Territorial Army Exam  >  Territorial Army Tests  >  Territorial Army Mock Test - 1 - Territorial Army MCQ

Territorial Army Mock Test - 1 - Territorial Army MCQ


Test Description

30 Questions MCQ Test - Territorial Army Mock Test - 1

Territorial Army Mock Test - 1 for Territorial Army 2025 is part of Territorial Army preparation. The Territorial Army Mock Test - 1 questions and answers have been prepared according to the Territorial Army exam syllabus.The Territorial Army Mock Test - 1 MCQs are made for Territorial Army 2025 Exam. Find important definitions, questions, notes, meanings, examples, exercises, MCQs and online tests for Territorial Army Mock Test - 1 below.
Solutions of Territorial Army Mock Test - 1 questions in English are available as part of our course for Territorial Army & Territorial Army Mock Test - 1 solutions in Hindi for Territorial Army course. Download more important topics, notes, lectures and mock test series for Territorial Army Exam by signing up for free. Attempt Territorial Army Mock Test - 1 | 100 questions in 120 minutes | Mock test for Territorial Army preparation | Free important questions MCQ to study for Territorial Army Exam | Download free PDF with solutions
Territorial Army Mock Test - 1 - Question 1

Direction: In each of the following question a number of series is given with one term missing.
Choose the correct alternative that will continue the same pattern.

Detailed Solution for Territorial Army Mock Test - 1 - Question 1

Clearly, the numerators of the fractions in the given sequence form the series 1, 3, 5, 7, in which each term is obtained by adding 2 to the previous term.
The denominators of the fractions form the series 2, 4, 8, 16, i.e., 21, 22, 23, 24.
So, the numerator of the next fraction will be (7 + 2) i.e. 9 and the denominator will be 25 i.e. 32. Thus, the next term is 9/32
 Hence, the answer is (a).

Territorial Army Mock Test - 1 - Question 2

Directions: In the following questions you have to identify the correct response from the given options according to following symbols:
If '+' means '÷', '–' means '+', '×' means '–' and '÷' means '×', then 8 ÷ 4 – 6 + 3 × 4 = ?

Territorial Army Mock Test - 1 - Question 3

Which of the following diagrams indicates the best relation between Thief, Criminal and Police?

Detailed Solution for Territorial Army Mock Test - 1 - Question 3

Territorial Army Mock Test - 1 - Question 4

Standing on a platform, Amit told Sunits that Aligarh was more than ten kilometres but less than fifteen kilometres from there. Sunita knew that it was more than twelve but less than fourteen kilometres from there. If both of them were correct, which of the following could be the distance of Aligarh from the platform?

Detailed Solution for Territorial Army Mock Test - 1 - Question 4

Clearly, according to Sunita, the distance was more than 12 km but less than 14 km, which is 13 km.

Territorial Army Mock Test - 1 - Question 5

Find the missing character in the following figure.

Detailed Solution for Territorial Army Mock Test - 1 - Question 5

Explanation: We have: √36 + √64 + √25 +√49 = 26; √9 +√25 + √16 + √81 = 21.
So, missing number = √25 + √144 + √36 + √64 = (5 + 12 + 6 + 8) = 31. 

Territorial Army Mock Test - 1 - Question 6

Which of the following diagrams indicates the best relation between Doctors, Human Beings and Married People?

Detailed Solution for Territorial Army Mock Test - 1 - Question 6

Some doctors can be married. Both doctors and married people belong to the group of human beings.

Territorial Army Mock Test - 1 - Question 7

Find the missing term.

Detailed Solution for Territorial Army Mock Test - 1 - Question 7

Clearly, sum of numbers in each row is 17.
So, missing number 17– (4 + 7) = 6.

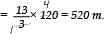
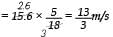
Territorial Army Mock Test - 1 - Question 8

A man cycle at the rate of 15.6 km/h. How many metres does he cover in 2 minutes?  

Detailed Solution for Territorial Army Mock Test - 1 - Question 8

Speed = 15.6 km × h 

time = 2 min = 2 × 60 = 120s
distance = speed × time

Territorial Army Mock Test - 1 - Question 9

The value of (sec2 60º –1) is?

Detailed Solution for Territorial Army Mock Test - 1 - Question 9

sec260º –1 [ sec2 θ - tan2 θ = 1]
tan260º = √32
= 3

Territorial Army Mock Test - 1 - Question 10

If a : b =  b : c then a4 : b4  is equal to

Detailed Solution for Territorial Army Mock Test - 1 - Question 10

a : b = b : c
a/b = b/c
b2 = ac
a4 : b4 = a4 : (ac)2
= a4 : a2c2
= a2 : c2

Territorial Army Mock Test - 1 - Question 11

A hemipherical tank full of water is emptied by a pipe at the rate of 3 liters. per second. How many time will it take to empty half the tank if it is 3 m in diameter? (Take π = 22/7 )

Detailed Solution for Territorial Army Mock Test - 1 - Question 11





= 990 seconds            
= 16.5 minutes

Territorial Army Mock Test - 1 - Question 12

Directions: Each of the following sentences has a blank space and four words are given below it. Select the most appropri ate word from the options:
Democracy requires the equal right of all to the development of such capacity for good as nature _____________ has them with

Territorial Army Mock Test - 1 - Question 13

Directions: Each question below consists of a word in capital letters followed by four words or group of words Select the word or group of words that is most similar in meaning to the words in capital letters. 
ENSCONCE

Territorial Army Mock Test - 1 - Question 14

Directions: In these questions, out of the four alternatives, choose the one which expresses the meaning of the word given in the bold.
Loquacious

Territorial Army Mock Test - 1 - Question 15

Directions: In these questions, sentences are given with blanks to be filled in with an appropriate word (s). Four alternatives are suggested for each question. Choose the correct alternative out the four alternatives.
How did these things come ?

Territorial Army Mock Test - 1 - Question 16

Direction: In each of the following question, out of the given words, one word is mis-spelt.
Find the mis-spelt word.

Territorial Army Mock Test - 1 - Question 17

Direction: In these questions, the first and last sentences of the passage are numbered 1 and 6. The rest of passage is split into four parts and named P, Q, R and S. These four parts are not given in their proper order. Read the sentence and find out which of the four combinations is correct.
S1: A force of exists between everybody in the universe.
P: Normally it is very small but when the one of the bodies is a planet, like earth, the force is considerable.
Q: It has been investigated by many scientists including Galileo and Newton.
R: Everything on or near the surface of the earth is attracted by the mass of earth.
S: This gravitational force depends on the mass of the bodies involved.
S6: The greater the mass, the greater is the earth's force of attraction on it. We can call this force of attraction gravity.
The Proper sequence should be:

Territorial Army Mock Test - 1 - Question 18

Which chemical was an important symbol of our freedom struggle?

Territorial Army Mock Test - 1 - Question 19

Which of the following was the first metal used by man?

Territorial Army Mock Test - 1 - Question 20

India is developing Chabahar port in which of the following countries?

Territorial Army Mock Test - 1 - Question 21

Which of the following countries have an unwritten constitution?

Territorial Army Mock Test - 1 - Question 22

A brick is thrown vertically from an aircraft flying two kilometres above the earth. The brick will fall with a

Territorial Army Mock Test - 1 - Question 23

Syngamy results in formation of

Territorial Army Mock Test - 1 - Question 24

Which chemical was an important symbol in our struggle for freedom?

Territorial Army Mock Test - 1 - Question 25

Dispersion process forms spectrum due to white light falling on a prism. The light wave with shortest wavelength

Territorial Army Mock Test - 1 - Question 26

Neutrophils and lymphocytes originate from

Territorial Army Mock Test - 1 - Question 27

Nearly 30% of the solar radiations return back to the space without contributing anything to the Earth’s surface temperature. This amount of radiation is known as

Territorial Army Mock Test - 1 - Question 28

The headquarters of ‘Economic and Social Commission for Asia and the Pacific’ is located at.

Territorial Army Mock Test - 1 - Question 29

Where are the headquarters of International Paralympic Committee?

Territorial Army Mock Test - 1 - Question 30

Albedo effect would be relatively higher in.

View more questions
Information about Territorial Army Mock Test - 1 Page
In this test you can find the Exam questions for Territorial Army Mock Test - 1 solved & explained in the simplest way possible. Besides giving Questions and answers for Territorial Army Mock Test - 1, EduRev gives you an ample number of Online tests for practice
Download as PDF