Territorial Army Exam  >  Territorial Army Tests  >  Territorial Army Mock Test - 2 - Territorial Army MCQ

Territorial Army Mock Test - 2 - Territorial Army MCQ


Test Description

30 Questions MCQ Test - Territorial Army Mock Test - 2

Territorial Army Mock Test - 2 for Territorial Army 2025 is part of Territorial Army preparation. The Territorial Army Mock Test - 2 questions and answers have been prepared according to the Territorial Army exam syllabus.The Territorial Army Mock Test - 2 MCQs are made for Territorial Army 2025 Exam. Find important definitions, questions, notes, meanings, examples, exercises, MCQs and online tests for Territorial Army Mock Test - 2 below.
Solutions of Territorial Army Mock Test - 2 questions in English are available as part of our course for Territorial Army & Territorial Army Mock Test - 2 solutions in Hindi for Territorial Army course. Download more important topics, notes, lectures and mock test series for Territorial Army Exam by signing up for free. Attempt Territorial Army Mock Test - 2 | 100 questions in 120 minutes | Mock test for Territorial Army preparation | Free important questions MCQ to study for Territorial Army Exam | Download free PDF with solutions
Territorial Army Mock Test - 2 - Question 1

If TRUTH is coded as SUQSTVSUGI, then the code for FALSE will be

Detailed Solution for Territorial Army Mock Test - 2 - Question 1

Each letter in the word is replaced by a set of two letters– one preceding it and the other following it in the code.
Thus, T is replaced by SU, R is replaced by QS and so on.

Territorial Army Mock Test - 2 - Question 2

Direction: In each of the following questions, select the related word from the given alternatives:
Antonyms : Synonyms  ::  Analysis : ?

Territorial Army Mock Test - 2 - Question 3

If in certain code, 'EDITION' 3891965, then how 'TIDE' will be written in that code?

Territorial Army Mock Test - 2 - Question 4

Five friends A, B, C, D and E are standing in a row facing South but not necessarily in the same order. Only B is between A and E, C is immediate right to E and D is immediate left to A. On the basis of above information, which of the following statements is definitely true?

Detailed Solution for Territorial Army Mock Test - 2 - Question 4

Since the friends are standing facing South, so your left and right shall be taken as their right and left respectively.
C is immediate right to E.
So, we have: C, E. D is immediate left to A.
So, we have: A, D. Since B is between A and E, so the sequence becomes: C, E, B, A, D.
Thus,
(i) B is to the right of A;
(ii) D is third to the left of E;
(iii) B is to the left of E;
(iv) A is third to the left of C.

Territorial Army Mock Test - 2 - Question 5

An application was received by inward clerk in the afternoon of a week day. Next day he forwarded it to the table of the senior clerk, who was on leave that day. The senior clerk next day evening put up the application to the desk officer. Desk officer studied the application and disposed of the matter on the same day, i.e., Friday. Which day was the application received by the inward clerk?

Detailed Solution for Territorial Army Mock Test - 2 - Question 5

Desk officer received the application on Friday. Clearly, the application was forwarded to the table of the senior clerk on Thursday.
So, the application was received by the inward clerk on Wednesday.

Territorial Army Mock Test - 2 - Question 6

Which of the following diagrams indicates the best relation between Judge, Thieves and Criminals?

Detailed Solution for Territorial Army Mock Test - 2 - Question 6

Thieves belong to the category of criminals.
Judge is a separate entity.

Territorial Army Mock Test - 2 - Question 7

Find the missing term.

Detailed Solution for Territorial Army Mock Test - 2 - Question 7

In the first column, 17 – 11 = 25 – 19.
In the second column, 12 – 6 = 34 – 28.
Let the missing number in the third column be x.
Then, x – 8 =  19 – 11 = 8 or x = 16.

Territorial Army Mock Test - 2 - Question 8

Direction: Each of the following problems, contains 4 figures marked (a), (b), (c), (d). 
Find the odd figure.

Detailed Solution for Territorial Army Mock Test - 2 - Question 8

All other figures can be rotated into each other.

Territorial Army Mock Test - 2 - Question 9

Renu rides at the rate of 10 km/h but stops for 10 minutes to take rest at the end of every 15 km. How many hours will she take to cover 100 km?  

Detailed Solution for Territorial Army Mock Test - 2 - Question 9

No. of hours she spend in riding only =  = 10 hours

Territorial Army Mock Test - 2 - Question 10

Two numbers are in the ratio 3 : 5. If 13 is subtracted from each, the new number are in the ratio of 10 : 21. If 15 is added to each of the original number then the ratio becomes?  

Territorial Army Mock Test - 2 - Question 11

The ratio of the outer and inner perimeters of a circular path is 23 : 22. If the path is 5m wide, the diameter of the inner circle is?

Territorial Army Mock Test - 2 - Question 12

If x = 2 +√3  , then the value of  

Territorial Army Mock Test - 2 - Question 13

Find length of the arc whose central angle is 45º and radius of the circle is 28 cm?

Territorial Army Mock Test - 2 - Question 14

If the diagonal of a rectangle is double of 8.5 cm. and its perimeter is 6 cm. more than 40 cm. Find the area of the rectangle.

Detailed Solution for Territorial Army Mock Test - 2 - Question 14


l2 + b2 = 172
l2 + b2 = 289
diagonal = 8.5 × 2 = 17cm Perimeter = 40 + 6
2(l + b) = 46
l + b = 23 ....(1)
squaring (1)
(l + b)2 = 232
l2+ b2 + 2lb = 529
289 + 2lb = 529
2lb = 529 – 289
2lb = 240
lb = 120
Area of rectangle = 120 cm2

Territorial Army Mock Test - 2 - Question 15

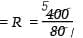
If the interest on Rs.8000 be more the an the interest on Rs.4000 by Rs.400 in 2 years they the rate of interest per annum is:

Detailed Solution for Territorial Army Mock Test - 2 - Question 15

Let rate of interest by R

= 160R – 80 R  = 400
= 80R  = 400

= R  = 5%

Territorial Army Mock Test - 2 - Question 16

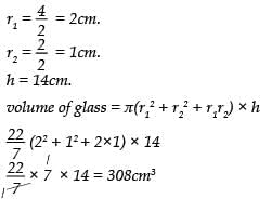
A drinking glass is in the shape of a frustum of cone of height 14 cm. The diameters of its two circular ends are 4 cm and 2 cm. Find the capacity of the glass.

Detailed Solution for Territorial Army Mock Test - 2 - Question 16


Territorial Army Mock Test - 2 - Question 17

Directions: Choose appropriate meaning of the Idioms from the choices given
Gird up one’s loins

Territorial Army Mock Test - 2 - Question 18

We can infer that the author was a

Territorial Army Mock Test - 2 - Question 19

“Where one bathed dangerously”. Why the writer call bathing dangerous?

Territorial Army Mock Test - 2 - Question 20

Which of the following the boys not do on summer mornings ?

Territorial Army Mock Test - 2 - Question 21

Directions: In the following questions, some part of the sentences have errors and some are correct. Find out which part of a sentence has error. The number of that part is the answer. If a sentence is free from error, your answer is "No error".
"The Arabian Nights" (a)/ are indeed (b)/ an interesting book (c)/ No error (d)

Territorial Army Mock Test - 2 - Question 22

Directions: In the following questions, some part of the sentences have errors and some are correct. Find out which part of a sentence has error. The number of that part is the answer. If a sentence is free from error, your answer is "No error".
A chill wind blew (a)/ and icy fingers of death (b) /crept up my spine (c) / No error (d)

Detailed Solution for Territorial Army Mock Test - 2 - Question 22

(a) "A chill wind blew" - Correct.
Article usage and verb form are appropriate.

(b) "and icy fingers of death" - Incorrect
Grammatically, after a coordinating conjunction like "and", when introducing a new noun phrase (especially in prose, not poetry), an article is typically expected.
The proper phrase should be: "and the icy fingers of death"
Without "the", it sounds abrupt and less grammatically complete, even if it passes as poetic in literary contexts.

(c) "crept up my spine" - Correct.
The subject-verb agreement is fine. "Fingers" is plural, and "crept" is the correct past tense of "creep."

Therefore , Correct Answer is Option C.

Territorial Army Mock Test - 2 - Question 23

Direction: Choose the word which best expresses the opposite meaning of the word.
TRITE

Territorial Army Mock Test - 2 - Question 24

Direction: Choose the best expression amongst multiple choices for a given idiom/proverb.
His investments helped him make a killing in the stock market.

Territorial Army Mock Test - 2 - Question 25

The Treaty of Amritsar was concluded between Maharaja Ranjit Singh and who of the following?  

Territorial Army Mock Test - 2 - Question 26

In scuba diving, while ascending towards the water surface there is a danger of bursting the lungs. This is because of

Territorial Army Mock Test - 2 - Question 27

The process of copying genetic information from one strand of DNA into RNA is termed as

Territorial Army Mock Test - 2 - Question 28

How many kilometres are represented by 1° of latitude?

Territorial Army Mock Test - 2 - Question 29

What is the role of positive catalyst in a chemical reaction?

Territorial Army Mock Test - 2 - Question 30

When Lord Mountbatten became the first Governor-General of India, who among the following became the Governor General for Pakistan?

View more questions
Information about Territorial Army Mock Test - 2 Page
In this test you can find the Exam questions for Territorial Army Mock Test - 2 solved & explained in the simplest way possible. Besides giving Questions and answers for Territorial Army Mock Test - 2, EduRev gives you an ample number of Online tests for practice
Download as PDF