Indian Army Agniveer Exam  >  Indian Army Agniveer Tests  >  Indian Army Agniveer Technical Mock Test - 6 - Indian Army Agniveer MCQ

Indian Army Agniveer Technical Mock Test - 6 - Indian Army Agniveer MCQ


Test Description

30 Questions MCQ Test - Indian Army Agniveer Technical Mock Test - 6

Indian Army Agniveer Technical Mock Test - 6 for Indian Army Agniveer 2025 is part of Indian Army Agniveer preparation. The Indian Army Agniveer Technical Mock Test - 6 questions and answers have been prepared according to the Indian Army Agniveer exam syllabus.The Indian Army Agniveer Technical Mock Test - 6 MCQs are made for Indian Army Agniveer 2025 Exam. Find important definitions, questions, notes, meanings, examples, exercises, MCQs and online tests for Indian Army Agniveer Technical Mock Test - 6 below.
Solutions of Indian Army Agniveer Technical Mock Test - 6 questions in English are available as part of our course for Indian Army Agniveer & Indian Army Agniveer Technical Mock Test - 6 solutions in Hindi for Indian Army Agniveer course. Download more important topics, notes, lectures and mock test series for Indian Army Agniveer Exam by signing up for free. Attempt Indian Army Agniveer Technical Mock Test - 6 | 50 questions in 60 minutes | Mock test for Indian Army Agniveer preparation | Free important questions MCQ to study for Indian Army Agniveer Exam | Download free PDF with solutions
Indian Army Agniveer Technical Mock Test - 6 - Question 1

Who was the first microbiologist to develop the world's first vaccines for cholera and plague?

Detailed Solution for Indian Army Agniveer Technical Mock Test - 6 - Question 1

The correct answer is Waldemar Haffkine.
Key Points

  • Waldemar Haffkine was a Ukrainian-French bacteriologist.
  • He is credited as being the first microbiologist to create and administer cholera and bubonic plague vaccines.
  • He tested the vaccines on himself.
  • He was described as "a savior of humanity" by Lord Joseph Lister.
  • As part of Queen Victoria's Diamond Jubilee Honors in 1897, he was named a Companion of the Order of the Indian Empire (CIE).

Important Points

  • Cholera:
    • It is an extremely virulent disease that can cause severe acute watery diarrhoea.
    • It is caused by infection of the intestine with Vibrio cholerae bacteria.
    • After consuming infected food or water, symptoms usually appear between 12 hours and 5 days later.
  • Plague:
    • It is caused by the bacterium, Yersinia pestis.
    • The most common ways for humans to contract the plague are through handling a plague-infected animal or by getting bitten by a rodent flea that is carrying the disease.

Additional Information

  • Maurice Hilleman:
    • He was one of the greatest microbiologists and vaccinologists.
    • He developed a rubella vaccine in 1969 and paired it with his mumps and measles vaccine in 1971 to create the MMR shot.
  • Robert Goddard:
    • He was an engineer, professor, physicist, and inventor.
    • He is credited with building the world's first liquid-fueled rocket.
  • Charles Martin Hall:
    • American chemist Charles Martin Hall created a low-cost technique for isolating pure aluminium from its compounds in 1886.
Indian Army Agniveer Technical Mock Test - 6 - Question 2

What are X-rays also known as?

Detailed Solution for Indian Army Agniveer Technical Mock Test - 6 - Question 2

The correct answer is W.Röntgen rays.Key Points

  • X-rays were discovered by W.C. Röntgen in December 1895.
  • Following seven weeks of diligent research into the characteristics of this novel form of radiation that could pass through screens of appreciable thickness.
  • He gave them the term "X-rays" to emphasize that it was unclear what they were.
  • When Röntgen detected a glow emerging from an adjacent chemically coated screen while testing if cathode rays could travel through the glass in his lab in Wurzburg, Germany, he realized that he had made an unintended discovery.
  • Because of his lack of knowledge about them, he called the rays that produced this illumination X-rays.

Additional Information

  • Alpha rays:
    • A flow of alpha particles is known as an alpha ray.
    • A helium nucleus-like particle made up of two protons and two neutrons are known as an alpha particle.
    • It is radioactive and is created during the alpha-decay process.
    • Like helium nuclei, alpha particles have no net spin.
  • Super rays:
    • In Sonic Mania Plus, Super Ray may transform into other forms.
    • Ray the Flying Squirrel has achieved the Super State through the use of the seven Chaos Emeralds.
  • Terrestrial rays:
    • A burst of gamma rays generated in Earth's atmosphere is called a terrestrial gamma-ray flash (TGF), also referred to as dark lightning.
    • TGFs have been observed to have durations between 0.2 and 3.5 milliseconds and energy as high as 20 million electronvolts.
    • TGFs are thought to be brought on by powerful electric fields generated above or within thunderstorms.
    • Researchers have also found energetic electrons and positrons from terrestrial gamma-ray flashes.
Indian Army Agniveer Technical Mock Test - 6 - Question 3

In which of the following fields, is 'Pulitzer Prize' awarded?

Detailed Solution for Indian Army Agniveer Technical Mock Test - 6 - Question 3

The correct answer is Journalism.

Key Points

  • The Pulitzer Prize is regarded as the highest national honor in print journalism, newspaper, magazine, literary achievement, and musical composition within the United States. Hence, the correct answer is Journalism.
  • Established in 1917 from funds endowed by journalist and newspaper publisher Joseph Pulitzer, the first Pulitzer Prizes were awarded on June 4, 1917, and are now awarded each May.
  • The award is administered by Columbia University in the United States.
  • Prizes are awarded yearly in 21 categories and in 20 of them, the winner receives a certificate and cash prize of $15,000. In the public service category, the winner is awarded a gold medal.

Additional Information

  • Most Prestigious Art Awards:
    • Lalit Kala Academy Award
    • Shilp Guru
    • HugoBoss Prize
    • Turner Prize
    • National Medal of Arts
  • Most Prestigious Cinema Awards:
    • National Film Awards
    • Oscars
    • Dadasaheb Phalke Award
    • Golden Globes
    • Academy Awards
  • Most Prestigious Literary Awards:
    • Nobel Prize in Literature
    • National Book Awards
    • Booker Prize
    • Pulitzer Prize
    • Sahitya Akademi Award
    • Jnanpith Award

Mistake Points

  • We have changed the third option to sports which was given as 'Literature' as the award is given in the field of both journalism and Literature.
Indian Army Agniveer Technical Mock Test - 6 - Question 4
If 'CLOCK' is coded as '34235' and 'TIME' as '8679', then what will be the code for 'MOLEK'?
Detailed Solution for Indian Army Agniveer Technical Mock Test - 6 - Question 4

The pattern followed here is,

'CLOCK' is coded as '34235'

'TIME' is coded as '8679'

Therefore, 'MOLEK' is coded as

Hence, the correct answer is "72495".

Indian Army Agniveer Technical Mock Test - 6 - Question 5
Which among the following will host the International Cricket Council (ICC) Women's T20 World Cup 2024?
Detailed Solution for Indian Army Agniveer Technical Mock Test - 6 - Question 5

The answer is Bangladesh.

Key Points

  • The 2024 ICC Women's T20 World Cup will be hosted by Bangladesh.
  • The tournament is scheduled to take place between September and October 2024.
  • This will be the second time that Bangladesh has hosted the ICC Women's T20 World Cup, having previously done so in 2014.

Mistake Points

  • The ICC Men's T20 World Cup 2024 will be played in the West Indies and USA from 1-29 June 2024.
Additional Information
  • The ICC Women's T20 World Cup is an international championship of Twenty20 International cricket for women.
  • It is organized by the International Cricket Council (ICC), the governing body of international cricket.
  • The inaugural tournament took place in England in 2009, coinciding with the men's T20 World Cup.
  • The tournament was initially held every two years, but from 2020 onwards, it is held every year except for the years when the Women's Cricket World Cup (50-over format) is scheduled.
  • The format of the tournament usually involves a round-robin group stage followed by knockout stages, leading to a final match to determine the world champion.
  • Australia has been the most successful team in the tournament's history, with multiple championship titles to their name.
  • The ICC Women's T20 World Cup is a major global event in women's cricket and plays a significant role in promoting and developing women's cricket worldwide.
  • It provides an international platform for female cricketers and has substantially increased the visibility and popularity of women's cricket.
Indian Army Agniveer Technical Mock Test - 6 - Question 6
Rabindranath Tagore renounced British knighthood in protest against
Detailed Solution for Indian Army Agniveer Technical Mock Test - 6 - Question 6

The correct answer is the Jallianwala Bagh massacre.

Key Points

  • The letter was written by Rabindranath Tagore to Lord Chelmsford, the British viceroy, repudiating his Knighthood in protest of the Jalianwalla Bagh mass killing.
  • Rabindranath Tagore was a Bengali polymath who worked as a poet, writer, playwright, composer, philosopher, social reformer, and painter.
    • He reshaped Bengali literature and music as well as Indian art with Contextual Modernism in the late 19th and early 20th centuries.

Additional Information

  • The Jallianwala Bagh massacre, also known as the Amritsar massacre, took place on 13 April 1919.
    • A large peaceful crowd had gathered at the Jallianwala Bagh in Amritsar, Punjab to protest against the arrest of pro-Indian independence leaders Dr. Saifuddin Kitchlew and Dr. Satya Pal.
    • In response to the public gathering, the Anglo-Indian Brigadier R. E. H. Dyer surrounded the protesters with his Gurkha British Indian army unit, Sindh Sikh regiment, and 52nd Sikh regiment.
  • The Chauri Chaura incident took place on 4 February 1922 at Chauri Chaura in the Gorakhpur district of the United Provinces in British India, when a large group of protesters participating in the non-cooperation movement, were fired upon by the police.
Indian Army Agniveer Technical Mock Test - 6 - Question 7
Choose the correct pair of State and Dance :
Detailed Solution for Indian Army Agniveer Technical Mock Test - 6 - Question 7

Explanation:

  • Karnataka - kathak - Incorrect (kathak is from Uttar Pradesh)
  • Assam - Buiya - Incorrect. (Buiya is from Arunachal Pradesh)
  • Tamil Nadu - Lavani - Incorrect (Lavani is from Maharastra)
  • Andhra Pradesh - Kuchipudi - Correct

Important Points

At present officially there are 9 classical dances in India.

  • Bharatanatyam, from Tamil Nadu.
  • Kathak, from Uttar Pradesh.
  • Kathakali, from Kerala.
  • Kuchipudi, from Andhra Pradesh.
  • Odissi, from Odisha.
  • Sattriya, from Assam.
  • Manipuri, from Manipur.
  • Mohiniyattam, from Kerala.
  • Chhau dance of Eastern India - Orissa, Jharkhand, and West Bengal

Additional Information

The Indian States and Folk Dances

  • Andhra Pradesh- Kuchipudi, Bhamakalpam, Lambadi, Dhimsa, Kolattam, Butta Bommalu.
  • Assam- Bihu, Bichhua, Natpuja, Maharas, Kaligopal, Bagurumba, Naga dance, Khel Gopal, Tabal Chongli, Canoe, Jhumura Hobjanai
  • Bihar- Jata-Jatin, Bakho-Bakhain, Panwariya, Sama Chakwa, Bidesia.
  • Gujarat- Garba, Dandiya Ras, Tippani Juriun, Bhavai.
  • Haryana- Jhumar, Phag, Daph, Dhamal, Loor, Gugga, Khor, Gagor.
  • Himachal Pradesh- Jhora, Jhali, Chharhi, Dhaman, Chhapeli, Mahasu, Nati, Dangi.
  • Jammu and Kashmir- Rauf, Hikat, Mandjas, Kud Dandi Nach, Damali.
  • Karnataka- Yakshagan, Huttari, Suggi, Kunitha, Karga, Lambi.
  • Kerala- Kathakali (Classical), Ottamthullal, Mohiniattam, Kaikottikali.
  • Maharashtra- Lavani, Nakata, Koli, Lezim, Gafa, Dahikala Dasavtar or Bohada.
  • Odisha- Odissi (Classical), Savari, Ghumara, Painka, Munari, Chhau.
  • West Bengal- Kathi, Gambhira, Dhali, Jatra, Baul, Marasia, Mahal, Keertan.
  • Punjab- Bhangra, Giddha, Daff, Dhaman, Bhand, Naqual.
  • Rajasthan- Ghumar, Chakri, Ganagor, Jhulan Leela, Jhuma, Suisini, Ghapal, Kalbeliya.
  • Tamil Nadu- Bharatanatyam, Kumi, Kolattam, Kavadi.
  • Uttar Pradesh- Nautanki, Raslila, Kajri, Jhora, Chappeli, Jaita.
  • Uttarakhand- Garhwali, Kumayuni, Kajari, Jhora, Raslila, Chappeli.
  • Goa- Tarangamel, Koli, Dekhni, Fugdi, Shigmo, Ghode, Modni, Samayi nrutya, Jagar, Ranmale, Gonph, Tonnya mell.
  • Madhya Pradesh Jawara, Matki, Aada, Khada Nach, Phulpati, Grida Dance, Selalarki, Selabhadoni, Maanch.
  • Chhattisgarh Gaur Maria, Panthi, Raut Nacha, Pandwani, Vedamati, Kapalik, Bharthari Charit, Chandaini.
  • Jharkhand Alkap, Karma Munda, Agni, Jhumar, Janani Jhumar, Mardana Jhumar, Paika, Phagua,Hunta Dance, Mundari Dance, Sarhul, Barao, Jhitka, Danga, Domkach, Ghora Naach.
  • Arunachal Pradesh Buiya, Chalo, Wancho, Pasi Kongki, Ponung, Popir, Bardo Chham.
  • Manipur Dol Cholam, Thang Ta, Lai Haraoba, Pung Cholom, Khamba Thaibi, Nupa Dance, Raslila, Khubak Ishei, Lhou Sha.
  • Meghalaya Ka Shad Suk Mynsiem, Nongkrem, Laho.
  • Mizoram Cheraw Dance, Khuallam, Chailam, Sawlakin, Chawnglaizawn, Zangtalam, Par Lam, Sarlamkai/Solakia, Tlanglam.
  • Nagaland Rangma, Bamboo Dance, Zeliang, Nsuirolians, Gethinglim, Temangnetin, Hetaleulee.
  • Tripura Hojagiri.
  • Sikkim Chu Faat Dance, Sikmari, Singhi Chaam or the Snow Lion Dance, Yak Chaam, Denzong Gnenha, Tashi Yangku Dance, Khukuri Naach, Chutkey Naach, Maruni Dance.
Indian Army Agniveer Technical Mock Test - 6 - Question 8

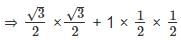
Find the value of sin 60° cos 30° + tan 45° cos 60° sin 30°

Detailed Solution for Indian Army Agniveer Technical Mock Test - 6 - Question 8

Given:

sin 60° cos 30° + tan 45° cos 60° sin 30°

Concept used:

Calculation:

sin 60° cos 30° + tan 45° cos 60° sin 30°

⇒ (3/4) + (1/4)

⇒  4/4 = 1

∴ The required value is 1.

Indian Army Agniveer Technical Mock Test - 6 - Question 9

The value of  is ___.

Detailed Solution for Indian Army Agniveer Technical Mock Test - 6 - Question 9

Formula used:

(a + b)2 = a2 + 2ab + b2

Calculation:

We have

By using the above identity

Indian Army Agniveer Technical Mock Test - 6 - Question 10

Consider the following statements :

1. If f is the subset of Z × Z defined by f = {(xy, x − y); x, y ∈ Z}, then f is a function from Z to Z.

2. If f is the subset of N × N defined by f = {(xy, x + y); x, y ∈ N}, then f is a function from N to N.

Which of the statements given above is/are correct?

Detailed Solution for Indian Army Agniveer Technical Mock Test - 6 - Question 10

Concept:

A relation f from set A to set B is said to be a function if every element of set A has a unique image in set B.

Calculation:

1. If f is the subset of Z × Z defined by f = {(xy, x − y); x, y ∈ Z},

let x = 2, y = 3 → (2 × 3, 2 - 3) = (6, -1) ∈ f

and for x = -2, y = -3 → (-2 × (-3), -2 + 3) = (6, 1) ∈ f

So, the element 6 ∈ Z has two different images 1 and -1 in Z

⇒ f is not a function.

2. If f is the subset of N × N defined by f = {(xy, x + y); x, y ∈ N},

let x = 3, y = 4→ (3 × 4, 3 + 4) = (12, 7) ∈ f

and for x = 2, y = 6 → (2 × (6), 2 + 6) = (12, 8) ∈ f

So, the element 12 ∈ N has two different images 7 and 8 in N

⇒ f is not a function.

∴ The correct option is (4).

Indian Army Agniveer Technical Mock Test - 6 - Question 11
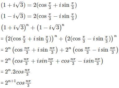
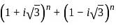
If , then what is the value of z2 + z ̅z? (i = √-1)
Indian Army Agniveer Technical Mock Test - 6 - Question 12

Let  then f(x) is continuous but not differentiable at x = 0 if

Detailed Solution for Indian Army Agniveer Technical Mock Test - 6 - Question 12


∴ The correct answer is option (1).

Indian Army Agniveer Technical Mock Test - 6 - Question 13

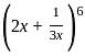
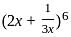
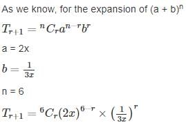
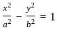
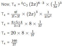
The term independent of x in the expansion of  is

Detailed Solution for Indian Army Agniveer Technical Mock Test - 6 - Question 13

For the term to be independent of n. The power of ‘x’ in the numerator and the denominator must be equal

∴ 6 – r = r

6 = 2r

⇒ r = 3

r = 3 corresponds to 4th term,

∴ 4th term will be independent of ‘x’

Therefore, the term independent of x in the expansion of is 160/27.

Indian Army Agniveer Technical Mock Test - 6 - Question 14

If n is a positive integer, then =

Detailed Solution for Indian Army Agniveer Technical Mock Test - 6 - Question 14

Calculation:

∴ The correct option is (3)

Indian Army Agniveer Technical Mock Test - 6 - Question 15

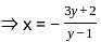
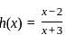
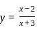
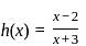
What is the range of the function  ?

Detailed Solution for Indian Army Agniveer Technical Mock Test - 6 - Question 15

Explanation:

Given function,

Domain = (-∞, ∞) \{-3}

Let , where y is in the range of h(x).

⇒ (x + 3)y = x - 2

⇒ xy - x + 3y + 2 = 0

⇒ x(y - 1) = -(3y + 2)

 

y can take any real value but y ≠ 1

So, the range of h(x) is (-∞, 1) ∪ (1, ∞)

Indian Army Agniveer Technical Mock Test - 6 - Question 16

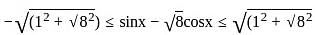
Find the range of sin x - √8cos x - 2

Detailed Solution for Indian Army Agniveer Technical Mock Test - 6 - Question 16

Concept:

The minimum and maximum value of a.sin x ± b.cos x is given by:

Calculation:

Given: sin x - √8cos x - 2

Compare sin x - √8cox x is a.sinx - b.cosx

Here a = 1 and b = √8

Subtract 2 in the above equation

⇒ -3 - 2 ≤ sin x - √8.cos x - 2 ≤ 3 - 2

⇒ -5 ≤ sin x - √8.cos x - 2 ≤ 1

Range [- 5, 1]

Indian Army Agniveer Technical Mock Test - 6 - Question 17

In a box, there are 18 yellow, 17 black, and 16 white balls. One ball is picked up randomly. What is the probability that it is neither yellow nor white?

Detailed Solution for Indian Army Agniveer Technical Mock Test - 6 - Question 17

Given:

There are 18 yellow, 17 black, and 16 white balls.

Calculation:

Let E be the event such that the ball drawn is neither yellow nor white i.e., the event that the ball drawn is black.

We have n(E) as the favorable outcomes and n(S) as the total possible combinations.

n(E) = 17

And n(S) = 18 + 17 + 16 = 51

Probability = 

Note: According to the previous year's paper, there was no correct option, hence its option has been changed.

Indian Army Agniveer Technical Mock Test - 6 - Question 18

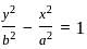
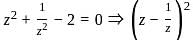
The complex number z satisfying z2 + z-2 = 2 constitute a ______

Detailed Solution for Indian Army Agniveer Technical Mock Test - 6 - Question 18

Concept:

I. The equation of a hyperbola with the centre at origin and foci on the x-axis is given by:

II. The equation of a hyperbola with the centre at origin and foci on the y-axis is given by:

Calculation:

Given

z2 + z-2 = 2

Possible only when,

z2 = 1 ⇒ (x + iy)2 = 1

x2 - y2 + 2 ixy = 1 + i0

Comparing real and imaginary part form both the side

So, x2 - y2 = 1 and xy = 0

xy = 0 (not possible)

So, x2 - y2 = 1 is represent equation of hyperbola

Indian Army Agniveer Technical Mock Test - 6 - Question 19
The derived unit of the physical quantity, which is the product of mass and acceleration is:
Detailed Solution for Indian Army Agniveer Technical Mock Test - 6 - Question 19

The correct answer is newton.

Concept:

Fundamental quantity

  • Fundamental quantities are physical quantities that are not dependent on other physical quantities.
  • Example: length, mass, acceleration, time, current, luminous intensity, thermodynamic temperature, etc.

Derived quantity

  • Derived quantity are those quantities that are dependent on fundamental quantities.
  • Example: Area, volume, density, speed, force, velocity, etc.

Explanation:

  • According to Newton's second law of motion, force is defined or expressed as the product of mass and acceleration.
  • Mathematically, the force can be represented as:
  • F = ma
  • where,
  • F is the force applied.
  • m is the mass of the body.
  • a is the acceleration.
  • The SI unit of force is the newton which is represented by N.

Thus, the derived unit of the physical quantity, which is the product of mass and acceleration is newton.

Additional InformationSome fundamental and derived quantities, along with their SI units, are listed in the table below.

Indian Army Agniveer Technical Mock Test - 6 - Question 20
What is the velocity of a radio wave?
Detailed Solution for Indian Army Agniveer Technical Mock Test - 6 - Question 20

The correct answer is 3 × 108 m / second

Key Points

  • Radio waves are made up of photons.
  • Photon is also infrared, visual light, ultraviolet, X-ray, gamma-ray, etc.
  • Photons move at the speed of light (3 × 108 m / second) (vacuum, light).
  • Therefore radio waves travel at the speed of light.

Additional Information

  • Uses of radio waves -
    • Today these radio waves are being used in various fields.
    • It has played an important role in the field of radio AM and FM stations i.e. information transmission.
    • Radio frequency energy is also used for medical treatment, it has been used in this field for the last 78 years.
    • This special type of surgery is used in the treatment of diseases like the accumulation of fluid in the body and insomnia.
    • Radio waves are also used for magnetic resonance imaging (MRI), through which an image of the entire human body is made.
    • The most famous use of ready waves is for communication, television, cell phones, and radio all get radio waves.
    • They are converted into mechanical work in the speaker to create sound waves.
Indian Army Agniveer Technical Mock Test - 6 - Question 21
Which of the following fundamental force has highest range?
Detailed Solution for Indian Army Agniveer Technical Mock Test - 6 - Question 21

The correct answer is Gravitational Force.

Key Points

  • In physics, gravitation is the force that pulls two masses toward each other.
  • There is no range for gravitational force as it is directly proportional to the product of their masses.

Additional Information

  • The electromagnetic force is a type of physical interaction that occurs between electrically charged particles.
  • The strong nuclear force is the force that holds protons and neutrons together.
  • The weak nuclear force is a fundamental force of nature that underlies some forms of radioactivity.
    • It also governs the decay of unstable subatomic particles such as mesons and initiates the nuclear fusion reaction that fuels the Sun.
Indian Army Agniveer Technical Mock Test - 6 - Question 22
Wavelength is usually denoted by the Greek letter ______
Detailed Solution for Indian Army Agniveer Technical Mock Test - 6 - Question 22

The correct answer is Lambda(λ).

Key Points

  • The wavelength is defined as the distance between the crests or troughs of a wave motion.
  • Lambda (λ) is the 11th letter of the Greek alphabet.
  • Wavelength is usually denoted by the Greek letter lambda (λ).
    • It is equal to the speed (v) of a wave train in a medium divided by its frequency (f): λ = v/f.

Additional Information

  • Kappa (ϰ) is the 10th letter of the Greek alphabet.
    • Kappa (κ) is Einstein's constant of gravitation and denotes the coupling coefficient and susceptibility.
  • Alpha (α) is the first letter of the Greek alphabet.
    • Alpha particles (a) are composite particles consisting of two protons and two neutrons tightly bound together.
  • Eta (η) is the 7th letter of the modern Greek alphabet.
    • η stands for the ideality factor of a bipolar transistor, and has a value close to 1.000.
Indian Army Agniveer Technical Mock Test - 6 - Question 23

Two coherent sources of intensity ratio 100:1 interfere. The ratio of interference at the maxima and minima​

Detailed Solution for Indian Army Agniveer Technical Mock Test - 6 - Question 23

We know that for two coherent sources, the intensity of their maxima is (Imax +  Imin)2 and that of its minima is (Imax +  Imin)2 . Thus we get the intensity of maxima = 121k and that of minima = 9k, for some constant k as (Imax = 100k and  Imin = k.
Thus we get the ratio as 121:81.

Indian Army Agniveer Technical Mock Test - 6 - Question 24
Magnitude of displacement in one second is called:
Detailed Solution for Indian Army Agniveer Technical Mock Test - 6 - Question 24

The correct answer is Speed.

Key Points

Explanation:

Speed:

  • Speed is given by the distance covered by an object per unit of time.
  • The magnitude of displacement in one second is called speed.
  • Speed measures how fast the body is moving.
  • The S.I. unit of speed is m/s.

Additional Information

Acceleration

  • It is a rate of change of velocity with respect to time.
  • Acceleration is a vector quantity, SI unit is ms-2, and dimension [LT-2].
  • Acceleration is represented by the slope of the velocity-time curve.

Momentum

  • Momentum is defined as the quantity of motion of the body.
  • Momentum has both direction and magnitude.
  • Its direction is the same as that of velocity, v.
  • The SI unit of momentum is kilogram-meter per second (kg m s-1).

Force

  • A push or a pull on an object is called a force.
  • The SI unit of Force is Newton or kg ms-2.
  • It is represented by the symbol N.
Indian Army Agniveer Technical Mock Test - 6 - Question 25
What is the number of isotopes of hydrogen?
Detailed Solution for Indian Army Agniveer Technical Mock Test - 6 - Question 25

Concept:

  • Isotopes of hydrogen are: Protium Deuterium Tritium
  • There is three known isotopes of hydrogen, each possessing an atomic mass 1, 2, 3 respectively. These are named protium, deuterium, and tritium.

Explanation:

Protium:

  • The most common is the ordinary hydrogen usually called protium.
  • It has one proton in the nucleus and an electron revolving around it.
  • Protium is a selective “proton pump inhibitor”, a medicine that reduces the amount of acid produced in your stomach. It is used for treating acid-related diseases of the stomach and intestine.

Deuterium:

  • The second isotope of hydrogen is called heavy hydrogen or deuterium.
  • It consists of one proton and one neutron in the nucleus and electrons revolving around it.
  • Deuterium is not radioactive and does not represent a significant toxicity hazard.
  • Water enriched in molecules that include deuterium instead of protium is called Heavy water.
  • Deuterium and its compounds are used as a non-radioactive label in chemical experiments and in solvents.
  • It is widely used in prototype fusion reactors and has its application in military, industrial and scientific fields.
  • In nuclear fusion reactors, it is used as a tracer and it is responsible to slow down neutrons in heavy water moderated fission reactors.

Tritium:

  • The third isotope of hydrogen is called tritium.
  • It consists of one proton and two neutrons in the nucleus and an electron revolving around it.
  • A trace amount of tritium occurs naturally because of the interaction of cosmic rays with atmospheric gases.
  • Tritium has also been released during nuclear weapon tests.
  • The most common method of producing tritium is by bombarding a natural isotope of lithium, lithium-6 with neutrons in a nuclear reactor.
Indian Army Agniveer Technical Mock Test - 6 - Question 26
The Compressed Natural Gas (CNG) mainly consists of
Detailed Solution for Indian Army Agniveer Technical Mock Test - 6 - Question 26

The correct answer is Methane.

Explanation:

  • Compressed Natural Gas (CNG) is a gas which is used very commonly.
  • It is most commonly used as a fuel in automobiles.
  • It is also being promoted as a fuel because it does not harm the environment.
  • Compressed Natural Gas (CNG) mainly consists of methane gas (CH4).
  • It is a clear, odorless, and non-corrosive fuel that is extracted from natural gas wells or produced through processes like biogas production (from organic waste) or synthetic gas generation.
  • Advantages of CNG -
    • It can be used directly for burning in homes and factories where it can be supplied through pipes.
    • Used as a clean fuel in industrial processes and power generation.
    • Less polluting.
    • Because C.N.G. is not toxic, it does not pollute groundwater.
    • Vehicles operating on CNG fuels produce a lot less noise when compared to gasoline and diesel vehicles, thus reducing noise pollution.
    • It is also very cost-effective.
    • When compared to other fuels, it is also much less flammable and poses little risk of fire.

Thus, the Compressed Natural Gas (CNG) mainly consists of methane.

Indian Army Agniveer Technical Mock Test - 6 - Question 27
Synthetic fibres are
Detailed Solution for Indian Army Agniveer Technical Mock Test - 6 - Question 27

The correct answer is Rayon, Nylon & Polyester.

Key Points

Synthetic fibres:

  • Synthetic fibres (man-made fibres), are fibres created by humans by chemical synthesis.
  • It is different from natural fibres.
  • Synthetic fibre is also made up of a series of tiny units that are linked together which form a larger unit called a polymer.
  • Each little unit is made up of a chemical compound
  • Rayon, Nylon, Polyester and Acrylic are examples of Synthetic.

Additional Information

Nylon.

  • It was created in 1931 without the use of any natural raw materials (plant or animal).
  • Coal, water, and air were used to make it.
  • It was the world's first completely synthetic fibre.
  • Nylon is a strong, elastic, and light fibre.

​Rayon.

  • Rayon has properties similar to those of silk.

  • It is a man-made fibre and cheaper than silk.

  • It is obtained from wood pulp.

Polyester.

  • Polyester is made up of many units of an ester.

  • It is suitable for making dress material because it is easy to wash and stays crisp and wrinkle-free.

  • Terylene is a known polyester.

Indian Army Agniveer Technical Mock Test - 6 - Question 28
What is the Covalence of Nitrogen in Nitrogen dioxide?
Detailed Solution for Indian Army Agniveer Technical Mock Test - 6 - Question 28

Concept:

A covalent compound is formed by the sharing of electrons between two atoms.

The number of electrons shared by an atom during the formation of its compound can be named covalency.

Explanation:

The given covalent molecule is .

The structure of the nitrogen dioxide molecule is shown below:

Nitrogen forms one coordinate covalent bond and one double bond regioselectively with each oxygen atom as shown in the image.

Hence, a total of four electrons are shared by nitrogen.

The covalency of nitrogen is 4.

Conclusion:

The correct answer is option 3) i.e. 4.

Indian Army Agniveer Technical Mock Test - 6 - Question 29
Which one among the following is not a chemical change?
Detailed Solution for Indian Army Agniveer Technical Mock Test - 6 - Question 29

Concept: -

Chemical change a change in which one or more new substances are formed is a chemical change.

  • A chemical change occurs when the substance's composition is changed.
  • When bonds are broken and new ones are formed a chemical change occurs.
  • Examples of Chemical change are the bursting of a firecracker, the germination of seeds, and coal formation from buried trees.

Physical changes only change the appearance of a substance.

  • Physical changes are limited to changes that result in a difference in the display without changing the composition.
  • The boiling of water is an example of Physical change.

Explanation: -

Ripening of fruit. burning of coal, and curling of curd all are non-reversible changes that involve a change in the chemical composition of a substance and hence are Chemical Changes.

Whereas, evaporated water can be recovered back by condensation, and water's chemical composition in both the liquid phase and vapor phase are the same.

Hence, evaporation is a physical change and not a chemical change.

So, the correct option is (3).

Indian Army Agniveer Technical Mock Test - 6 - Question 30
Rusting of iron is :
Detailed Solution for Indian Army Agniveer Technical Mock Test - 6 - Question 30

Concept:

  • Rusting is a process that affects iron and iron alloys such as steel.
  • It happens when iron comes into contact with water and oxygen, leading to the formation of iron oxides, commonly known as rust.
  • Rusting is an example of oxidation, which is a type of chemical reaction. In a chemical change, new substances are formed, and the change usually cannot be easily reversed.
  • Physical changes, on the other hand, do not result in the formation of new substances, and they are often reversible.

Explanation:

  • Rusting of iron is a chemical change because it results in the formation of a new substance, namely iron oxide or rust. The original iron is chemically transformed, and this process cannot be easily reversed. Therefore, rusting is a chemical and irreversible change.
    So, the correct answer is: A chemical change and irreversible change

Additional Information

  • While rusting can be slowed or prevented through various methods such as painting, galvanization, or other forms of protective coating, reversing rusting (i.e., turning rust back into iron) is not straightforward and requires significant energy input, further chemical reactions, or industrial processes.
  • This is why we typically consider rusting to be an irreversible change.
View more questions
Information about Indian Army Agniveer Technical Mock Test - 6 Page
In this test you can find the Exam questions for Indian Army Agniveer Technical Mock Test - 6 solved & explained in the simplest way possible. Besides giving Questions and answers for Indian Army Agniveer Technical Mock Test - 6, EduRev gives you an ample number of Online tests for practice
Download as PDF