Indian Army Agniveer Exam  >  Indian Army Agniveer Tests  >  Indian Army Agniveer Technical Mock Test - 7 - Indian Army Agniveer MCQ

Indian Army Agniveer Technical Mock Test - 7 - Indian Army Agniveer MCQ


Test Description

30 Questions MCQ Test - Indian Army Agniveer Technical Mock Test - 7

Indian Army Agniveer Technical Mock Test - 7 for Indian Army Agniveer 2025 is part of Indian Army Agniveer preparation. The Indian Army Agniveer Technical Mock Test - 7 questions and answers have been prepared according to the Indian Army Agniveer exam syllabus.The Indian Army Agniveer Technical Mock Test - 7 MCQs are made for Indian Army Agniveer 2025 Exam. Find important definitions, questions, notes, meanings, examples, exercises, MCQs and online tests for Indian Army Agniveer Technical Mock Test - 7 below.
Solutions of Indian Army Agniveer Technical Mock Test - 7 questions in English are available as part of our course for Indian Army Agniveer & Indian Army Agniveer Technical Mock Test - 7 solutions in Hindi for Indian Army Agniveer course. Download more important topics, notes, lectures and mock test series for Indian Army Agniveer Exam by signing up for free. Attempt Indian Army Agniveer Technical Mock Test - 7 | 50 questions in 60 minutes | Mock test for Indian Army Agniveer preparation | Free important questions MCQ to study for Indian Army Agniveer Exam | Download free PDF with solutions
Indian Army Agniveer Technical Mock Test - 7 - Question 1

What is the currency of United Kingdom?

Detailed Solution for Indian Army Agniveer Technical Mock Test - 7 - Question 1

The correct answer is Pound Sterling.

Key Points

  • Pound Sterling
    • The United Kingdom and nine of its affiliated territories use Pound sterling as their currency.
    • The pound is the primary unit of sterling and is frequently used interchangeably with "pound sterling" in international contexts.
    • The oldest currency that is still in circulation and has been used continuously since its origin is the sterling.
    • After the US dollar, the euro, and the Japanese yen, it is currently the fourth most traded currency on the foreign exchange market.

Additional Information

  • Dollar
    • Since the end of World War II, the dollar has served as the primary reserve currency for the whole world and is the most often used currency for international trade.
  • Yen
    • Japan's national currency is the yen.
    • After the US dollar and the euro, it is the third most traded currency on the foreign exchange market.
    • In addition, it is frequently used as a third reserve currency in place of the euro and the US dollar.
  • Rand
    • The Southern African Common Monetary Area, which includes South Africa, Namibia (with the Namibian dollar), Lesotho (alongside the Lesotho loti), and Eswatini, uses the South African rand as its official unit of exchange (alongside the Swazi lilangeni).
Indian Army Agniveer Technical Mock Test - 7 - Question 2

Which team won the Junior Asia Cup 2023 in hockey?

Detailed Solution for Indian Army Agniveer Technical Mock Test - 7 - Question 2

The correct answer is India.

In News

  • India wins Junior Asia Cup, beats Pakistan 2-1 in June 2023.
  • It was held in Salalah, Oman.

Key Points

  • India defeated Pakistan 2-1 to lift Men's Junior Asia Cup 2023
  • India registered a close 2-1 win over arch-rivals Pakistan in the final
  • This was India's fourth title at Men's Junior Asia Cup.
    • India had won the tournament three times previously, in 2004, 2008, and 2015.
  • Pakistan has won the tournament three times: in 1987, 1992, and 1996.

Additional Information

  • Hockey:
    • The Hockey World cup is organised by the International Hockey Federation (FIH) once in four years.
    • The headquarters of FIH is located in Lausanne, Switzerland.
    • ‘Blackheath Rugby and Hockey Club’ was the first hockey club in the world that was set up in the year 1861 in England.
    • The first Hockey World Cup was organised in Barcelona (Spain) in 1971 and the winner was Pakistan.
    • India took part in Olympics for the first time in the year 1928 (in Amsterdam Olympics).
    • In Olympics, India has won the hockey title a maximum of eight times.
  • Terminologies associated with Hockey are Bully Sudden death, Short corner, Hat trick, Goal, Penalty Corner, Penalty, stroke, pushing, Cut, Dribble, Scoop, Centre forward, Half back, Astroturf, Left in, Left out, Off-side, Tie breaker, Carried, Stick, Striking circle, Undercutting, etc.
Indian Army Agniveer Technical Mock Test - 7 - Question 3

Among A, B, C, D, E and F, each one of the them have different weight, F is not the lightest. C is heavy than E and F. B is heavy than four people. E is heavy than D and F. A is heavy than B. Then how many people are heavier than C?

Detailed Solution for Indian Army Agniveer Technical Mock Test - 7 - Question 3

Given :

  1. Six people - A, B, C, D, E and F
  2. Each one of the them has different weight.

​Explanation :

1) B is heavy than four people.

2) A is heavy than B.

A > B

3) E is heavy than D and F.

4) C is heavy than E and F.

5) F is not the lightest.

A > B > C > E > F > D

Thus, according to the final arrangement two people A and B are heavier than C.

Hence, "Two" is the correct answer.

Indian Army Agniveer Technical Mock Test - 7 - Question 4
Which city is known as Manchester of India?
Detailed Solution for Indian Army Agniveer Technical Mock Test - 7 - Question 4

The correct answer is Ahemdabad.Key Points

  • Ahmedabad is often referred to as the 'Manchester of India'.
  • Favorable locational factors were responsible for the development of the textile industry in Ahmedabad.
  • Ahmedabad is situated in the heart of a cotton-growing area. This ensures the easy availability of raw materials.
  • Ahmedabad is known as the “Manchester of India” because of its similarity with the well-known cotton textile center of Manchester, Great Britain, and the following reasons. Ahmedabad is situated on the bank of Sabarmati River (like Manchester is located on the banks of River Irwell). Its water is good for dying thread.

Additional Information

  • Bhilwara is a city, with administrative headquarters in the Bhilwara district of the Mewar region of Rajasthan, India. It has been termed a 'Textile city'
  • Mumbai (formerly called Bombay) is a densely populated city on India’s west coast. A financial center, it's India's largest city. On the Mumbai Harbour waterfront stands the iconic Gateway of India stone arch, built by the British Raj in 1924.
  • Karnataka is a state in southwest India with Arabian Sea coastlines. The capital, Bengaluru (formerly Bangalore), is a high-tech hub known for its shopping and nightlife.

Thus, Ahemdabad is known as Manchester of India

Indian Army Agniveer Technical Mock Test - 7 - Question 5

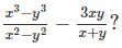
If x = 7 and y = 2 then, what is the value of

Detailed Solution for Indian Army Agniveer Technical Mock Test - 7 - Question 5

Given:

x = 7 and y = 2

Calculation:

125/45

25/9

∴ Option 1 is the correct answer.

Indian Army Agniveer Technical Mock Test - 7 - Question 6

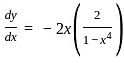
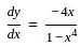
If y = log, then  is equal to

Detailed Solution for Indian Army Agniveer Technical Mock Test - 7 - Question 6

Concept:

Calculation:

Given: y = log

By the property of logarithm, we can write,

y = log (1 - x2) - log (1 + x2)

Differentiating y with respect to x:

dydx=11−x2×(−2x)−11+x2×2x

⇒ dydx=−2x(11−x2+11+x2)

The correct answer is option 2.

Indian Army Agniveer Technical Mock Test - 7 - Question 7

If the longest diagonal of a cube is √432 cm, then its volume is:

Detailed Solution for Indian Army Agniveer Technical Mock Test - 7 - Question 7

Given:

Longest diagonal of a cube = sqrt(432) cm

Concept/Formula Used:

The formula for the longest diagonal of a cube is d = a × sqrt(3),

where a is the side length, and the volume of a cube is V = a3.

Calculation:

Side of the cube, a = √(432) / (3) = (144) = 12 cm.

Volume of the cube = a3 = 123 = 1728 cm3

Therefore, the volume of the cube is 1728 cubic cm.

Indian Army Agniveer Technical Mock Test - 7 - Question 8

Work can be finished by A, B, and C in 12, 24, and 36 days, respectively. How many days will they need to work together to finish the same task?

Detailed Solution for Indian Army Agniveer Technical Mock Test - 7 - Question 8

Given:

Work can be finished by A, B, and C in 12, 24, and 36 days.

Formula used:

Work done = time × efficiency

Calculation:

LCM of (12,24, 36) = 72

Total work = 72

efficiency of A = 6

efficiency of B = 3

efficiency of C = 2

Time taken by (a + b + c) = 72/11

∴ The correct answer is 72/11.

Indian Army Agniveer Technical Mock Test - 7 - Question 9

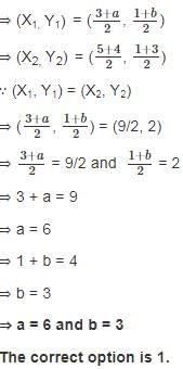
Points A (3, 1), B (5, 1), C (a, b) and D (4, 3) are vertices of a parallelogram ABCD. Find the values of a and b.

Detailed Solution for Indian Army Agniveer Technical Mock Test - 7 - Question 9

Given

The coordinates of the parallelogram ABCD:

A (3, 1), B (5, 1), C (a, b) and D (4, 3)

Concept

Since the diagonals of a parallelogram bisect each other, so mid-point of

AC or BD will be the intersection point of diagonals.

The coordinates of the midpoint of the two diagonals will be the same.

Formula used

By the mid-point theorem, the mid-point of the diagonal,

A(a1,b1) and C(a2,b2):

X = (a1 + a2)/2, Y = (b1 + b2)/2

(X1, Y1) = (X2, Y2)

Solution

The coordinates of mid-point of diagonal AC are the same as the coordinates of the mid-point of diagonal BD.

Indian Army Agniveer Technical Mock Test - 7 - Question 10
Let A and B be finite non-empty sets with the number of elements in A = m and number of elements in B = n. Let m > n. If for some integer k ≥ 1, the number of non-empty subsets of A = 2k + the number of non-empty subsets of B, then which one of the following is correct?
Detailed Solution for Indian Army Agniveer Technical Mock Test - 7 - Question 10

Given:

Number of elements in A = m

Number of elements in B = n

Concept used:

am/an = am - n

Number of subsets in a set = 2Number of elements in a set.

Calculation:

Number of subsets in set A = 2m

Number of subsets in set B = 2n

According to question

Number of subsets in A = 2k + the number of non empty subsets of B

2m = 2k + 2n

⇒ 2m - 2n = 2k

Now, from option 1, m = n + 2

2n + 2 - 2n = 2k

2n(22 - 1) = 2k

2n ( 4 - 1) = 2k

2n (3) = 2k

3 = 2k/2n

3 = 2k - n

As k and n are positive integers. so,there will be no value when L.H.S = R.H.S

Now, from option 2, m = n + 1

2n + 1 - 2n = 2k

2n(21 - 1) = 2k

2n (2 - 1) = 2k

2n (1) = 2k

2n = 2k

As n = k is possible.

Now from option 3, m = n + p(where p are odd prime numbers)

2n + p - 2n = 2k

2n(2p - 1) = 2k

2p - 1 = 2k/2n

2p - 1 = 2k - n

As for all the values of k and n, RHS is always will be even value, but when we take the value of p, there LHS always will be odd value. Hence, this option is not correct.

Now, option 4, m = n + t for some composite number t

2n + t - 2n = 2k

2n(2t - 1) = 2k

2t - 1 = 2k/2n

2t - 1 = 2k - n

As for all the values of k and n, RHS is always will be even value, but when we take the value of t, there LHS always will be odd value. Hence, this option is not correct.

∴ m = n + 1 is correct.

Indian Army Agniveer Technical Mock Test - 7 - Question 11

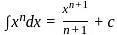
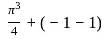
∫(3x2 + 1/x) dx

Detailed Solution for Indian Army Agniveer Technical Mock Test - 7 - Question 11

Given:

∫(3x2 + 1/x) dx

Formula Used:

Calculation:

We have,

⇒ ∫(3x2 + 1/x) dx

⇒ x3 + log x + c

∴ The value of ∫(3x2 + 1/x) dx is x3 + log x + c.

Indian Army Agniveer Technical Mock Test - 7 - Question 12

The area in the first quadrant between x2 + y2 = π2 and y = sin x is,

Detailed Solution for Indian Army Agniveer Technical Mock Test - 7 - Question 12

Given:

x2 + y2 = π2

y = sin x

Calculation:

We have,

⇒ x2 + y2 = π2 is a circle of radius π and center at the origin.

Required area = Area of the circle (1st quadrant) - ∫0πsinxdx

⇒ Required Area =

⇒ Required Area =

⇒ Required Area =

⇒ Required Area =

⇒ Required Area =  sq. units

∴ The required area is sq. units.

Indian Army Agniveer Technical Mock Test - 7 - Question 13

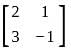
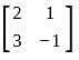
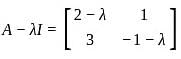
If A =  and I = . Which of the following is the zero matrix?

Detailed Solution for Indian Army Agniveer Technical Mock Test - 7 - Question 13

Given :-

If A =  and I = .

Concept used :-

since every matrix satisfies its characteristics equation.

Solution :-

We have A = [21 3−1] , its characteristics matrix is

its characteristics equation is

since every matrix satisfies its characteristics equation

⟹A2−A−5I=0

Indian Army Agniveer Technical Mock Test - 7 - Question 14
When a plastic straw is rubbed with polythene, the kind of charge that the plastic straw would carry is
Detailed Solution for Indian Army Agniveer Technical Mock Test - 7 - Question 14

The correct answer is a Negative charge.

Key Points

  • When a plastic straw is rubbed with polythene, the kind of charge that the plastic straw would carry is a negative charge.
    • In this question, we can see the concept of electric charge.
    • It allows electrons and protons to stick together to form atoms.
    • The stuff that has the same charge drives each other further and this is called the law of charges.

Additional Information

  • There are two types of charges:
    • Negative charge.
    • Positive charge
  • Opposite charges i.e positive charge and negative charge attract each other.
  • The same charges i.e positive and positive charge and negative and negative charge repel each other.
Indian Army Agniveer Technical Mock Test - 7 - Question 15

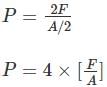
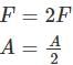
When the force is doubled and the area is halved, then the pressure will:

Detailed Solution for Indian Army Agniveer Technical Mock Test - 7 - Question 15

The correct answer Becomes four times their original value

Concept:

  • Pressure is the force applied perpendicular to the surface of an object per unit area over which that force is distributed.
  • Pressure is inversely proportional to area, if the area is less then the pressure will be more.
  • Pressure is directly proportional to force, if the force increases then the pressure also increases, and vice versa.

Calculation:

We have, Formula,


or

P = F/A
Now,

If the force is doubled and the area

Then we put the value in the formula

So, Pressure will become 4 times.

Indian Army Agniveer Technical Mock Test - 7 - Question 16
The school bags are generally provided with the broad strips because:
Detailed Solution for Indian Army Agniveer Technical Mock Test - 7 - Question 16

The correct answer is It will spread the force of the bag over the large area of the shoulder of the child producing less pressure.

Key Points

  • The principle that pressure is inversely related to area implies that by enlarging the area, pressure exerted can be reduced.
  • This concept is applied to the design of school bags, which feature wide straps to enhance the contact area with the wearer's shoulders, thereby diminishing the pressure felt.
  • Conversely, if the straps were narrow, the contact area with the shoulders would be minimized, resulting in heightened pressure on these areas.
Indian Army Agniveer Technical Mock Test - 7 - Question 17

Four bulbs are having the rating 220 V 40 W, 220 V 60 W, 220 V 100 W and 220 V 18 W respectively. Which of the following bulbs has the least resistance?

Detailed Solution for Indian Army Agniveer Technical Mock Test - 7 - Question 17

Correct answer is 220 V 100 W

Key Points

The power dissipated in a resistor is given by,

P = V2/R

Where V is the voltage rating

R is resistance

P is power

For the same voltage rating, the bulb with the lowest resistance dissipated the highest power.

Application:

The bulb with the highest power rating offers the least resistance.

220 V 100 W bulb offers the least resistance.

Indian Army Agniveer Technical Mock Test - 7 - Question 18
Which of the following has high compressibility?
Detailed Solution for Indian Army Agniveer Technical Mock Test - 7 - Question 18

The correct answer is Gases.

Key Points

  • Gases are highly compressible because they have large intermolecular spaces between their molecules.
    • Its intermolecular force of attraction is very weak
    • Therefore, gases can be easily compressed.

Additional Information

  • Compressibility -
    • The compressibility property of materials describes the effect of pressure on them.
  • Liquids are always considered to be incompressible fluids.
    • The pressure exerted on a liquid does not change the density to a great extent.
  • Solids have maximum strength because there is less space between their particles.
Indian Army Agniveer Technical Mock Test - 7 - Question 19
What is the role of the air cushion between the moving parts?
Detailed Solution for Indian Army Agniveer Technical Mock Test - 7 - Question 19

The correct answer is To reduce friction

Key Points

  • A substance that is introduced between two surfaces in contact, to reduce friction, is called a lubricant.
  • When surfaces are separated by air cushions a hovercraft can travel on a rough surface because the moving objects are not in direct contact with the rough surface, reducing the friction force for the moving objects.

Additional Information

Friction: Friction is an opposing force that comes into play when the body is actually moving (slide or roll) or even tries to move over the surface of another body.

  • Static friction(Fs): The opposing force that is active when the body tends to move over the surface, but the actual motion is yet not started.
  • Kinetic friction(Fk): Kinetic or dynamic force is an opposing force that is active when the body is actually moving on another surface.
    • Fk < Fs

Friction can be increased by:

  • Making the surfaces rough, and
  • Pressing the surfaces harder against each other (by increasing normal force).
Indian Army Agniveer Technical Mock Test - 7 - Question 20
The air bubbles shine in the water because of ________.
Detailed Solution for Indian Army Agniveer Technical Mock Test - 7 - Question 20

The correct answer is ​Total internal reflection.

Key Points

  • Total internal reflection
    • It is the complete reflection of a ray of light within a medium such as water or glass from the surrounding surfaces back into the medium.
    • The phenomenon occurs if the angle of incidence is greater than a certain limiting angle, called the critical angle.
    • Examples -
      • The formation of a mirage.
      • Shining of an empty test tube in water.
      • Shining of a crack in a glass vessel.
      • Sparkling of a diamond.
      • Transmission of light rays in an optical fibre.

Additional Information

  • Dispersion
    • Dispersion is defined as the spreading of white light into its full spectrum of wavelengths.
    • Examples -
      • Rainbow formation,
      • Petrol poured on the water will show different colours,
      • The prism splits the light into different colours on passing through it,
      • Dispersion of colours in soap bubbles, etc.
  • Diffraction
    • Diffraction is the spreading of waves around obstacles.
    • Examples -
      • X-Ray Diffraction,
      • Water passing from a small gap,
      • Solar or lunar corona, sound, etc.
  • Reflection
    • Reflection occurs when a light ray hits a surface and bounces off and returns to the medium from which it originated.
    • Examples -
      • Reflection of light in the mirror, in a water pool, glowing stars, lighting of the moon at night, etc.
Indian Army Agniveer Technical Mock Test - 7 - Question 21
How many Dynes are there in one gram weight?
Detailed Solution for Indian Army Agniveer Technical Mock Test - 7 - Question 21

The correct answer is 981.

Key Points

  • There are 981 dynes in one gram weight.
  • Dyne is a CGS unit.
  • The weight of the mass of 1 gram of body is. w = mg.
    • w = 1gm×981cm/s2
    • w = 981 dyne.

Important Points

  • Newton and dyne are the units representing the force.
  • So dyne is the unit of force in the centimeter-gram-second system of physical units
  • 1 dyne equals = 0.00001 newtons
  • 1 N = 105 dyne

Additional Information

  • Force:
    • Force is defined as the push or pull on an object with mass that causes it to change its velocity.
    • Force is an external agent capable of changing a body's state of rest or motion.
    • It has a magnitude and a direction.
Indian Army Agniveer Technical Mock Test - 7 - Question 22

The constant μo is called​

Detailed Solution for Indian Army Agniveer Technical Mock Test - 7 - Question 22

The permeability of free space, μ0, is numerically equal to 4π x 10-7. For air and other non-magnetic materials, the absolute permeability is the same constant. For magnetic materials, absolute permeability is not a fixed constant but varies non-linearly with the flux density.

Indian Army Agniveer Technical Mock Test - 7 - Question 23
Which of the following is NOT due to total internal reflection of light?
Detailed Solution for Indian Army Agniveer Technical Mock Test - 7 - Question 23

The correct answer is Dispersion.

Key Points

  • Examples of Total Internal Reflection
    • Sparkling of Diamond
    • Optical Fibre Communication
    • Formation of Mirage
  • When white light is passed through a glass prism it splits into its spectrum of colors (in order violet, indigo, blue, green, yellow, orange, and red) and this process of white light splitting into its constituent colors is termed as dispersion.

Additional Information

  • Total internal reflection (TIR):
    • When a wave travels from a denser medium to a rarer medium, it bends away from the normal and as the angle of incidence increases in the denser medium, the angle of refraction in the rarer medium also increases and at a certain angle the angle of refraction becomes 90°. The angle of incidence is called the critical angle (C).
    • When the angle of incidence becomes greater than the critical angle, the light ray returns to the same medium after reflection from the interface. This phenomenon is called total internal reflection (TIR).
Indian Army Agniveer Technical Mock Test - 7 - Question 24

Heat energy produced by sun reaches to earth due to __________.

Detailed Solution for Indian Army Agniveer Technical Mock Test - 7 - Question 24

Conduction:

  • Conduction is a mode of heat transfer that needs a medium for the transfer of energy.

Convection:

  • Convention or convective heat transfer is the transfer of heat between two bodies by currents of moving gas or fluid.

Radiation:

  • Radiation is the method of heat transmission that occurs without the help of a medium.

So, we can say that the heat from the Sun reaches the Earth through radiation.

Indian Army Agniveer Technical Mock Test - 7 - Question 25
Which of the following is the definition of a fluid's coefficient of viscosity (pronounced 'eta')?
Detailed Solution for Indian Army Agniveer Technical Mock Test - 7 - Question 25

The correct answer of above Question is option 2.

Key Points Viscosity

  • It is often referred to as the thickness of a fluid.
  • It is defined as the measure of the resistance of a fluid to gradual deformation by shear or tensile stress.
  • It is a result of the interaction between the different molecules in a fluid.
  • This can be also understood as friction between the molecules in the fluid.

Additional Information

  • There are numerous ways to measure viscosity. One of the most elementary ways is to allow a sphere, such as a metal ball, to drop through a fluid and time the fall of the metal ball: the slower the sphere falls, the greater the viscosity that is measured.
  • The viscosity of a liquid decreases rapidly as the temperature increases.
  • In liquid, the main cause of viscosity is a collision between that molecules.
  • With the increase in temperature, this collision force decreases as the energy of particles become more, hence movement becomes free and easy.
Indian Army Agniveer Technical Mock Test - 7 - Question 26
Al2O3 can be converted into dry AlCl3 by heating _________.
Detailed Solution for Indian Army Agniveer Technical Mock Test - 7 - Question 26

The correct answer is option 3.

Concept:

  • Chemical Reaction: Atoms are rearranged during chemical reactions to create new compounds.
  • Aluminum oxide (Al2O3), which is made up of negatively and positively charged aluminum ions (Al3+) and oxide ions (O2-), is an example of an ionic compound. Aluminum chloride (AlCl3), on the other hand, is a covalent molecule since chlorine and aluminum atoms share electrons in it.

Explanation:

In this response:

  • Aluminum chloride (AlCl3) is created when carbon (C) and aluminum oxide (Al2O3) interact.
  • The chlorine atoms required to create AlCl3 are present in the chlorine gas (Cl2).
  • As a reducing agent, carbon (C) aids in releasing oxygen from Al2O3 and enables aluminum to interact with chlorine.
  • You end up with products such as dry aluminum chloride (AlCl3) and carbon dioxide (CO2).
  • Therefore, the proper technique to chlorinate Al2O3 into dry AlCl3 is to heat a mixture of Al2O3 and carbon in the presence of dry chlorine gas (option 3).
Indian Army Agniveer Technical Mock Test - 7 - Question 27
Which of the following compounds chemical name is sodium hydrogencarbonate?
Detailed Solution for Indian Army Agniveer Technical Mock Test - 7 - Question 27

The correct answer is Baking soda.Key Points

  • Sodium hydrogencarbonate is also known as baking soda.
  • Baking soda is a white crystalline powder that is commonly used as a leavening agent in baking.
  • It is also used for cleaning and as a natural deodorizer.

Additional Information

  • Washing soda is also known as sodium carbonate.
    • It is a white powder that is used for laundry and cleaning.
  • Plaster of Paris is a white powder that hardens when mixed with water.
    • It is commonly used for casting and molding.
  • Bleaching powder is also known as calcium hypochlorite.
    • It is a white powder that is used for disinfecting and bleaching.
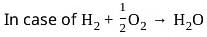
Indian Army Agniveer Technical Mock Test - 7 - Question 28

Which of the following is not endothermic ?

Detailed Solution for Indian Army Agniveer Technical Mock Test - 7 - Question 28

Correct answer: 4)

Concept:

  • Chemical reactions that absorb (or use) energy overall are called endothermic. In endothermic reactions, more energy is absorbed when the bonds in the reactants are broken than is released when new bonds are formed in the products.
  • Endothermic reactions are accompanied by a decrease in the temperature of the reaction mixture.
  • Chemical reactions that release energy are called exothermic. In exothermic reactions, more energy is released when the bonds are formed in the products that are used to break the bonds in the reactants.
  • Exothermic reactions are accompanied by an increase in the temperature of the reaction mixture.

Explanation:

  • Carbon reacts with Sulphur to give carbon disulphide, which is an endothermic reaction, where 92kJ/mol of heat is absorbed.
  • Since the sum of F-F and O=O bond energy is much greater than the F-O-F bond.
  • ΔH is positive for the reaction.
  • So, this is an endothermic reaction.
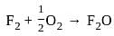
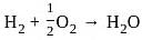
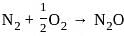
  • In the case of , when N2 reacts with O2, heat is absorbed as the sum of N-N and O=O bond energy is much greater than the N-O-N bond.
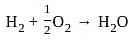
  • In case of
  • H2(g) + 1/2O2(g) → H2O(g), ΔH = -57.82 kcal
  • heat is released so this is an exothermic process.

Conclusion:

Thus,  is not an endothermic process.

Indian Army Agniveer Technical Mock Test - 7 - Question 29
Which of the following is more acidic?
Detailed Solution for Indian Army Agniveer Technical Mock Test - 7 - Question 29

Methanol is an example of the Alcohol group.

  • This liquid is acidic, flammable, colorless and has a distinctive fragrance close to that of ethanol (drinking alcohol).
  • Methanol is a better proton donar than Water, so alcohols are weaker acids than water
  • Methanol is slightly more acidic than water.
  • The order of acidity in aqueous solution is as following:
  • CH3OH > H2O > CH3CH2OH > (CH3)2 CHOH
  • For an acid to be strong its conjugate base anion has to be very stable. Only then acid will disassociate faster to give hydronium ion.

Hence we can conclude that CH3OH is more acidic.

Indian Army Agniveer Technical Mock Test - 7 - Question 30

The compound given below is called as a

Detailed Solution for Indian Army Agniveer Technical Mock Test - 7 - Question 30

Explanation:

The molecular formula is C6H4OH2.

Additional Information

View more questions
Information about Indian Army Agniveer Technical Mock Test - 7 Page
In this test you can find the Exam questions for Indian Army Agniveer Technical Mock Test - 7 solved & explained in the simplest way possible. Besides giving Questions and answers for Indian Army Agniveer Technical Mock Test - 7, EduRev gives you an ample number of Online tests for practice
Download as PDF