y = -1

So, x = -1 + y = -1 -1 = -2

∴The answer is x = -2, y = -1 .

Indian Army Agniveer Technical Mock Test - 3 - Question 14

Two persons are standing on either side of a 1200 m long bridge, if they walk towards each other at the speed of 5 m/min and 10 m/min respectively, in how much time will they meet?

Detailed Solution for Indian Army Agniveer Technical Mock Test - 3 - Question 14

Given:

The length of the bridge = 1200 m

Concept used:

If two men running in the opposite direction then their speeds are added.

Time = Distance/Speed

Calculation:

According to the above concept,

The speed of two men = (5 + 10) m/min = 15 m/min

Now, Time = Distance/Speed

⇒ Time = 1200/15 = 80 min

∴ The required time is 80 min.

Indian Army Agniveer Technical Mock Test - 3 - Question 15

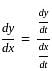
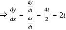
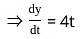
If x = 2t and y = 2t2, then what is ?

Detailed Solution for Indian Army Agniveer Technical Mock Test - 3 - Question 15

Concept Used:
for parametric curves , where t is the parameter.

Calculation:\

= 2

y = = 4t

Indian Army Agniveer Technical Mock Test - 3 - Question 16

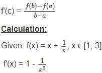
For the function f(x) = x + , x ∈ [1, 3], the value of c for mean value theorem is

Detailed Solution for Indian Army Agniveer Technical Mock Test - 3 - Question 16

Concept:

Mean value theorem states that if f(x) is continuous over the interval [a, b] and differentiable over the interval (a, b) then there exists at least one c in (a, b) such that

The mean value theorem states there exists at least one c in (a, b) such that

Indian Army Agniveer Technical Mock Test - 3 - Question 17
Which among the following does not possess kinetic energy?
Detailed Solution for Indian Army Agniveer Technical Mock Test - 3 - Question 17

Correct answer is battery

Key Point

CONCEPT:

  • Kinetic energy (KE): The energy possessed by a body by virtue of its motion is called kinetic energy.

Where m = mass of the body and v = velocity of the body

EXPLANATION:

  • A ball thrown upwards has some velocity so it has kinetic energy.
  • A battery is always at rest. It doesn't possess kinetic energy. The battery has chemical energy inside it.
  • A moving car has some velocity so it possesses kinetic energy.
  • A flying bird also has some speed. So possess kinetic energy.
Indian Army Agniveer Technical Mock Test - 3 - Question 18
The power generated when 2.5 A current flows through a resistor of resistance 10 ohm is:
Detailed Solution for Indian Army Agniveer Technical Mock Test - 3 - Question 18

correct answer is 62.5 W

Key Points

Concept:

The power consumed by a device s given as, P = VI = I2R

where, V = voltage, R = resistance, I = current

Calculation:

Given:

Current (I) = 2.5 A, Resistance (R) = 10 ohm

Power (P) = VI = I2R = (2.5)2 × 10 = 62.5W

Indian Army Agniveer Technical Mock Test - 3 - Question 19
A block is submerged partially in water and remaining 1/3 part is outside the water level, then the density of the block is-
Detailed Solution for Indian Army Agniveer Technical Mock Test - 3 - Question 19

CONCEPT:

  • Archimedes' principle: Every object is bouncing upwards by a force equal to the weight of the fluid the object displaces. This force is also known as the bouncing force.

Fb = ρ g Vf

Where Fb is bouncing force, ρ is the density of the fluid, Vf is the volume of the displaced fluid, and g is the acceleration due to gravity.

CALCULATION:

Given that 1/3 part is out of water.

So, 2/3 part is submerged in water.

Let D is the density of the block

The density of wood/Density of Water = Part of block submerged/Total Part

D/1 = (2/3)/1

D = 2/3 = 0.67 g/cm3.

D = 0.67 g/cm3. So option 1 is correct.
Indian Army Agniveer Technical Mock Test - 3 - Question 20
An average human being can hear sound of minimum frequency upto:
Detailed Solution for Indian Army Agniveer Technical Mock Test - 3 - Question 20

The correct answer is 20 Hz.Key Points

  • Around 20 Hz to 20 kHz is the frequency range in which people can hear sounds.
  • The majority of tiny mammals are not responsive to low frequencies, only to very high frequencies.
  • For instance, while some bat species are sensitive to tones as high as 200 kHz, their lower frequency threshold is closer to 20 kHz, which is the upper frequency threshold for young individuals with normal hearing.
  • Certain whales can detect infrasonic noises as low as 7 Hz.
  • Elephants can hear sounds at a frequency of 14 to 16 Hz.
Indian Army Agniveer Technical Mock Test - 3 - Question 21

What is the approximate range of wavelength in case of visible lights?

Detailed Solution for Indian Army Agniveer Technical Mock Test - 3 - Question 21

The correct answer is 4000 Å to 7000 Å

Key Points

  • The visible spectrum is the portion of the electromagnetic spectrum that is visible to the human eye.
  • A wavelength is the distance between two consecutive peaks of a wave.
  • The wavelength of the visible spectrum is in the range of 4000 Å to 7000 Å (A is angstrom).
  • The visible spectrum is VIBGYOR (Violet, Indigo, Blue, Green, Yellow, Orange, Red).
  • Violet has the shortest wavelength, at around 380 nanometers, and red has the longest wavelength, at around 700 nanometers in this spectrum.

Additional Information

  • The electromagnetic spectrum is the entire distribution of electromagnetic radiation according to frequency or wavelength.
  • EM radiation is created when an atomic particle, such as an electron, is accelerated by an electric field, causing it to move.
  • The movement produces oscillating electric and magnetic fields, which travel at right angles to each other in a bundle of light energy called a photon.
  • Frequency is the number of waves that form in a given length of time.
  • It is usually measured as the number of wave cycles per second, or hertz (Hz).
  • Electromagnetic radiations with shorter wavelengths than visible are called ultraviolet, X-rays, or gamma rays progressively.
  • Electromagnetic radiations with longer wavelengths than visible are called infrared, microwaves, or radio waves progressively.
Indian Army Agniveer Technical Mock Test - 3 - Question 22
What is the purpose of grooves on the soles of shoes?
Detailed Solution for Indian Army Agniveer Technical Mock Test - 3 - Question 22

The correct answer is a Better grip on the floor.

Key Points

  • The soles of the shoes have grooves in order to increase friction between the surface of the floor and the soles of the shoes.
  • This prevents slipping on the floor.
  • A flat sole or a polished floor will generally reduce the friction between shoe and floor as the flat surfaces slide past each other more easily and thus grooves are necessary to prevent slipping.

Additional Information

  • Friction is the force that opposes the motion of a solid object over another.
  • There are mainly four types of friction: static friction, sliding friction, rolling friction, and fluid friction.
  • The frictional force between two bodies depends mainly on three factors:
    • The adhesion between body surfaces
    • The roughness of the surface
    • Deformation of bodies.
  • Using lubricants such as oil or grease can reduce the friction between the surfaces.
Indian Army Agniveer Technical Mock Test - 3 - Question 23
Convert 1000 N in to dynes.
Detailed Solution for Indian Army Agniveer Technical Mock Test - 3 - Question 23

Correct answer is 108 dyne

Key Points

Newton:

  • It is the S.I unit of Force.
  • It is equal to the force that would give a mass of one kilogram an acceleration of one meter per second per second and is equivalent to 100,000 dynes.
  • 1000 Newton. = 108 dyne

Additional Information

  • CGS unit: It is the system of measurement where physical quantity is expressed in centimeter, gram and second.
  • The CGS unit of Force is dyne.

1 dyne = 1 gm cm s -2

Indian Army Agniveer Technical Mock Test - 3 - Question 24
What causes Nitrogen to be Inert?
Detailed Solution for Indian Army Agniveer Technical Mock Test - 3 - Question 24

Concept:

  • The element Nitrogen is the first member of group 15 or V A.
  • Nitrogen is a typical non - metal. It is essential for both plants and animals.
  • The electronic configuration of Nitrogen is 1s22s22p3.
  • Nitrogen consists of mostly 78.1 % of the earth's atmosphere.
  • However, it is not equally abundant in the earth's crust. It is the third most abundant element in the earth's crust.
  • Nitrogen is an important constituent of amino acids in proteins.
  • Nitrates are highly soluble in water.

Explanation:

  • Nitrogen is an inert element, it is a diatomic gas that shows reactivity only at high temperatures.
  • The nitrogen molecule is covalent and non-polar.
  • Nitrogen forms a triple bond with other nitrogen atoms forming N2 molecules.
  • As triple bonds are strong, it is not broken by the collision between the nitrogen molecules at room temperature.
  • Furthermore, its octet is complete and it does not require additional electrons.
  • Only at high temperatures, sufficient energy is provided by the collision to break the triple bond.
  • Thus at high temperatures, nitrogen molecule gets dissociated and shows some reactivity.

Hence, the reason for Nitrogen to be inert is its high bond energy.

Mistake Points

  • Note that multiple bond formation always doesn't necessarily mean that the molecule will be inert.
Indian Army Agniveer Technical Mock Test - 3 - Question 25
A class of organic compounds that contain an oxygen between two alkyl groups is called:
Detailed Solution for Indian Army Agniveer Technical Mock Test - 3 - Question 25

The correct answer is ether.Key Points

  • Ether:-
    • It is a class of organic compounds that contains an oxygen atom between two alkyl groups.
    • The general formula for an ether is R-O-R', where .R and R' are alkyl groups
    • Ethers are commonly used as solvents in various industries, including pharmaceuticals, paints, and coatings.
    • Ethers are less reactive than alcohols, aldehydes, and ketones because the C-O bond is relatively stable.

Additional Information

  • Alcohol:-
    • A class of organic compounds that contains a hydroxyl (-OH) group attached to a carbon atom.
    • They are commonly used as solvents, disinfectants, and fuels.
  • Aldehyde:-
    • A class of organic compounds that contains a carbonyl group (-COH) attached to a carbon atom at the end of the molecule.
    • They are commonly used in the production of plastics, resins, and dyes.
  • Ketone:-
    • A class of organic compounds that contains a carbonyl group (-C=O) attached to a carbon atom in the middle of the molecule.
    • They are commonly used in the production of solvents, polymers, and pharmaceuticals.
Indian Army Agniveer Technical Mock Test - 3 - Question 26

Which one among the following contains the most neutrons?

Detailed Solution for Indian Army Agniveer Technical Mock Test - 3 - Question 26

The correct answer is

Key Points

The number of neutrons in an atom can be calculated by subtracting the atomic number (number of protons) from the mass number (total number of protons and neutrons). Let's calculate the number of neutrons for each of the given isotopes:


Atomic number (protons) = 26
Mass number (protons + neutrons) = 59
Number of neutrons = Mass number - Atomic number = 59 - 26 = 33 neutrons


Atomic number (protons) = 29
Mass number (protons + neutrons) = 61
Number of neutrons = Mass number - Atomic number = 61 - 29 = 32 neutrons


Atomic number (protons) = 30
Mass number (protons + neutrons) = 61
Number of neutrons = Mass number - Atomic number = 61 - 30 = 31 neutrons


The given ion is Zn2+, which means it has lost 2 electrons compared to a neutral zinc atom. However, the number of protons and neutrons remains the same as in a neutral atom.
Atomic number (protons) = 30
Mass number (protons + neutrons) = 60
Number of neutrons = Mass number - Atomic number = 60 - 30 = 30 neutrons

Among the options given, the isotope with the most neutrons is with 33 neutrons.

Indian Army Agniveer Technical Mock Test - 3 - Question 27

Which of the following is the isotone of 32Ge76

Detailed Solution for Indian Army Agniveer Technical Mock Test - 3 - Question 27

The correct answer is 33As77

Concept-:

  • The total number of electrons (or protons) in a neutral atom is called its atomic number, denoted by Z.
  • The total number of protons and neutrons in the nucleus of an atom is known as its Mass Number and is denoted by A.


Explanation:

The number of neutrons is calculated by the difference in M-A.

  • The number of neutrons in 32Ge76 is
    76-32 = 44​
  • The number of neutrons in 32Ge77 is
    77 - 32 = 45
  • The number of neutrons in 33As77 is
    77 - 33 = 44
  • The number of neutrons in 36Sc78 is:
    78-36 = 42
  • The number of neutrons in 34Sc77 is:
    77 - 34 = 43
  • We see that the number of neutrons is the same in 32Ge76 and 33As77 and thus they are isotones.

Hence, the isotone of 32Ge76 is 33As77.

Indian Army Agniveer Technical Mock Test - 3 - Question 28
Which one of the following correctly represents metals in decreasing order of reactivity?
Detailed Solution for Indian Army Agniveer Technical Mock Test - 3 - Question 28

The Correct answer is Al > Zn > Fe > Cu.

Explanation:

  • The Reactivity series of metals refers to the arrangement of metals in the descending order of their reactivities.
  • ​Features of the Reactivity series:
    • The metals at the top of the reactivity series are powerful reducing agents since they are easily oxidized and get corroded very easily.
    • The reducing ability of the metals grows weaker while traversing down the series.
    • The electro-positivity of the elements also reduces while moving down the reactivity series of metals.
    • All metals that are found above hydrogen in the activity series liberate H2 gas upon reacting with dilute HCl or dilute H2SO4.
    • Metals that are placed higher on the reactivity series have the ability to displace metals that are placed lower from their salt solutions.

So, the correct representation of metals in decreasing order of reactivity is Al > Zn > Fe > Cu.

Indian Army Agniveer Technical Mock Test - 3 - Question 29
Which gas is used to extinguish a fire?
Detailed Solution for Indian Army Agniveer Technical Mock Test - 3 - Question 29

The correct answer is Carbon dioxide.

Key Points

  • Carbon dioxide
    • Carbon dioxide extinguishers work by displacing oxygen or taking away the oxygen element of the fire triangle.
    • The carbon dioxide is also very cold as it comes out of the extinguisher, so it cools the fuel as well.
    • It is because carbon dioxide does not support combustion.
    • When sprayed on the burning object it stops the supply of oxygen and extinguishes fire.
    • Carbon dioxide is the most commonly used gas for extinguishing fires. Hence, Option 3 is correct.
    • Sodium bicarbonate is used to release a cloud of Co2, especially in class A and class B fires, thus releasing the oxygen and smothering the fire
    • Carbon dioxide is an acidic colorless gas with a density about 53% higher than that of dry air. Carbon dioxide molecules consist of a carbon atom covalently double bonded to two oxygen atoms. It occurs naturally in Earth's atmosphere as a trace gas.
    • Molar mass: 44.01 g/mol
    • Formula: CO2
    • Boiling point: -78.46 °C
    • Soluble in: Wate

Additional Information

  • Nitrogen
    • It is the chemical element with the symbol N and atomic number 7. It was first discovered and isolated by Scottish physician Daniel Rutherford in 1772.
    • Symbol: N
    • Atomic mass: 14.0067 u
    • Atomic number: 7
    • Electron configuration: [He] 2s22p3
    • Electronegativity: 3.04
    • Boiling point: -195.8 °C
  • Oxygen
    • It is the chemical element with the symbol O and atomic number 8.
    • It is a member of the chalcogen group in the periodic table, a highly reactive nonmetal, and an oxidizing agent that readily forms oxides with most elements as well as with other compounds.
    • Symbol: O
    • Atomic mass: 15.999 u
    • Atomic number: 8
    • Electron configuration: [He] 2s²2p⁴
    • Electronegativity: 3.44
    • Discoverers: Joseph Priestley, Antoine Lavoisier, Carl Wilhelm Scheele
  • Argon
    • It is a chemical element with the symbol Ar and atomic number 18.
    • It is in group 18 of the periodic table and is a noble gas. Argon is the third-most abundant gas in the Earth's atmosphere, at 0.934%.
    • Symbol: Ar
    • Atomic mass: 39.948 u
    • Atomic number: 18
    • Electron configuration: [Ne] 3s²3p⁶
    • Boiling point: -185.8 °C
    • Discoverers: William Ramsay, John William Strutt, 3rd Baron Rayleigh
Indian Army Agniveer Technical Mock Test - 3 - Question 30
Stainless steel is very useful material for our life. In stainless steel, iron is mixed with
Detailed Solution for Indian Army Agniveer Technical Mock Test - 3 - Question 30

Concept:

  • Alloys are the uniform mixtures of two or more metals along with the traces of non-metals.
  • They come under the class of homogeneous mixtures.
  • Various alloys are used in different ways in daily life.

Explanation:

  • Stainless steel is an iron alloy. It is used in making vessels for cooking in homes.
  • Used to make cutlery.
  • Also used to make heavy containers that are useful in industries.
  • In making tooth protective crowns.
  • In making surgical apparatus.
  • This stainless steel has more advantages compared to iron.
  • It is rust-free. Light in weight compared to iron. It has high durability and is long-lasting.

Stainless steel is a homogenous mixture of metals: Fe+, Ni+ Cr+ with very less amount of carbon.

View more questions
Information about Indian Army Agniveer Technical Mock Test - 3 Page
In this test you can find the Exam questions for Indian Army Agniveer Technical Mock Test - 3 solved & explained in the simplest way possible. Besides giving Questions and answers for Indian Army Agniveer Technical Mock Test - 3, EduRev gives you an ample number of Online tests for practice
Download as PDF